Preprint
Article

This version is not peer-reviewed.

Modeling Thermal Effects of Pulsating Currents in Human Tissues: How to Prevent Necrosis

A peer-reviewed version of this preprint was published in:
Biophysica 2024, 4(4), 477-487. https://doi.org/10.3390/biophysica4040031

Submitted:

19 August 2024

Posted:

19 August 2024

You are already at the latest version

Abstract
In some clinical applications pulsating currents are delivered into a body region for therapeutic purposes. In this paper we analyze the generated thermal field with the aim of determining the amplitude, period and duration of those stimuli, guaranteeing that the temperature of the interested tissue stays below the necrosis threshold.
Keywords: 
;  ;  
Subject: 
Physical Sciences  -   Biophysics

1. Introduction

In some clinical procedures electric pulses of moderate intensity (up to 20 V) are applied to biological tissues. Consequently, temperature may raise locally by some degrees. This phenomenon is generally negligible, but it should be kept under control, particularly for long lasting procedures, since it is known that cells exposed for long time to temperatures exceeding 41 42   ° C may die, thus inducing necrosis. This is not a strict rule in the sense that different tissues have different sensitivity to heat and, for the same tissue, the reaction may vary from patient to patient. For a general review on this extensively studied subject see, e. g., [1], Chapt. 6. Here we want to formulate a simple mathematical model to predict the steady state temperature attained in a tissue in which electric power is delivered in the form of pulsating voltage by means of a bipolar device, so that current is mainly concentrated in the region between the active electrodes, which are a few millimeters apart. We will point out that a critical quantity in determining the maximal temperature is the local acidity level, since it strongly influences electric conductivity. While in normal conditions heating will be proved to remain generally confined within safe limits, when the environmental pH is low, the selection of the stimulating parameters requires particular attention. We will derive the approximate range in which the pulse amplitude, period, and duration can be chosen, indicating which values may turn out to be dangerous, depending on the local pH level. We will perform a two-step approach: first neglecting and then including the stabilizing effect of blood perfusion.

2. The Physical Setting and a First Approach

We consider the case in which the electrodes are introduced in a body cavity, generating a pulsating electric field for therapeutic purposes. Of course the electric field extends over the whole body, but it fades away rapidly far from the source. A first simplifying assumption we make is to suppose that heat is generated by a uniform pulsating current confined in a spherical region of radius R around the electrodes. The current has a duration t s and a period t b > t s . In our approach the power delivered is considered constant, i.e. averaged over a period, considering that t b (<2 s) is much shorter than the application time (hours).
Figure 1. Delivered voltage versus time for a given voltage V and a given duty cycle t s / t b (ratio of the pulse duration over the time it takes the signal to complete an on-off cycle).
Figure 1. Delivered voltage versus time for a given voltage V and a given duty cycle t s / t b (ratio of the pulse duration over the time it takes the signal to complete an on-off cycle).
Preprints 115614 g001
Next, we add the assumption that heat diffuses out of such a sphere through a larger sphere of radius R e (for instance R e = 10 R ; typically R = 5 mm, R e = 5 cm, see Figure 2), whose boundary has a constant temperature T o , representing the patient’s basal temperature. Doing so we neglect the possible tissue thermal inhomogeneity, a fact of not great importance in the framework of the approximation we are aiming at. If r ˜ is the radial coordinate and t ˜ is time, the temperature T ( r ˜ , t ˜ ) obeys the equation
ϱ c T t ˜ k 2 T r ˜ 2 + 2 r ˜ T r ˜ = P ( r ˜ ) ,
where P r ˜ ) denotes the power rate per unit volume, namely
P ( r ˜ ) = 3 Q 4 π R 3 , if 0 < r ˜ < R , 0 , if R < r ˜ < R e .
The symbol Q denotes the average power delivered into the sphere because of Joule effect. We recall that ϱ is density (kgm   3 ), c is specific heat (Jkg−1   1 r ), k is thermal conductivity Wm(   1   1 ). The equation is supplemented by the boundary conditions T = T o for r ˜ = R e and T / r ˜ = 0 for r ˜ = 0 (i.e. no heat flux through the center, by symmetry). Temperature and heat flux are continuous across the interface r ˜ = R .
We select
R ref = R 5 × 10 3 m ,
as a characteristic length (in SI units) for the present problem. Then, we rescale r ˜ and t ˜ as follows
r = r ˜ R , t = t ˜ t ref ,
where t ref has to be conveniently chosen. Finally we summarize the dimensional typical values of the physical quantities involved in the case of human tissues:
ϱ 10 3 kgm 3 , c 3.5 × 10 3 Jkg 1   o K 1 , k 0.5 Wm 1   o K 1 , T o 310   o K .
Let us rewrite equation (1) in the following form, where we have set T ( r R , t t ref ) T o = ϑ ( r , t ) :
R 2 k ϱ c t ref ϑ t 2 ϑ r 2 + 2 r ϑ r = R 2 k 3 Q 4 π R 3 H [ 1 r ] , r > 0 ,
where H denotes the Heaviside function. Note that we have extended the outer domain to infinity, neglecting the influence of the boundary r = R e , just making use of the fact that R / R e 1 . The solutions that will be presented are meant to be the leading order approximations when terms of the order of R / R e are neglected. We identify t ref as the procedure duration, hence
t ref R 2 ϱ c k 1.75 × 10 2 s .
Thus, (3) entails (stationary state)
2 ϑ r 2 + 2 r ϑ r = 1 k 3 Q 4 π R H [ 1 r ]
We define
F ( r ) = 1 k 3 Q 4 π R H [ 1 r ] , ( r > 0 )
measured in Kelvin degrees. During stimulation, the power supplied is V 2 / Z , where V is the stimulation amplitude and Z is the impedance. Thus, keeping into account that the voltage is applied only during the time t s during each period, we have
F ( r ) = 1 k 3 4 π R V 2 Z t s t b H [ 1 r ] , ( r > 0 ) .
We may write Z = 1 / ( σ L ) , where σ is the medium electrical conductivity (measured in S m 1 , S=Siemens) and L can be taken as the side of a cubic box whose volume is equal to that of the sphere of radius R, i. e. L = ( 4 π / 3 ) 1 / 3 R . Consequently, we can rewrite (6) as
F ( r ) = G V 2 σ k t s t b H [ 1 r ] , ( r > 0 )
where
G = ( 3 / 4 π ) 2 / 3 0.385 .
The expression (7) of the source term emphasizes the role of the three parameters V , t s , t b settable by the operator and of the physical properties of the medium entering as the ratio σ / k , thus indicating that the two conductivities act in opposite ways.
Though the radius R has eventually disappeared from our main estimates, it is interesting to check that our guess ( R = 5 mm) was sensible. People working in the area of electrostimulation (see, e.g. [2]) normally take the empirical assumption that the resistive load offered to the generator is 300 Ω . So far we did not make any use of this information because it is too generic, but it can give a reasonable idea of the size of R, using R = ( 3 / 4 π ) 1 / 3 ( σ Z ) 1 . Setting now σ = 0.4 Sm 1 (as we shall see for the normal environment), and Z = 500 Ω , we get R 3 mm, which is of the same order of magnitude of our guess.
Taking into account the boundary and interface conditions for ϑ , the differential system to be solved for ϑ is
ϑ + 2 r ϑ = F ( r ) , r > 0 lim r + ϑ ( r ) = 1 , ϑ ( 0 ) = 0 ϑ r = 1 = ϑ r = 1 = 0 .
It can be easily checked that the solution writes
ϑ ( r ) = G 2 V 2 σ k t s t b 1 r 2 3 , 0 < r < 1 G 3 V 2 σ k t s t b 1 r , r 1
Notice that function ϑ is always 0 and takes its maximum for r = 0 . Using H , we can rewrite (10) as
ϑ ( r ) = G 2 V 2 σ t s t b 1 r 2 3 H [ 1 r ] + 2 3 r H [ r 1 ] .
Figure 3 and Figure 4 show how ϑ changes by changing the operational parameters, considering a reasonable range for σ (generally 0.4 but exceptionally up to 2 Sm 1 or more), k = 0.5 Wm 1   o K 1 , and the instrument operational intervals ( V ( 0.5 , 20 ) V, t s ( 1 , 20 ) ms, and t b ( 50 , 2000 ) ms).
Working with the temperature at the center may however be too heavy a condition, since the sphere of (dimensionless) radius r = 1 is more likely occupied by a liquid medium, the cellular tissue being more or less at the boundary of the ideal sphere in which we have confined the current. Therefore, a more interesting temperature seems to be the one calculated at r = 1 (see Figure 3 and Figure 4), namely, from (10),
ϑ ( 1 ) G 3 V 2 t s t b σ k .
It is reasonable to suppose that (12) provides the maximal temperature difference to which the tissue is exposed. Our goal now is to investigate the safety condition ϑ ( 1 ) δ , where a conservative value for δ could be 3 .

3. Safety Stimulating Conditions

Let us define
A ( V , t s , t b , σ , k ) = δ G 3 V 2 t s t b σ k ,
so that the safety condition becomes
A ( V , t s , t b , σ , k ) > 0 .
While the thermal conductivity k for biological tissues is more or less constant with typical value 0.5 Wm 1   o K 1 (with the exception of fat, see, e. g., [3]), the electrical conductivity σ is strongly affected by the pH of the ambient. We may first assume that the conductive medium filling the sphere of radius R is aqueous (e.g. saliva, as it happens in the esophagus). In that case, the paper [4] provides for σ values between 3.5 mScm 1 and 4.7 m S c m 1 . Passing to SI units ( 1 mScm 1 = 0.1 Sm 1 ), we take a typical value σ = 0.4 Sm 1 . Thus, for δ = 3 , the safety condition (14) is to be read
V 2 t s t b < 3 δ G k σ V 2 29 V 2 .
This result has to be examined in view of the range of the parameters V , t s , t b practically available on the devices employed.
If we set x = t b / t s , then condition (15) entails, approximately,
V < 5.4 x V ,
where x ( 2.5 , 2000 ) .
The interval of positiveness of the function A ( V , x , 0.4 , 0.5 ) identifies the safety ratio x = t b / t s for any given V , or, vice versa, the safe voltage V for any given ratio t b / t s . Figure 5 and Figure 6 show, respectively, the cases V = 20 V and x = 2.5 .
This result indicates that the procedure is feasible even with the largest stimulation amplitude ( V = 20 V ), but with a suitable control of the ratio t b / t s (for instance, if t b = 1 s then t s < 70 ms would be fine). According to (12), the adoption of the extreme values settable on the generator ( V = 20 V and x = 2.5 ) gives a maximal temperature increase of about 16 , which is far beyond criticality. Therefore it is not suggestible to set the generator parameters at their extreme values, though it would be sufficient, e. g., to keep the pulse duration t s sufficiently low.
A much worse scenario is offered when current flows in an acidic medium, like gastric juice. In the paper [4] the value of the gastric juice electrical conductivity was measured vs. pH and a typical value was found to be σ = 2 Sm 1 , i.e. 5 times larger than the one of saliva. Clearly, the safety condition is now more severe, namely V 2 t s / t b < 5.8 V 2 , thus (16) modifies (still approximately) to
V < 2.4 x V .
Figure 7 and Figure 8 refer to this case, showing that the range of admissible selectable parameters is severely reduced.
For instance the lower limit for x corresponding to V = 20 V raises to 68.5, which almost nullifies the therapeutic effect on the patient. In correspondence to x = 2.5 the constraint on V is V < 3.8 V , which is, in most cases, ineffective, making the procedure practically impossible. To have an idea on how to proceed in this case let us revert to the expression (12) of the critical temperature with σ = 2 Sm 1 , namely
ϑ ( 1 ) 0.51 V 2 t s t b ( ) .
With an effective value V = 10 V and requiring a maximum value for ϑ ( 1 ) of, say, 3 , the choice for the ratio t b / t s must be such that t b / t s > 17 , which is reasonable. Thus, still in this unfavorable situation there is a way to safely perform the procedure, but selecting the voltage and the time parameters with care. Taking the extreme values V = 20 V and x 1 = 0.4 would produce, in this case, a temperature increase greater than 80 , which is unbearable. The conclusion is that pulsed current stimulation of biological tissues is normally safe, but it may become critical in the presence of highly conductive (i.e. acidic) media. Stimulating at high voltage and with pulse duration close to the stimulation period requires that local pH value be previously checked and the ratio x suitably selected.
The safe operating condition A ( V , t s , t b ; σ ) > 0 can be viewed in a three dimensional setting. The two panels in Figure 9 show, respectively, the region where A < 0 (on the left) and three level sets of ϑ ( 1 ) (on the right) for σ = 0.4 when δ = 3 . Figure 10 shows the same features when σ = 2 Sm 1 .

4. Introducing the effect of blood perfusion

Blood circulation has a stabilizing effect on temperature. In the specific case, it helps removing heat from the interested region. This feature can be introduced in the model by modifying the source term P ( r ) in equation (1) as follows: P = P o = 3 Q / ( 4 π R 3 ) if 0 < r < R (unchanged) and P = ϱ b c b ω ( T T o ) (b=blood), for r > R , representing the heat removing rate. Clearly, ϱ blood c blood ω has dimension Wm 3   o K 1 and so ω has dimension s 1 . Indeed ω is the volume of blood crossing the unit volume of tissue in one second. For soft tissues we can take ω 3 × 10 3 s 1 or less (see [5,6,7]). Thus, the differential equation governing the temperature evolution is obviously the same, namely (1), but now (2) is replaced by
P ( r ˜ ) = 3 Q 4 π R 3 , if 0 < r ˜ < R , ϱ b c b R e 2 ω k , if R < r ˜ < R e .
Proceeding as in the Sect. Section 2, we first rescale r ˜ with R and t ˜ with t ref (see (4)), so to formulate again the problem in the steady state and in an unbounded domain. Finally, we introduce u ( r ) = r ϑ ( r ) so that the new system of differential equations to integrate is the following
u r = G V 2 σ k t s t b , 0 < r < 1 u = μ 2 u , r > 1 lim r + u r = 0 , u ( 0 ) = 0 u r = 1 = u r = 1 = 0 .
Here μ 2 = ϱ b c b R 2 ω / k (dimensionless). Recalling the estimate R 3 mm , k = 0.5 Wm 1   o K 1 , and that
ϱ b 10 3 kgm 3 , c b 3.6 × 10 3 Jkg 1   o K 1 ,
we obtain μ 2 0.1944 , i. e. μ 0.44 . The solution of system (19) in terms of ϑ ( r ) writes as follows
ϑ ( r , μ ) = 1 6 G V 2 σ k t s t b μ + 3 μ + 1 r 2 r ( 0 , 1 ) 1 3 G V 2 σ k t s t b exp [ μ ( 1 r ) ] r ( μ + 1 ) , r > 1 .
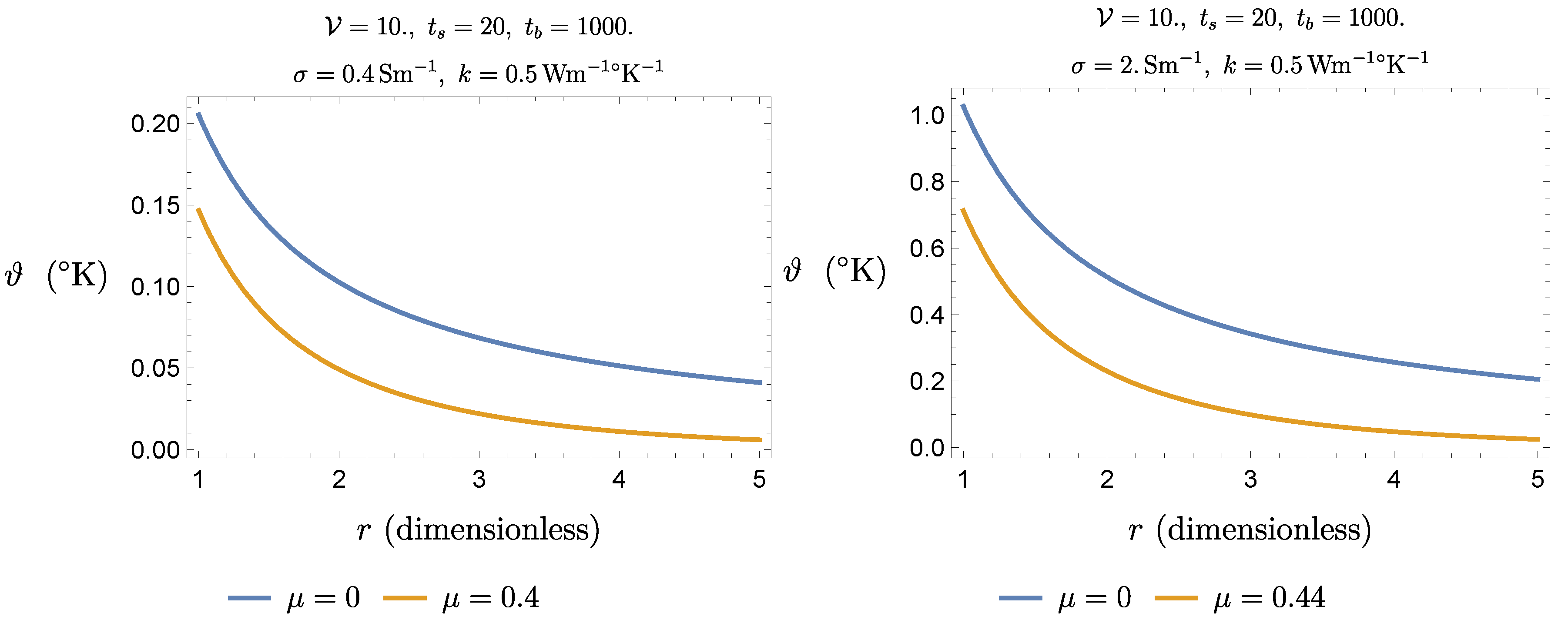
Figure 11 shows that blood perfusion entails a significant reduction of the thermal fields given by (10). It is worth noting that if μ tends to zero the no-perfusion solution is retrieved.
Let us analyze the influence of perfusion on the safety conditions. From (20) we get
ϑ ( 1 , μ ) = G 3 V 2 σ k t s t b 1 μ + 1
which clearly emphasizes the influence of perfusion: the corresponding relative change as a function or r is
R ( r ) = ϑ ( r , 0 ) ϑ ( r , μ ) ϑ ( r , 0 ) ,
hence R ( 1 ) = 0.3 (see Figure 12).
Accordingly, the safety condition (15) changes as follows
G 3 σ k V 2 t s t b 1 μ + 1 < δ ,
which, for δ = 3 , σ = 0.4 Sm 1 , k = 0.5 Wm 1   o K 1 , and μ = 0.44 entails
V < 6.46 x V ,
showing some improvement with respect to the no-perfusion case. For instance, for V = 20 V this implies x > 9.6 , allowing e.g. to increase t s to 104 ms when t b = 1 s . Similarly, for σ = 2 Sm 1 we require
V < 2.94 x V ,
with a certain improvement with respect to the corresponding condition (16).
In addition to safety conditions it is reasonable to add some efficacy condition, because if V is too small or x is too large the treatment may not be effective. Thus, we impose the constraints V > V inf and x < x sup (for instance V inf = 8 V , x sup = 200 ) and possibly also the lower limit t s > 20 ms . In view of these requirements, the suggestible parameters range are further reduced. Figure 13 shows the no-efficacy region when the above conditions are imposed for the respective cases σ = 0.4 Sm 1 , σ = 2 Sm 1 .

5. Conclusions

We have formulated a mathematical model to predict the temperature increase caused by the application of a pulsating current in a body compartment, supplied in situ by a bipolar device. This issue is important in view of the fact that cells can die when exposed to temperatures of 41 42   C for long time. The main finding is that local acidity is a crucial quantity. Lowering pH (e.g. for a gastric reflux) may raise electrical conductivity to such a point to make the treatment dangerous if the stimulating parameters are not selected with care. We computed the safety ranges for amplitude, duration, period of the voltage pulses in correspondence to normal pH and to low pH, based on the data provided by the literature.

Author Contributions

Angiolo Farina, Antonio Fasano and Fabio Rosso performed the formal analysis; the investigation; the validation procedure and the writing-review process. Antonio Fasano developed the conceptual model. Fabio Rosso developed the software.

Funding

N/A.

Conflicts of Interest

The authors declare that they have no competing interests or other interests that might be perceived to influence the results and/or discussion reported in this paper.

Institutional Review Board Statement

Compliance with ethical standards.

Data Availability Statement

Not Applicable (this manuscript does not report data generation or analysis).

References

  1. Fasano, A.; Sequeira, A. Hemomath: The Mathematics of Blood; MS&A, volume 18, Springer: Cham, Switzerland, 2017. [Google Scholar]
  2. Fish, R.M.; Geddes, L.A. Conduction of electrical current to and through the human body: a review. Eplasty 2009, 9. [Google Scholar]
  3. Bianchi, L.; Cavarzan, F.; Ciampitti, L.; Cremonesi, M.; Grilli, F.; Saccomandi, P. Thermophysical and mechanical properties of biological tissues as a function of temperature: a systematic literature review. International Journal of Hyperthermia 2022, 39, 297–340. [Google Scholar] [PubMed]
  4. Watson, S.J.; Smallwood, R.H.; Brown, B.H.; Cherian, P.; Bardhan, K.D. Determination of the relationship between the pH and conductivity of gastric juice. Physiological measurement 1996, 17, 21. [Google Scholar] [CrossRef] [PubMed]
  5. Holmes, K.R. Thermal conductivities of selected tissues. In Biotransport: Heat and Mass Transfer in Selected Tissues; Diller, K.R., Ed.; New York Academy of Sciences: NY, 1998; pp. 18–19. [Google Scholar]
  6. Ricketts, P.L.; Mudaliar, A.V.; Ellis, B.E.; Pullins, C.A.; Meyers, L.A.; Lanz, O.I.; Scott, E.P.; Diller, T.E. Non-invasive blood perfusion measurements using a combined temperature and heat flux surface probe. International journal of heat and mass transfer 2008, 51, 5740–5748. [Google Scholar] [CrossRef] [PubMed]
  7. Sharp, P. The measurement of blood flow in humans using radioactive tracers. Physiological Measurement 1994, 15, 339. [Google Scholar] [CrossRef] [PubMed]
Figure 2. Area of action of the apparatus (the two radii are not in scale for visualization purpose).
Figure 2. Area of action of the apparatus (the two radii are not in scale for visualization purpose).
Preprints 115614 g002
Figure 3. Function ϑ ( r ) for t b / t s = 10 , σ = 0.4 Sm 1 , k = 0.5 Wm 1   o K 1 , and varying V between 0.5 V and 20 V. The clinically interesting region occurs for r > 1 .
Figure 3. Function ϑ ( r ) for t b / t s = 10 , σ = 0.4 Sm 1 , k = 0.5 Wm 1   o K 1 , and varying V between 0.5 V and 20 V. The clinically interesting region occurs for r > 1 .
Preprints 115614 g003
Figure 4. Function ϑ ( r ) for V = 10 V, σ = 0.4 Sm 1 , k = 0.5 Wm 1   o K 1 , and varying t b / t s between 5 and 50. The clinically interesting region occurs for r > 1 .
Figure 4. Function ϑ ( r ) for V = 10 V, σ = 0.4 Sm 1 , k = 0.5 Wm 1   o K 1 , and varying t b / t s between 5 and 50. The clinically interesting region occurs for r > 1 .
Preprints 115614 g004
Figure 5. Critical choice of x = t b / t s when V = 20 V (worst case) and σ = 0.4 Sm 1 , k = 0.5 Wm 1   o K 1 . Safety requires to maintain x > 13.7 .
Figure 5. Critical choice of x = t b / t s when V = 20 V (worst case) and σ = 0.4 Sm 1 , k = 0.5 Wm 1   o K 1 . Safety requires to maintain x > 13.7 .
Preprints 115614 g005
Figure 6. Critical voltage V when t b / t s = 2.5 (worst case) and and σ = 0.4 Sm 1 , k = 0.5 Wm 1   o K 1 . Safety requires to maintain V < 8.5 V.
Figure 6. Critical voltage V when t b / t s = 2.5 (worst case) and and σ = 0.4 Sm 1 , k = 0.5 Wm 1   o K 1 . Safety requires to maintain V < 8.5 V.
Preprints 115614 g006
Figure 7. The safety operating time ratio x = t b / t s for σ = 2 Sm 1 and V = 20 V corresponds to x > 68.5 .
Figure 7. The safety operating time ratio x = t b / t s for σ = 2 Sm 1 and V = 20 V corresponds to x > 68.5 .
Preprints 115614 g007
Figure 8. The safety operating voltage for σ = 2 Sm 1 and x = 2.5 corresponds to V < 3.8 V .
Figure 8. The safety operating voltage for σ = 2 Sm 1 and x = 2.5 corresponds to V < 3.8 V .
Preprints 115614 g008
Figure 9. Three-dimensional representation of the forbidden region where A is negative (on the right panel) and three level sets of ϑ ( 1 ) (on the left panel), when σ = 0.4 Sm 1 .
Figure 9. Three-dimensional representation of the forbidden region where A is negative (on the right panel) and three level sets of ϑ ( 1 ) (on the left panel), when σ = 0.4 Sm 1 .
Preprints 115614 g009
Figure 10. Three-dimensional representation of the forbidden region where A is negative (on the right panel) and three level sets of ϑ ( 1 ) (on the left panel), when σ = 2 Sm 1 .
Figure 10. Three-dimensional representation of the forbidden region where A is negative (on the right panel) and three level sets of ϑ ( 1 ) (on the left panel), when σ = 2 Sm 1 .
Preprints 115614 g010
Figure 11. The effect of heat removal due to blood perfusion compared with the case in which perfusion in not taken into account.
Figure 11. The effect of heat removal due to blood perfusion compared with the case in which perfusion in not taken into account.
Preprints 115614 g011
Figure 12. Function R ( r ) shows the efficiency of perfusion in the area of interest.
Figure 12. Function R ( r ) shows the efficiency of perfusion in the area of interest.
Preprints 115614 g012
Figure 13. Three-dimensional representation of the region of settable parameters which, although larger than the unsafe one shown In the lest panels of Figure 9 and Figure 10 (and so containing safe values of the parameters), has no efficacy from the therapeutic point of view. On the left side the case σ = 0.4 Sm 1 , on the right side the case σ = 2 Sm 1 .
Figure 13. Three-dimensional representation of the region of settable parameters which, although larger than the unsafe one shown In the lest panels of Figure 9 and Figure 10 (and so containing safe values of the parameters), has no efficacy from the therapeutic point of view. On the left side the case σ = 0.4 Sm 1 , on the right side the case σ = 2 Sm 1 .
Preprints 115614 g013
Disclaimer/Publisher’s Note: The statements, opinions and data contained in all publications are solely those of the individual author(s) and contributor(s) and not of MDPI and/or the editor(s). MDPI and/or the editor(s) disclaim responsibility for any injury to people or property resulting from any ideas, methods, instructions or products referred to in the content.
Copyright: This open access article is published under a Creative Commons CC BY 4.0 license, which permit the free download, distribution, and reuse, provided that the author and preprint are cited in any reuse.
Prerpints.org logo

Preprints.org is a free preprint server supported by MDPI in Basel, Switzerland.

Subscribe

Disclaimer

Terms of Use

Privacy Policy

Privacy Settings

© 2026 MDPI (Basel, Switzerland) unless otherwise stated