Submitted:
19 August 2024
Posted:
20 August 2024
You are already at the latest version
Abstract
Keywords:
1. Introduction
2. Materials and Methods
3. Results
3.1. Patients Included and Demographics
3.2. Surgical Parameters and Outcomes
3.3. Complications
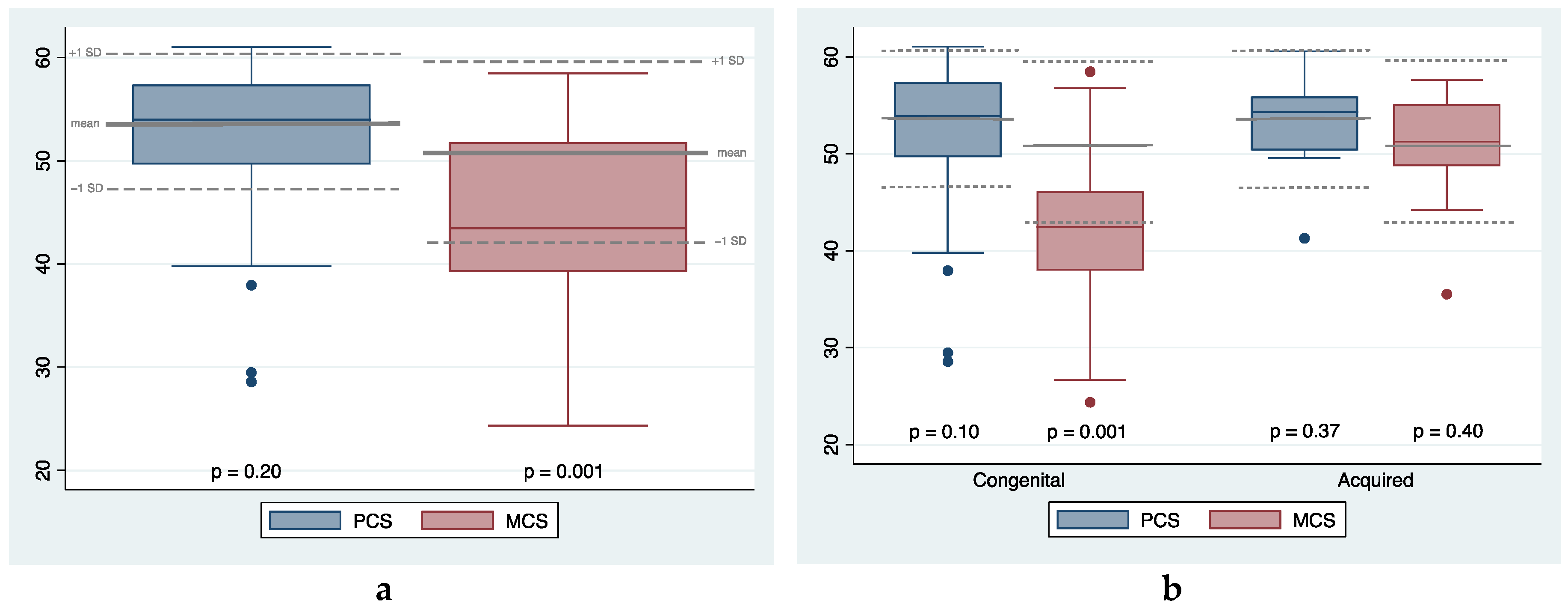
3.4. PROMs
4. Discussion
Limitations
5. Conclusions
Supplementary Materials
Author Contributions
Funding
Institutional Review Board Statement
Informed Consent Statement
Data Availability Statement
Acknowledgements
Conflicts of Interest
References
- Sabharwal, S. Pediatric Lower Limb Deformities: Principles and Techniques of Management. Pediatric Lower Limb Deformities: Principles and Techniques of Management 2016, 1–635, doi:10.1007/978-3-319-17097-8/COVER. [CrossRef]
- Hosny, G.A. Limb Lengthening History, Evolution, Complications and Current Concepts. J Orthop Traumatol 2020, 21, 3, doi:10.1186/S10195-019-0541-3. [CrossRef]
- Hootnick, D.; Ellingsworth, L.; Mauchin, R.; Brown, A.C. ⇜it Occupied Her Entire Childhood⇝: Looking Back on Limb-Lengthening. Pediatrics 2021, 147, doi:10.1542/PEDS.2020-1055/36363. [CrossRef]
- Tang, C.H.; Addar, A.; Fernandes, J.A. Amputation vs Reconstruction in Type IV Tibial Hemimelia: Functional Outcomes and Description of a Novel Surgical Technique. Strategies Trauma Limb Reconstr 2023, 18, 32, doi:10.5005/JP-JOURNALS-10080-1576. [CrossRef]
- Elmherig, A.; Ahmed, A.F.; Hegazy, A.; Herzenberg, J.E.; Ibrahim, T.; Ibrahim, T. Amputation Versus Limb Reconstruction for Fibula Hemimelia: A Meta-Analysis. J Pediatr Orthop 2020, 40, 425–430, doi:10.1097/BPO.0000000000001510. [CrossRef]
- Wright, J.; Timms, A.; Fugazzotto, S.; Goodier, D.; Calder, P. Development of a Patient-Reported Outcome Measure in Limb Reconstruction: A Pilot Study Assessing Face Validity. Bone Jt Open 2021, 2, 705, doi:10.1302/2633-1462.29.BJO-2021-0105.R1. [CrossRef]
- Depaoli, A.; Magnani, M.; Casamenti, A.; Cerasoli, T.; Ramella, M.; Menozzi, G.C.; Mordenti, M.; Rocca, G.; Trisolino, G. Is the High Healing Index a Complication of Progressive Long Bone Lengthening? Observations from a Cohort of 178 Children Treated with Circular External Fixation for Lower Limb Length Discrepancy. Children (Basel) 2023, 10, doi:10.3390/CHILDREN10101586. [CrossRef]
- Lascombes, P.; Popkov, D.; Huber, H.; Haumont, T.; Journeau, P. Classification of Complications after Progressive Long Bone Lengthening: Proposal for a New Classification. Orthop Traumatol Surg Res 2012, 98, 629–637, doi:10.1016/j.otsr.2012.05.010. [CrossRef]
- Ware, J.E.J.; Sherbourne, C.D. The MOS 36-Item Short-Form Health Survey (SF-36). I. Conceptual Framework and Item Selection. Med Care 1992, 30, 473–483.
- Ware, J.E.; Ware, J. SF-36 Physical and Mental Health Summary Scales: A User’s Manual. 1993.
- Apolone, G.; Mosconi, P. The Italian SF-36 Health Survey: Translation, Validation and Norming. J Clin Epidemiol 1998, 51, 1025–1036, doi:10.1016/S0895-4356(98)00094-8. [CrossRef]
- Laucis, N.C.; Hays, R.D.; Bhattacharyya, T. Scoring the SF-36 in Orthopaedics: A Brief Guide. J Bone Joint Surg Am 2015, 97, 1628–1634, doi:10.2106/JBJS.O.00030. [CrossRef]
- Garratt, A.M.; Stavem, K. Measurement Properties and Normative Data for the Norwegian SF-36: Results from a General Population Survey. Health Qual Life Outcomes 2017, 15, 1–10, doi:10.1186/S12955-017-0625-9/TABLES/4. [CrossRef]
- Moore, D.S..; Notz, William.; Fligner, M.A.. The Basic Practice of Statistics : David S. Moore, William I. Notz, Michael A. Fligner. 2013, 745.
- Schep, N.W.L.; van Lieshout, E.M.M.; Patka, P.; Vogels, L.M.M. Long-Term Functional and Quality of Live Assessment Following Post-Traumatic Distraction Osteogenesis of the Lower Limb. Strategies Trauma Limb Reconstr 2009, 4, 107, doi:10.1007/S11751-009-0070-3. [CrossRef]
- Heath, M.R.; Shin, T.J.; Mehta, R.; Principe, P.S.; MacKie, A.T.; Fragomen, A.; Rozbruch, S.R.; Fabricant, P.D. Patients With Lower Limb Deformity Report Worse Quality of Life Than Control Subjects Regardless of Degree of Deformity. JAAOS Global Research & Reviews 2021, 5, doi:10.5435/JAAOSGLOBAL-D-21-00182. [CrossRef]
- Pawik, Ł.; Pawik, M.; Wrzosek, Z.; Fink-Lwow, F.; Morasiewicz, P. Assessment of the Quality of Life in Patients with Varying Degrees of Equalization of Lower Limb Length Discrepancy Treated with Ilizarov Method. J Orthop Surg Res 2021, 16, 1–9, doi:10.1186/S13018-021-02202-1/TABLES/3. [CrossRef]
- Sjöberg, L.; Hermansson, L.; Lindner, H.; Fredriksson, C. Adolescents with Congenital Limb Reduction Deficiency: Perceptions of Treatment during Childhood and Its Meaning for Their Current and Future Situation. Child Care Health Dev 2022, 48, 613–622, doi:10.1111/CCH.12967. [CrossRef]
- Ghoneem, H.F.; Wright, J.G.; Cole, W.G.; Rang, M. The Ilizarov Method for Correction of Complex Deformities. Psychological and Functional Outcomes. J Bone Joint Surg Am 1996, 78, 1480–1485, doi:10.2106/00004623-199610000-00004. [CrossRef]
- Ramaker, R.R.; Lagro, S.W.J.; Van Roermund, P.M.; Sinnema, G. The Psychological and Social Functioning of 14 Children and 12 Adolescents after Ilizarov Leg Lengthening. Acta Orthop Scand 2000, 71, 55–59, doi:10.1080/00016470052943900. [CrossRef]
- Niemelä, B.J.; Tjernström, B.; Andersson, G.; Wahlsten, V.S. Does Leg Lengthening Pose a Threat to a Child’s Mental Health?: An Interim Report One Year after Surgery. J Pediatr Orthop 2007, 27, 611–617, doi:10.1097/BPO.0B013E31814256C6. [CrossRef]
- Martin, L.; Farrell, M.; Lambrenos, K.; Nayagam, D. Living with the Ilizarov Frame: Adolescent Perceptions. J Adv Nurs 2003, 43, 478–487, doi:10.1046/J.1365-2648.2003.02745.X. [CrossRef]
- Moraal, J.M.; Elzinga-Plomp, A.; Jongmans, M.J.; Van Roermund, P.M.; Flikweert, P.E.; Castelein, R.M.; Sinnema, G. Long-Term Psychosocial Functioning after Ilizarov Limb Lengthening during Childhood: 37 Patients Followed for 2–14 Years. Acta Orthop 2009, 80, 704, doi:10.3109/17453670903473024. [CrossRef]
- McKee, M.D.; Yoo, D.; Schemitsch, E.H. Health Status after Ilizarov Reconstruction of Post-Traumatic Lower-Limb Deformity. J Bone Joint Surg Br 1998, 80, 360–364, doi:10.1302/0301-620X.80B2.8192. [CrossRef]
- Kaastad, T.S.; Tveter, A.T.; Steen, H.; Holm, I. Physical Function and Health-Related Quality of Life in Young Adults with Unilateral Congenital Lower-Limb Deficiencies. J Child Orthop 2017, 11, 348–357, doi:10.1302/1863-2548.11.170026. [CrossRef]
- Montpetit, K.; Hamdy, R.C.; Dahan-Oliel, N.; Zhang, X.; Narayanan, U.G. Measurement of Health-Related Quality of Life in Children Undergoing External Fixator Treatment for Lower Limb Deformities. J Pediatr Orthop 2009, 29, 920–926, doi:10.1097/BPO.0B013E3181C1E2E2. [CrossRef]
- Lee, K.M.; Chung, C.Y.; Gwon, D.K.; Sung, K.H.; Cho, J.H.; Kim, T.W.; Choi, I.H.; Cho, T.J.; Yoo, W.J.; Park, M.S. Parental Perspectives on Leg Length Discrepancy. Journal of Pediatric Orthopaedics Part B 2012, 21, 146–149, doi:10.1097/BPB.0B013E32834C67B2. [CrossRef]
- Antonios, T.; Barker, A.; Ibrahim, I.; Scarsbrook, C.; Smitham, P.J.; David Goodier, W.; Calder, P.R. A Systematic Review of Patient-Reported Outcome Measures Used in Circular Frame Fixation. Strategies Trauma Limb Reconstr 2019, 14, 34, doi:10.5005/JP-JOURNALS-10080-1413. [CrossRef]
- Leggett, H.; Scantlebury, A.; Byrne, A.; Harden, M.; Hewitt, C.; O’Carroll, G.; Sharma, H.; McDaid, C.; Adamson, J.; Cocks, K.; et al. Exploring What Is Important to Patients with Regards to Quality of Life after Experiencing a Lower Limb Reconstructive Procedure: A Qualitative Evidence Synthesis. Health Qual Life Outcomes 2021, 19, 1–16, doi:10.1186/S12955-021-01795-9/FIGURES/3. [CrossRef]
- Chhina, H.; Klassen, A.; Bade, D.; Kopec, J.; Cooper, A. Establishing Content Validity of LIMB-Q Kids: A New Patient-Reported Outcome Measure for Lower Limb Deformities. Qual Life Res 2022, 31, 2805–2818, doi:10.1007/S11136-022-03140-Z. [CrossRef]
- Mundy, L.R.; Klassen, A.F.; Pusic, A.L.; deJong, T.; Hollenbeck, S.T.; Gage, M.J. The LIMB-Q: Reliability and Validity of a Novel Patient-Reported Outcome Measure for Lower Extremity Trauma Patients. Plast Reconstr Surg 2024, doi:10.1097/PRS.0000000000011293. [CrossRef]
- Vogt, B.; Fresen, J.; Gosheger, G.; Chhina, H.; Brune, C.S.; Toporowski, G.; Frommer, A.; Laufer, A.; Cooper, A.; Roedl, R.; et al. LIMB-Q Kids—German Translation and Cultural Adaptation. Children 2022, 9, doi:10.3390/CHILDREN9091405. [CrossRef]
- Jønsson, C.E.; Poulsen, L.; Rölfing, J.D.; Chhina, H.; Cooper, A.; Sørensen, J.A. Danish Linguistic Validation and Cultural Adaptation of the LIMB-Q Kids. Children 2023, 10, doi:10.3390/CHILDREN10071107. [CrossRef]
- Leggett, H.; Scantlebury, A.; Hewitt, C.; Sharma, H.; McDaid, C.; Adamson, J.; Cocks, K.; Harwood, P.; Ferguson, D.; Hamdy, R.; et al. What Is Important to Adults after Lower Limb Reconstruction Surgery: A Conceptual Framework. Quality of Life Research 2023, 32, 1671–1682, doi:10.1007/S11136-022-03340-7/TABLES/3. [CrossRef]
- Benson, T. Why It Is Hard to Use PROMs and PREMs in Routine Health and Care. BMJ Open Qual 2023, 12, 2516, doi:10.1136/BMJOQ-2023-002516. [CrossRef]


| N patients (%) | N LPs (%) |
Median (Q1-Q3) age at surgery (years) | Median (Q1-Q3) preoperative LLD (cm) | Median (Q1-Q3) HI (days/cm) | Median (Q1-Q3) TTT (days) | Median (Q1-Q3) postoperative LLD (cm) | % LPs with one or more complications | % LPs with one or more complications (HI > 45 included) | |
|---|---|---|---|---|---|---|---|---|---|
| Congenital causes | 41 (82%) | 59 (84%) | 14.8 | 7.0 | 50 | 248 | 1.0 | 42% | 68% |
| (11.7-16.0) | (5.0-9.0) | (40-59) | (214-300) | (0.0-2.5) | |||||
| Idiopathic | 8 (16%) | 9 (13%) | 15.2 | 4.0 | 62 | 302 | 0.0 | 22% | 100% |
| (13.5-16.2) | (4.0-7.0) | (52-67) | (232-318) | (0.0-1.3) | |||||
| Proximal limb hypoplasia CFD |
12 (24%) 11 |
19 (27%) 18 |
15.1 (10.3-15.4) |
7.5 (6.0-9.0) |
51 (42-78) |
223 (209-251) |
1.5 (0.0-3.0) |
44% |
50% |
| Hypoplasia in DDH | 1 | 1 |
11.7 (-) |
9.0 (-) |
63 (-) |
316 (-) |
1.5 (-) |
0% | 100% |
| Distal limb hypoplasia Fibular hemimelia |
17 (34%) 9 |
26 (37%) 18 |
13.4 (8.6-15.9) |
8.0 (6.0-11.0) |
46 (39-54) |
274 (217-283) |
1.5 (1.0-2.0) |
56% |
78% |
| Tibial hemimelia | 5 | 5 |
14.8 (14.5-15.9) |
6.0 (5.5-6.0) |
39 (37-45) |
271 (224-278) |
0.0 (0.0-1.0) |
60% | 60% |
| CPMBT | 3 | 3 |
15.0 (13.7-15.1) |
4.5 (4.0-5.0) |
42 (36-43) |
211 (182-239) |
0.0 (0.0-0.0) |
0% | 0% |
| Skeletal dysplasias | 4 (8%) | 5 (7%) | 16.0 | 5.0 | 47 | 256 | 1.8 | 40% | 80% |
| Ollier’s disease | 1 | 2 | (14.0-16.1) | (4.5-9.0) | (37-55) | (192-279) | (0.5-3.8) | ||
| CPT without NF1 | 1 | 1 | |||||||
| CPT in NF1 | 1 | 1 | |||||||
| MHE | 1 | 1 | |||||||
| Acquired causes | 9 (18%) | 11 (16%) | 15.6 | 6.0 | 56 | 245 | 0.0 | 27% | 64% |
| (14.8-16.4) | (5.0-9.0) | (44-64) | (194-299) | (0.0-0.0) | |||||
| Infections | 3 (6%) | 4 (6%) | 14.8 (13.4-15.7) |
9.5 (6.5-10.0) |
67 (50-77) |
376 (270-453) |
1.8 (0.0-3.0) |
25% | 75% |
| Trauma | 6 (12%) | 7 (10%) | 16.0 | 5.2 | 52 | 225 | 0.0 | 29% | 57% |
| (14.8-16.4) | (5.0-6.0) | (30-60) | (186-265) | (0.0-0.0) | |||||
| TOTAL |
50 (100%) |
70 (100%) |
14.9 (12.0-16.0) |
6.3 (5.0-9.0) |
51 (40-60) |
247 (211-299) |
0.4 (0.0-2.0) |
40% | 67% |
| Grade according to Lascombes’ classification | Type of complication | N |
|---|---|---|
| Grade I | Superficial infection requiring antibiotics Superficial thrombophlebitis Temporary nerve palsy |
14 1 1 |
| Grade IIa | Early union of regenerate Revision of EF under GA |
1 1 |
| Grade IIb | - | 0 |
| Grade IIIa | HI > 45 days/cm Joint stiffness Fracture after EF removal Non-union Residual angular deformity requiring osteotomy |
38 9 1 1 2 |
| Grade IIIb | Lengthening procedure interrupted and EF removed | 2 |
| Grade IVa | - | 0 |
| Grade IVb | - | 0 |
| TOTAL | 71 |
| PF | RP | BP | GH | VT | SF | RE | MH | PCS | MCS | |
|---|---|---|---|---|---|---|---|---|---|---|
| Lengthening cycles | 0.14 | -0.07 | 0.04 | -0.07 | 0.09 | 0.01 | -0.04 | -0.10 | 0.06 | -0.09 |
| Age at first surgery | -0.05 | -0.09 | 0.06 | -0.12 | 0.05 | -0.10 | -0.10 | -0.10 | -0.03 | -0.06 |
| Age at questionnaire | -0.21 | -0.07 | -0.11 | -0.37* | -0.29 | -0.17 | -0.14 | -0.15 | -0.21 | -0.18 |
| Preoperative LLD | -0.14 | -0.09 | -0.31* | -0.26 | -0.04 | -0.16 | -0.10 | -0.06 | -0.33* | -0.09 |
| Total lengthening | 0.15 | -0.07 | 0.05 | -0.08 | 0.09 | 0.01 | -0.04 | -0.10 | 0.01 | -0.09 |
| Complications | 0.05 | -0.15 | 0.08 | -0.05 | -0.01 | 0.13 | -0.06 | -0.25 | 0.08 | -0.19 |
| Minor complications | 0.02 | -0.01 | 0.14 | -0.05 | -0.04 | 0.05 | 0.04 | -0.15 | 0.08 | -0.09 |
| Major complications | -0.04 | -0.25 | -0.04 | -0.10 | 0.05 | 0.06 | -0.14 | -0.27 | -0.03 | -0.22 |
| Total treatment time | -0.08 | -0.21 | -0.23 | -0.23 | -0.01 | -0.18 | -0.28 | -0.19 | -0.14 | -0.27 |
| Healing index | -0.22 | -0.13 | -0.25 | -0.17 | -0.12 | -0.21 | -0.27 | -0.18 | -0.23 | -0.27 |
| Residual LLD | -0.31* | -0.20 | -0.28 | -0.28 | -0.15 | -0.23 | -0.20 | -0.17 | -0.34* | -0.19 |
| Follow-up | 0.01 | 0.02 | 0.02 | 0.08 | -0.05 | 0.02 | 0.02 | 0.01 | 0.07 | -0.01 |
| Pain | Sleep | Social | PF | Hygiene | Leisure | Work | Future | Emotions | Consmetic | |
|---|---|---|---|---|---|---|---|---|---|---|
| Mean | 84 | 73 | 81 | 87 | 96 | 70 | 89 | 73 | 61 | 54 |
| Median | 87 | 75 | 88 | 95 | 100 | 75 | 100 | 75 | 60 | 50 |
| Range | 46-100 | 13-100 | 25-100 | 8-100 | 25-100 | 0-100 | 13-100 | 25-100 | 15-100 | 10-100 |
Disclaimer/Publisher’s Note: The statements, opinions and data contained in all publications are solely those of the individual author(s) and contributor(s) and not of MDPI and/or the editor(s). MDPI and/or the editor(s) disclaim responsibility for any injury to people or property resulting from any ideas, methods, instructions or products referred to in the content. |
© 2024 by the authors. Licensee MDPI, Basel, Switzerland. This article is an open access article distributed under the terms and conditions of the Creative Commons Attribution (CC BY) license (http://creativecommons.org/licenses/by/4.0/).
