Submitted:
23 August 2024
Posted:
26 August 2024
You are already at the latest version
Abstract
Keywords:
1. Introduction
2. Materials and Methods
2.1. Study Area
2.2. Data Collection
2.2.1. Modis Data and Preprocessing
2.2.2. Meteorological Data
2.2.3. Land Use Data
2.3. Methods
2.3.1. Estimation of NPP
| North latitude | J | F | M | A | M | J | J | A | S | O | N | D |
| 5 | 1,02 | 0,93 | 1,03 | 1,02 | 1,06 | 1,03 | 1,06 | 1,05 | 1,01 | 1,03 | 0,99 | 1,02 |
| 10 | 1 | 0,91 | 1,03 | 1,03 | 1,08 | 1,06 | 1,08 | 1,07 | 1,02 | 1,02 | 0,98 | 0,99 |
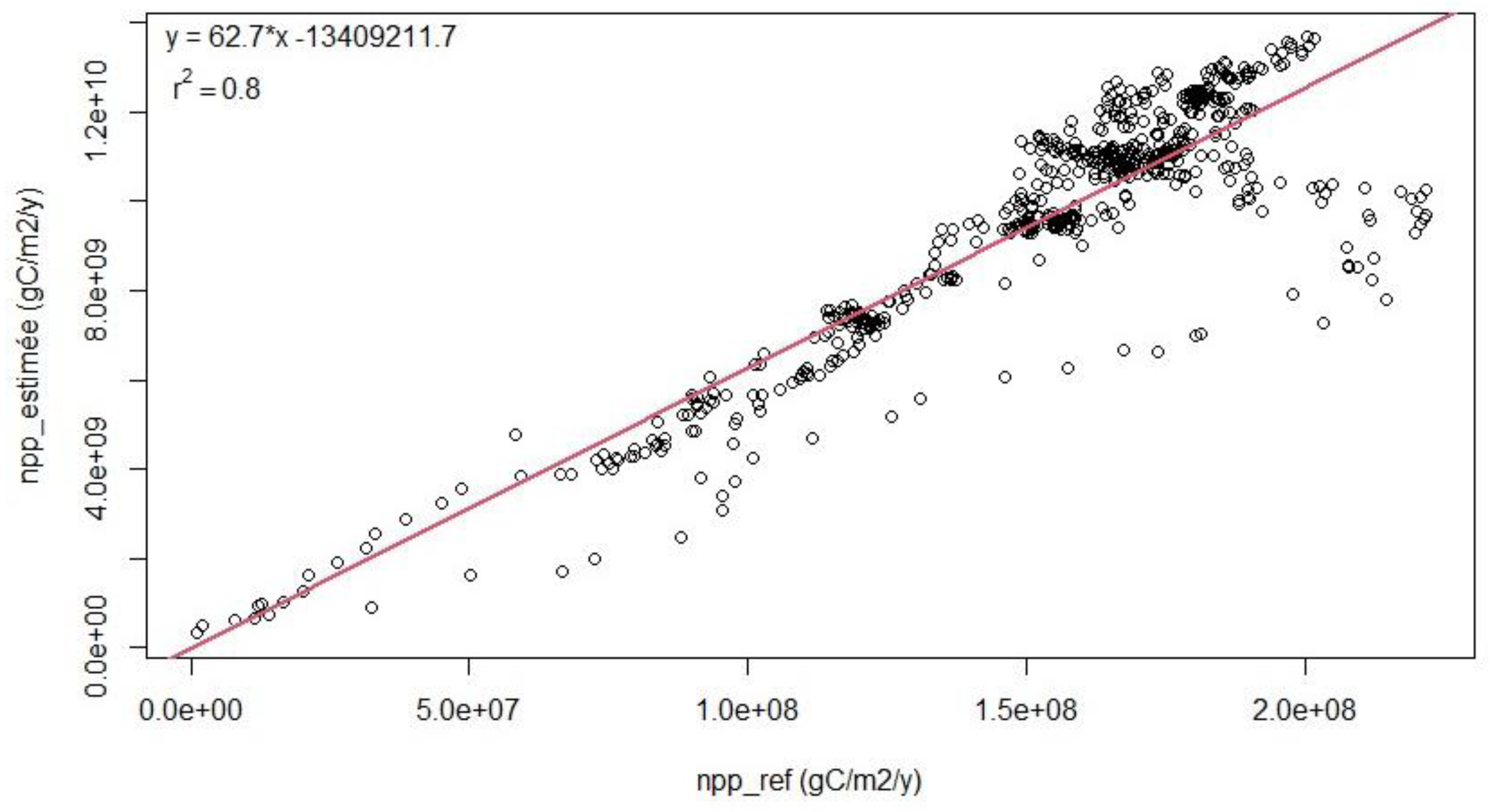
2.3.2. Validation of NPP Estimation
2.3.3. Impacts of Climate Change and Land Use
2.3.4. Correlation Analysis between NPP and Climatic Variables
3. Results
3.1. Spatio-Temporal Dynamics of NPP in Togo
3.1.1. Distribution and Temporal Evolution of NPP in Togo
3.1.2. Monthly Variation of NPP
3.2. Spatial Dynamics of Natural Productivity in Togo
3.2.1. Characteristics and Spatial Distribution of Natural Productivity in Togo
3.2.2. Detection of NPP Changes in Togo
3.2.3. Spatio-Temporal Dynamics of Ecosystem NPP
| Land Use Units | Year 2000 | Year 2022 | Trends | |||||
|---|---|---|---|---|---|---|---|---|
| km2 | ha | % | km2 | ha | % | ha | % | |
| Forests | 25464 | 2546445 | 44,99 | 19469 | 1946876 | 34,40 | -599569 | -23,55 |
| Savanna Mosaic | 19527 | 1952739 | 34,50 | 13972 | 1397218 | 24,69 | -555521 | -28,45 |
| Crops/Agroforestry Parks/Fallow | 9360 | 936003 | 16,54 | 20014 | 2001382 | 35,36 | 1065379 | 113,82 |
| Swamp Vegetation | 708 | 70802 | 1,25 | 679 | 67893 | 1,20 | -2909 | -4,11 |
| Water Bodies | 247 | 24658 | 0,44 | 266 | 26563 | 0,47 | 1905 | 7,73 |
| Dwellings/Infrastructure/Quarries | 1294 | 129400 | 2,29 | 2201 | 220114 | 3,89 | 90713 | 70,10 |
| 56600 | 5660047 | 100 | 56600 | 5660046 | 100 | |||
3.3. Impacts of Climate Change and Land Use Change on Total Production

3.4. Correlations between NPP and Climatic Parameters

4. Discussion
5. Conclusion
Author Contributions
Funding
Institutional Review Board Statement
Informed Consent Statement
Data Availability Statement
Acknowledgments
Conflicts of Interest
References
- Cao M, Woodward FI. Dynamic responses of terrestrial ecosystem carbon cycling to global climate change. Nature 1998;393(6682):249-52.
- Jackson RB, Randerson JT, Canadell JG, Anderson RG, Avissar R, Baldocchi DD, et al. Protecting climate with forests. EnvironResLett. 2008;3(4):044006. [CrossRef]
- Peñuelas J, Rutishauser T, Filella I. Phenology feedbacks on climate change. Science. 2009;324(5929):887-8. [CrossRef]
- Anderson RG, Canadell JG, Randerson JT, Jackson RB, Hungate BA, Baldocchi DD, et al. Biophysical considerations in forestry for climate protection. Frontiers in Ecology the Environment. 2011;9(3):174-82. [CrossRef]
- Peng D, Zhang B, Liu L, Chen D, Fang H, Hu Y. Seasonal dynamic pattern analysis on global FPAR derived from AVHRR GIMMS NDVI. International Journal of Digital Earth. 2012;5(5):439-55. [CrossRef]
- Protected Areas Map of the World. Available online: https://www.protectedplanet.net (accessed on 18 March 2020).
- Mao L, Li M, Shen W. Remote sensing applications for monitoring terrestrial protected areas: Progress in the last decade. Sustainability. 2020;12(12):5016. [CrossRef]
- Grogan K, Pflugmacher D, Hostert P, Verbesselt J, Fensholt R. Mapping clearances in tropical dry forests using breakpoints, trend, and seasonal components from MODIS time series: does forest type matter? Remote Sens. 2016;8(8):657. [CrossRef]
- Zhang Y, Zhang X, Yu G, Tao J, Yang J, Jiang Y, et al. Climate-driven global changes in carbon use efficiency. Global Ecol Biogeogr. 2013:12p. [CrossRef]
- Van Tuyl S, Law B, Turner D, Gitelman AIJFE, Management. Variability in net primary production and carbon storage in biomass across Oregon forests—an assessment integrating data from forest inventories, intensive sites, and remote sensing. 2005;209(3):273-91. [CrossRef]
- Piao S, Fang J, He J. Variations in vegetation net primary production in the Qinghai-Xizang Plateau, China, from 1982 to 1999. Climatic Change. 2006;74(1):253-67. [CrossRef]
- Lobell D, Hicke J, Asner G, Field C, Tucker C, Los S. Satellite estimates of productivity and light use efficiency in United States agriculture, 1982–98. Global Change Biol. 2002;8(8):722-35. [CrossRef]
- Zhang R, Zhou Y, Luo H, Wang F, Wang S. Estimation and analysis of spatiotemporal dynamics of the net primary productivity integrating efficiency model with process model in karst area. Remote Sens. 2017;9(5):477. [CrossRef]
- Potter C, Klooster S, Genovese V, Hiatt C, Boriah S, Kumar V, et al. Terrestrial ecosystem carbon fluxes predicted from MODIS satellite data and large-scale disturbance modeling. International Journal of Geosciences. 2012;3(3). [CrossRef]
- Prince SD, Goward SN. Global primary production: a remote sensing approach. J Biogeogr. 1995;22(4/5):815-35. [CrossRef]
- Goetz SJ, Prince SD, Goward SN, Thawley MM, Small J. Satellite remote sensing of primary production: an improved production efficiency modeling approach. Ecol Model. 1999;122(3):239-55. [CrossRef]
- Landsberg J, Waring R. A generalised model of forest productivity using simplified concepts of radiation-use efficiency, carbon balance and partitioning. Forest ecology management. 1997;95(3):209-28. [CrossRef]
- Yuan W, Liu S, Zhou G, Zhou G, Tieszen LL, Baldocchi D, et al. Deriving a light use efficiency model from eddy covariance flux data for predicting daily gross primary production across biomes. Agricultural and Forest Meteorology. 2007;143(3-4):189-207. [CrossRef]
- Running SW, Nemani RR, Heinsch FA, Zhao M, Reeves M, Hashimoto H. A continuous satellite-derived measure of global terrestrial primary production. Bioscience. 2004;54(6):547-60. [CrossRef]
- Veroustraete F, Sabbe H, Eerens H. Estimation of carbon mass fluxes over Europe using the C-Fix model and Euroflux data. Remote Sens Environ. 2002;83(3):376-99. [CrossRef]
- Xiao X, Hollinger D, Aber J, Goltz M, Davidson EA, Zhang Q, et al. Satellite-based modeling of gross primary production in an evergreen needleleaf forest. Remote Sens Environ. 2004;89(4):519-34. [CrossRef]
- Ruimy A, Dedieu G, Saugier BJGBC. TURC: A diagnostic model of continental gross primary productivity and net primary productivity. 1996;10(2):269-85. [CrossRef]
- Potter CS, Randerson JT, Field CB, Matson PA, Vitousek PM, Mooney HA, et al. Terrestrial ecosystem production: a process model based on global satellite and surface data. Global Biogeochem Cycles. 1993;7(4):811-41. [CrossRef]
- Gamon J, Penuelas J, Field C. A narrow-waveband spectral index that tracks diurnal changes in photosynthetic efficiency. Remote Sens Environ. 1992;41(1):35-44. [CrossRef]
- Maxwell K, Johnson GN. Chlorophyll fluorescence—a practical guide. Journal of experimental botany. 2000;51(345):659-68. [CrossRef]
- Ball R, Aherne F. Influence of dietary nutrient density, level of feed intake and weaning age on young pigs. II. Apparent nutrient digestibility and incidence and severity of diarrhea. Canadian Journal of Animal Science. 1987;67(4):1105-15. [CrossRef]
- Collatz GJ, Ball JT, Grivet C, Berry JA. Physiological and environmental regulation of stomatal conductance, photosynthesis and transpiration: a model that includes a laminar boundary layer. Agricultural Forest meteorology. 1991;54(2-4):107-36. [CrossRef]
- Von Caemmerer Sv, Farquhar GD. Some relationships between the biochemistry of photosynthesis and the gas exchange of leaves. Planta. 1981;153:376-87. [CrossRef]
- Nemani RR, Keeling CD, Hashimoto H, Jolly WM, Piper SC, Tucker CJ, et al. Climate-driven increases in global terrestrial net primary production from 1982 to 1999. science. 2003;300(5625):1560-3. [CrossRef]
- Pan Y, Birdsey R, Hom J, McCullough K, Clark K. Improved estimates of net primary productivity from MODIS satellite data at regional and local scales. Ecological Applications. 2006;16(1):125-32. [CrossRef]
- Abd Wahid Rasib ALI, Cracknell A, Faidi MA. Local scale mapping of net primary production in tropical rain forest using Modis satellite data. Local scale mapping of Net Primary Production in Tropical rain forest using Modis satellite data.Vol. XXXVII.
- Li J, Cui Y, Liu J, Shi W, Qin Y. Estimation and analysis of net primary productivity by integrating MODIS remote sensing data with a light use efficiency model. Ecol Model. 2013;252:3-10. [CrossRef]
- Bradford J, Hicke J, Lauenroth W. The relative importance of light-use efficiency modifications from environmental conditions and cultivation for estimation of large-scale net primary productivity. Remote Sens Environ. 2005;96(2):246-55. [CrossRef]
- Fousseni F, Bilouktime B, Mustapha T, Kamara M, Wouyo A, Aboudoumisamilou I, et al. Changements d'affectation des terres et diversité structurelle de la forêt communautaire d'Affem Boussou dans la commune de Tchamba 1 (Préfecture de Tchamba, Togo). Conservation 2023;3(3):346-62. [CrossRef]
- Chen Y-Y, Huang W, Wang W-H, Juang J-Y, Hong J-S, Kato T, et al. Reconstructing Taiwan’s land cover changes between 1904 and 2015 from historical maps and satellite images. Scientific reports. 2019;9(1):3643. [CrossRef]
- Olorunfemi IE, Olufayo AA, Fasinmirin JT, Komolafe AA. Dynamics of land use land cover and its impact on carbon stocks in Sub-Saharan Africa: An overview. Environment, Development Sustainability. 2022;24(1):40-76. [CrossRef]
- Kombate A, Folega F, Atakpama W, Dourma M, Wala K, Goïta K. Characterization of land-cover changes and forest-cover dynamics in Togo between 1985 and 2020 from Landsat images using Google Earth Engine. Land. 2022;11(11):1889. [CrossRef]
- MERF. Quatrième Communication Nationale sur les Changements Climatiques du Togo. Projet 4ème CN α 2ème RBA du Togo sur les changements climatiques. 2022.
- Xie Y, Ma Z, Fang M, Liu W, Yu F, Tian J, et al. Analysis of Net Primary Productivity of Retired Farmlands in the Grain-for-Green Project in China from 2011 to 2020. Land. 2023;12(5):1078. [CrossRef]
- Chen B, Zhang X, Tao J, Wu J, Wang J, Shi P, et al. The impact of climate change and anthropogenic activities on alpine grassland over the Qinghai-Tibet Plateau. Agricultural Forest Meteorology. 2014;189:11-8. [CrossRef]
- Sun Y, Yang Y, Zhang L, Wang ZJP, Chemistry of the Earth PABC. The relative roles of climate variations and human activities in vegetation change in North China. Physics Chemistry of the Earth, Parts A/B/C. 2015;87:67-78. [CrossRef]
- Li Z, Chen J, Chen Z, Sha Z, Yin J, Chen Z. Quantifying the contributions of climate factors and human activities to variations of net primary productivity in China from 2000 to 2020. Frontiers in Earth Science. 2023;11:1084399. [CrossRef]
- Folega F, Woegan YA, Marra D, Wala K, Batawila K, Seburanga JL, et al. Long term evaluation of green vegetation cover dynamic in the Atacora Mountain chain (Togo) and its relation to carbon sequestration in West Africa. J Mt Sci. 2015;12:921-34. [CrossRef]
- Ern H. Die vegetation togos. gliederung, gefährdung, erhaltung. Willdenowia. 1979:295-312. https://www.jstor.org/stable/3995654.
- Adjossou, K. Diversité floristique des forêts riveraines de la zone écologique IV du Togo. Mém DEA biologie de développement, option biologie végétale appliquée, Univ Lomé. 2004:75.
- INSEED. Résultats définitifs du RGPH-5 de novembre 2022. Institut de la Statistique et des Etudes Economiques et Démographiques-Togo. 2022.
- Zhang M. Modeling net primary productivity of wetland with a satellite-based light use efficiency model. Geocarto Int. 2021. [CrossRef]
- Guan X, Shen H, Gan W, Yang G, Wang L, Li X, et al. A 33-year NPP monitoring study in southwest China by the fusion of multi-source remote sensing and station data. 2017;9(10):1082. [CrossRef]
- Sun J, Yue Y, Niu H. Evaluation of NPP using three models compared with MODIS-NPP data over China. PLoS One. 2021;16(11):e0252149. [CrossRef]
- Monteith, JL. Solar radiation and productivity in tropical ecosystems. J Appl Ecol. 1972;9(3):747-66. [CrossRef]
- Zhang J, Pan X, Gao Z, Shi Q, Lv G. Carbon uptake and change in net primary productivity of oasis-desert ecosystem in arid western China with remote sensing technique. J Geogr Sci. 2006;16:315-25. [CrossRef]
- Hatfield J, Asrar G, Kanemasu ET. Intercepted photosynthetically active radiation estimated by spectral reflectance. Remote Sens Environ. 1984;14(1-3):65-75. [CrossRef]
- Los S, Justice C, Tucker C. A global 10 x 10 NDVI data set for climate studies: Part I: Derivation of a reduced resolution data set from the GIMMS Global Area Coverage product of the AVHRR. Int J Remote Sens. 1994;15:3493-518. [CrossRef]
- Peng X, Chen Z, Chen Y, Chen Q, Liu H, Wang J, et al. Modelling of the biodiversity of tropical forests in China based on unmanned aerial vehicle multispectral and light detection and ranging data. Int J Remote Sens. 2021;42(23):8858-77. [CrossRef]
- Jiang Z, Huete AR, Didan K, Miura T. Development of a two-band enhanced vegetation index without a blue band. Remote Sens Environ. 2008;112(10):3833-45. [CrossRef]
- Christensen S, Goudriaan J. Deriving light interception and biomass from spectral reflectance ratio. Remote Sens Environ. 1993;43(1):87-95. [CrossRef]
- Field CB, Randerson JT, Malmström CM. Global net primary production: combining ecology and remote sensing. Remote Sens Environ. 1995;51(1):74-88. [CrossRef]
- Thornthwaite, CW. An approach toward a rational classification of climate. Geographical review. 1948;38(1):55-94. [CrossRef]
- Folega F, Atakpama W, Pereki H, Diwediga B, Novotny IP, Dray A, et al. GIS/Remote-Sensing-Based Assessment of Vegetation Health Related to Agroecological Practices in the Southeast of Togo. Appl Sci. 2023;13(9106). [CrossRef]
- Tilton JC, De Colstoun EB, Wolfe RE, Tan B, Huang C, editors. Generating ground reference data for a global impervious surface survey. 2012 IEEE International Geoscience and Remote Sensing Symposium; 2012: IEEE. [CrossRef]
- Liu F, Xu C, Yang X, Ye X. Controls of climate and land-use change on terrestrial net primary productivity variation in a subtropical humid basin. Remote Sens. 2020;12(21):3525. [CrossRef]
- Cleophas TJ, Zwinderman AH, Cleophas TJ, Zwinderman AH. Bayesian Pearson correlation analysis. Modern Bayesian statistics in clinical research. 2018:111-8. [CrossRef]
- Ogbue C, Igboeli E, Yahaya I, Yeneayehu F, Fu S, Chen Y, et al. Spatiotemporal dynamics and climatic factors affecting Net Primary Productivity in Niger River Basin, from 2000 to 2020. Applied Ecology Environmental Research 2023;21(6). [CrossRef]
- Liu Y, Yang Y, Wang Q, Khalifa M, Zhang Z, Tong L, et al. Assessing the Dynamics of Grassland Net Primary Productivity in Response to Climate Change at the Global Scale. Chinese Geographical Science. 2019;29(5):725–40. [CrossRef]
- Adjossou K. Diversité, structure et dynamique de la végétation dans les fragments de forêts humides du Togo : les enjeux pour la conservation de la biodiversité. Thèse de Doctorat de l’Université de Lomé 2009:235p.
- PNUD. situation de référence des paysages. Stratégie Nationale du Programme de Micro Financements du FEM pour l’utilisation des fonds de la 6e Phase Opérationnelle (OP 6) 2016.
- Atakpama W, Badjare B, Aladji EYK, Batawila K, Akpagana K. Dégradation alarmante des ressources Forestières de la forêt classée de la fosse de Doungh au Togo. African Journal on Land Policy and Geospatial Sciences. 2023;6(3):485-503.
- Polo-Akpisso A, Wala K, Soulemane O, Foléga F, Akpagana K, Tano Y. Assessment of habitat change processes within the Oti-Keran-Mandouri network of protected areas in Togo (West Africa) from 1987 to 2013 using decision tree analysis. Sci. 2020;2(1):1. [CrossRef]
- Folega F, Zhang C-y, Zhao X-h, Wala K, Batawila K, Huang H-g, et al. Satellite monitoring of land-use and land-cover changes in northern Togo protected areas. Journal of Forestry Research. 2014;25:385-92. [CrossRef]
- Folega F, Haliba M, Folega AA, Ekougoulou R, Wala K, AKPAGANA K. Diversité structurale des ligneux en lien avec l’utilisation des terres du Socle Eburneen au Togo. Annales de la Recherche Forestière en Algérie. 2022;12(1):7-25.
- Badjare B, Woegan YA, Folega F, Atakpama W, Wala K, Akpagana K. Vulnérabilité des ressources ligneuses en lien avec les différentes formes d’usages au Togo: Cas du paysage des aires protégées Doungh-fosse aux lions (Région des Savanes). Revue Agrobiologia. 2021;11(2):2552-65.
- Koumoi Z, Alassane A, Djangbedja M, Boukpessi T, Kouya A-E. Dynamique spatio-temporelle de l’occupation du sol dans le Centre-Togo. AHOHO-Revue de Géographie du LARDYMES. 2013;7(10):163-72.
- Djiwa, O. Dynamique forestière et diagnostic de la gestion de la forêt classée d'Abdoulaye au Togo: AgroParisTech; 2008.
- Dimobe K, Wala K, Batawila K, Dourma M, Woegan YA, Akpagana K. Analyse spatiale des différentes formes de pressions anthropiques dans la réserve de faune de l’Oti-Mandouri (Togo). VertigO-la revue électronique en sciences de l'environnement. 2012(Hors-série 14). [CrossRef]
- Akodéwou A, Oszwald J, Saïdi S, Gazull L, Akpavi S, Akpagana K, et al. Land use and land cover dynamics analysis of the Togodo protected area and its surroundings in Southeastern Togo, West Africa. Sustainability. 2020;12(13). [CrossRef]
- Yang H, Hu D, Peng F, Wang Y. Exploring the response of net primary productivity variations to land use/land cover change: A case study in Anhui, China. Pol J Environ Stud. 2019;28(5):3971-84. [CrossRef]
- Pang Y, Chen C, Guo B, Qi D, Luo Y. Impacts of Climate Change and Anthropogenic Activities on the Net Primary Productivity of Grassland in the Southeast Tibetan Plateau. Atmosphere. 2023;14(8):1217. [CrossRef]
- Ge W, Deng L, Wang F, Han J. Quantifying the contributions of human activities and climate change to vegetation net primary productivity dynamics in China from 2001 to 2016. Sci Total Environ. 2021;773:145648. [CrossRef]
- Luo Z, Wu W, Yu X, Song Q, Yang J, Wu J, et al. Variation of net primary production and its correlation with climate change and anthropogenic activities over the Tibetan Plateau. 2018;10(9):1352. [CrossRef]
- Luo L, Ma W, Zhuang Y, Zhang Y, Yi S, Xu J, et al. The impacts of climate change and human activities on alpine vegetation and permafrost in the Qinghai-Tibet Engineering Corridor. 2018;93:24-35. [CrossRef]
- Bejagam V, Sharma A. Impact of climatic changes and anthropogenic activities on ecosystem net primary productivity in India during 2001–2019. Ecol Informatics. 2022;70:101732. [CrossRef]
- Li M, Shaoqiang W, Jinghua C, Bin C, Leiming Z, Lixia M, et al. Relationship between Light Use Efficiency and Photochemical Reflectance Index Corrected Using a BRDF Model at a Subtropical Mixed Forest. Remote Sens. 2020;12(550). [CrossRef]









| Land Use Units | NPP en 2000 (Kg C/ha/y) | NPP en 2022 (Kg C/ha/y) |
|---|---|---|
| Forests | 4813,79046 | 7050,33421 |
| Savanna Mosaic | 4336,63782 | 6786,71632 |
| Crops/Agroforestry Parks/Fallow | 4127,75592 | 2161,66221 |
| Swamp Vegetation | 4208,67765 | 4914,66374 |
| Water Bodies | 2685,496 | 2791,45446 |
| Dwellings/Infrastructure/Quarries | 3956,09229 | 2604,24078 |
| Land Use Units | NPP en 2000 (Pg C. y) | % | NPP en 20022 (Pg C. y) | % | Évolution (Pg C. y) |
|---|---|---|---|---|---|
| Forests | 12,26 | 48,13 | 13,73 | 37,95 | 1,47 |
| Savanna Mosaic | 8,47 | 33,25 | 9,48 | 24,48 | 1,01 |
| Crops/Agroforestry Parks/Fallow | 3,86 | 15,17 | 4,33 | 32,81 | 0,46 |
| Swamp Vegetation | 0,30 | 1,17 | 0,33 | 1,10 | 0,04 |
| Water Bodies | 0,07 | 0,26 | 0,07 | 0,28 | 0,01 |
| Dwellings/Infrastructure/Quarries | 0,51 | 2,01 | 0,57 | 3,38 | 0,06 |
| 25,47 | 100,00 | 28,52 | 100,00 | 3,05 |
| Land Use Units | Forests | Savanna mosaic | Swamp Vegetation | Water Bodies | Crops/Agroforestry Parks/Fallow | Dwellings/Infrastructure/Quarries |
|---|---|---|---|---|---|---|
| Forests | 1912269,22 | 18691,92432 | 49,07281234 | 9,294968779 | 15689,05873 | 339,0539743 |
| 98,21% | 0,96% | 0,00% | 0,00% | 0,81% | 0,02% | |
| Savanna mosaic | 156129,208 | 1038496,38 | 564,0134022 | 732,4305023 | 199945,4066 | 1257,076453 |
| 11,18% | 74,33% | 0,04% | 0,05% | 14,31% | 0,09% | |
| Swamp Vegetation | 112,7123731 | 691,1731686 | 64832,85 | 1510,98517 | 633,4277026 | 109,938209 |
| 0,17% | 1,02% | 95,50% | 2,23% | 0,93% | 0,16% | |
| Water Bodies | 29,94626754 | 316,011276 | 3728,99764 | 22234,77 | 20,94147761 | 224,5942434 |
| 0,11% | 1,19% | 14,04% | 83,73% | 0,08% | 0,85% | |
| Crops/Agroforestry Parks/Fallow | 452303,6825 | 866538,6911 | 1235,72227 | 56,05706059 | 679920,61 | 1256,41397 |
| 22,60% | 43,30% | 0,06% | 0,00% | 33,97% | 0,06% | |
| Dwellings/Infrastructure/Quarries | 19983,75162 | 31549,02537 | 516,9778371 | 159,2525304 | 41527,14688 | 126362,74 |
| 9,08% | 14,33% | 0,23% | 0,07% | 18,87% | 57,41% |
| Land Use Units | Ƞclim | Ƞland | Ƞintersect |
| Forests | 387,94% | -196,60% | -91,34% |
| Savanna mosaics | 471,74% | -237,54% | -134,20% |
| Crops/Agroforestry Parks/Fallow | -397,71% | 950,39% | -452,68% |
| Swamp vegetation | 140,06% | -34,31% | -5,75% |
| Water Bodies | 32,94% | 64,51% | 2,55% |
| Dwellings/Infrastructure/Quarries | -285,32% | 585,35% | -200,02% |
Disclaimer/Publisher’s Note: The statements, opinions and data contained in all publications are solely those of the individual author(s) and contributor(s) and not of MDPI and/or the editor(s). MDPI and/or the editor(s) disclaim responsibility for any injury to people or property resulting from any ideas, methods, instructions or products referred to in the content. |
© 2024 by the authors. Licensee MDPI, Basel, Switzerland. This article is an open access article distributed under the terms and conditions of the Creative Commons Attribution (CC BY) license (http://creativecommons.org/licenses/by/4.0/).
