Submitted:
15 August 2024
Posted:
19 August 2024
You are already at the latest version
Abstract
Keywords:
1. .Introduction
2. Materials and Methods
2.1. Plant Material
2.2. Experimental Setup and Glasshouse Conditions
2.3. Number of Leaves and Leaf Chlorosis Rating
2.4. Shoot Growth
2.5. Microbial Plate Counts
2.6. Analysis of Diesel Content in Potting Mix
2.6.1. Ultrasonic Extraction (Method 3550C in [25])
2.6.2. Total Petroleum Hydrocarbon (TPH) Analysis
2.7. Statistical Analyses
3. Results
3.1. In vitro Selected Versus Control Petunia grandiflora Lines
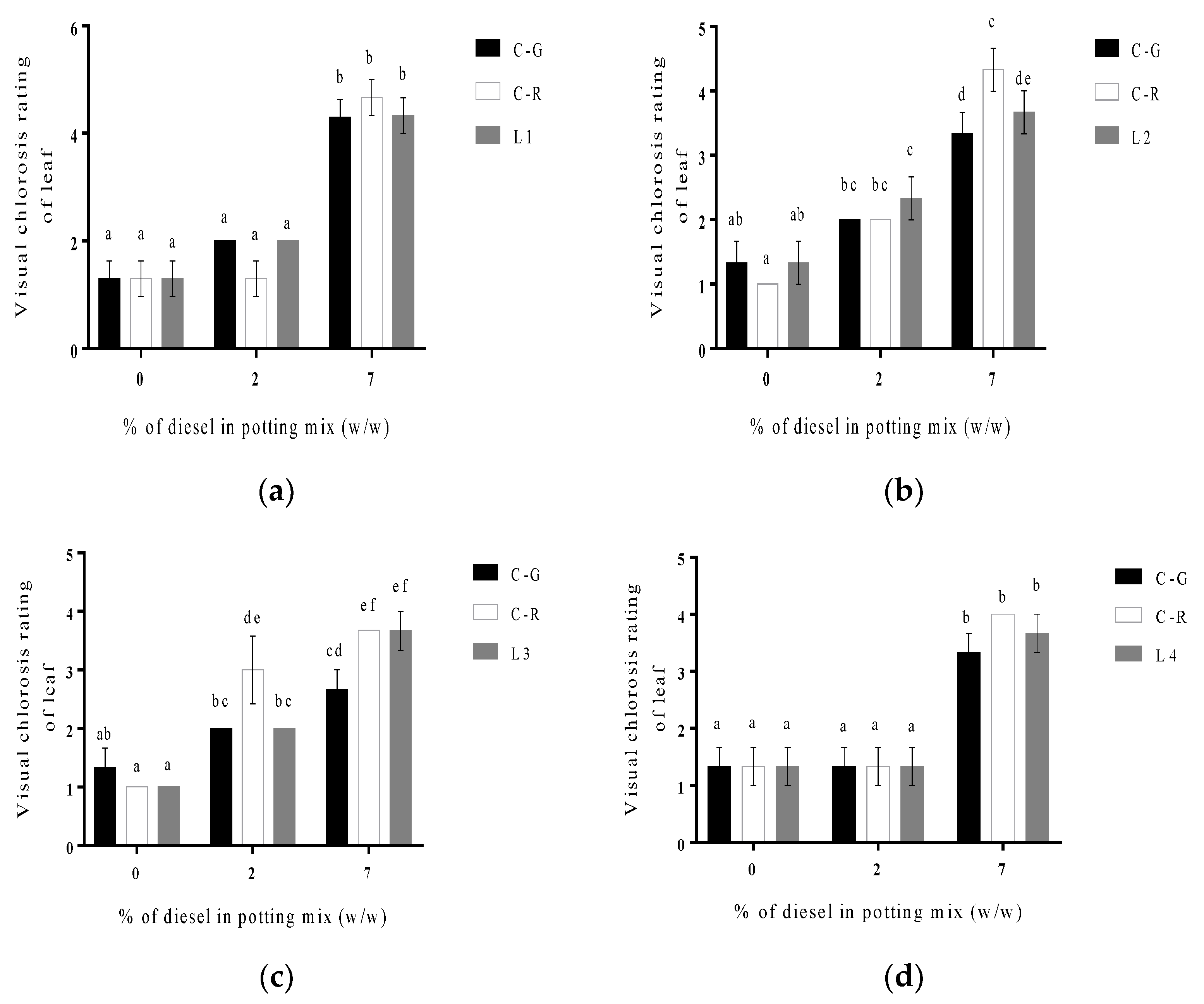
3.1.1. Line L1
3.1.2. Line L2
3.1.3. Line L3
3.1.4. Line L4
3.2. Total Microbial Plate Count
3.3. Total Petroleum Hydrocarbon Analyses
4. Discussion
Funding
Author contributions
Data Availability Statement
Conflicts of Interest
References
- Zheng, L., Rosenzweig, R., Chen, F., Qin, J., Li, T., Han, J., Istvan, P., Diaz-Reck, D., Gelman, F., & Arye, G. (2022). Bioremediation of Petroleum-Contaminated Soils with Biosurfactant-Producing Degraders Isolated from the Native Desert Soils. Microorganisms, 10(11), 2267. [CrossRef]
- Ceccanti, B., Masciandaro, G., Garcia, C., Macci, C., & Doni, S. (2006). Soil bioremediation: combination of earthworms and compost for the ecological remediation of a hydrocarbon polluted soil. Water, Air, and Soil Pollution, 177, 383-397. [CrossRef]
- Mitter, E. K., Germida, J. J., & de Freitas, J. R. (2021). Impact of diesel and biodiesel contamination on soil microbial community activity and structure. Scientific reports, 11(1), 1-14. [CrossRef]
- Wante, S. P., & Leung, D. W. (2022). Influence of toxic diesel fuel on Petunia grandiflora calli and after plant regeneration. 3 Biotech, 12(9), 1-10. [CrossRef]
- Jagtap, S. S., Woo, S. M., Kim, T.-S., Dhiman, S. S., Kim, D., & Lee, J.-K. (2014). Phytoremediation of diesel-contaminated soil and saccharification of the resulting biomass. Fuel, 116, 292-298. [CrossRef]
- Palmroth, M. R. T., Pichtel, J., & Puhakka, J. A. (2002). Phytoremediation of subarctic soil contaminated with diesel fuel. Bioresource Technology, 84(3), 221-228. [CrossRef]
- Pittarello, M., Busato, J. G., Carletti, P., & Dobbss, L. B. (2017). Possible developments for ex situ phytoremediation of contaminated sediments, in tropical and subtropical regions–Review. Chemosphere, 182, 707-719. [CrossRef]
- Eze, M. O., Thiel, V., Hose, G. C., George, S. C., & Daniel, R. (2022). Bacteria-plant interactions synergistically enhance biodegradation of diesel fuel hydrocarbons. Communications Earth & Environment, 3(1), 1-10. [CrossRef]
- Shahsavari, E., Adetutu, E. M., Anderson, P. A., & Ball, A. S. (2013). Tolerance of selected plant species to petrogenic hydrocarbons and effect of plant rhizosphere on the microbial removal of hydrocarbons in contaminated soil. Water, Air, & Soil Pollution, 224(4), 1-14. [CrossRef]
- Sun, Y., Zhou, Q., Xu, Y., Wang, L., & Liang, X. (2011). Phytoremediation for co-contaminated soils of benzo [a] pyrene (B [a] P) and heavy metals using ornamental plant Tagetes patula. Journal of Hazardous Materials, 186(2-3), 2075-2082. [CrossRef]
- Peng, S., Zhou, Q., Cai, Z., & Zhang, Z. (2009). Phytoremediation of petroleum contaminated soils by Mirabilis Jalapa L. in a greenhouse plot experiment. Journal of Hazardous Materials, 168(2-3), 1490-1496. [CrossRef]
- Xiao, N., Liu, R., Jin, C., & Dai, Y. (2015). Efficiency of five ornamental plant species in the phytoremediation of polycyclic aromatic hydrocarbon (PAH)-contaminated soil. Ecological Engineering, 75, 384-391. [CrossRef]
- Ikeura, H., Kawasaki, Y., Kaimi, E., Nishiwaki, J., Noborio, K., & Tamaki, M. (2016). Screening of plants for phytoremediation of oil-contaminated soil. International Journal of Phytoremediation, 18(5), 460-466. [CrossRef]
- Liu, J., Wang, Y., Wang, M., Feng, X., Liu, R., Xue, Z., & Zhou, Q. (2023). Improving the uptake of PAHs by the ornamental plant Sedum spectabile using nano-SiO2 and nano-CeO2. Science of The Total Environment, 870, 161808. [CrossRef]
- Panwar, R., & Mathur, J. (2023). Comparative analysis of remediation efficiency and ultrastructural translocalization of polycyclic aromatic hydrocarbons in Medicago sativa, Helianthus annuus, and Tagetes erecta. International Journal of Phytoremediation, 1-19.
- Wante, S. P., & Leung, D. W. M. (2018). Phytotoxicity testing of diesel-contaminated water using Petunia grandiflora Juss. Mix F1 and Marigold-Nemo Mix (Tagetes patula L.). Environmental Monitoring and Assessment, 190(7), 408.
- Liu, J., Xin, X., & Zhou, Q. (2017). Phytoremediation of contaminated soils using ornamental plants. Environmental Reviews(999), 1-12.
- Lin, Y., & Jones, M. L. (2022). Evaluating the growth-promoting effects of microbial biostimulants on greenhouse floriculture crops. HortScience, 57(1), 97-109. [CrossRef]
- Phillips, L. A., Greer, C. W., & Germida, J. J. (2006). Culture-based and culture-independent assessment of the impact of mixed and single plant treatments on rhizosphere microbial communities in hydrocarbon-contaminated flare-pit soil. Soil Biology and Biochemistry, 38(9), 2823-2833. [CrossRef]
- Pilon-Smits, E. (2005). Phytoremediation. Annual Review of Plant Biology, 56, 15-39.
- Scheres, B., & Van Der Putten, W. H. (2017). The plant perceptron connects environment to development. Nature, 543(7645), 337-345. [CrossRef]
- ShirzadianGilan, R., Parvizi, Y., Pazira, E., & Rejali, F. (2023). Remediation capacity of drought-tolerant plants and bacteria in petroleum hydrocarbon-contaminated soil in Iran. South African Journal of Botany, 153, 1-10. [CrossRef]
- Başar, H. (2003). Analytical methods for evaluating iron chlorosis in peach trees. Communications in Soil Science and Plant Analysis, 34(3-4), 327-341. [CrossRef]
- Euliss, K., Ho, C.-h., Schwab, A. P., Rock, S., & Banks, M. K. (2008). Greenhouse and field assessment of phytoremediation for petroleum contaminants in a riparian zone. Bioresource Technology, 99(6), 1961-1971. [CrossRef]
- USEPA. (2007, January 30, 2017). Method 3550C: Ultrasonic Extraction, part of Test Methods for Evaluating Solid Waste, Physical/Chemical Method. United State government. Retrieved 25, May 2020.
- Hell, R. (2003). Transgenic plants and crops. Journal of Plant Physiology, 160(6), 718.
- Drizou, F., Graham, N. S., Bruce, T. J., & Ray, R. V. (2017). Development of high-throughput methods to screen disease caused by Rhizoctonia solani AG 2-1 in oilseed rape. Plant Methods, 13, 1-14. [CrossRef]
- Liu, R., Jadeja, R. N., Zhou, Q., & Liu, Z. (2012). Treatment and remediation of petroleum-contaminated soils using selective ornamental plants. Environmental Engineering Science, 29(6), 494-501. [CrossRef]
- Meng, Z., Duan, A., Chen, D., Dassanayake, K. B., Wang, X., Liu, Z., Liu, H., & Gao, S. (2017). Suitable indicators using stem diameter variation-derived indices to monitor the water status of greenhouse tomato plants. PloS one, 12(2), e0171423. [CrossRef]
- Santala, K. R., & Ryser, P. (2009). Influence of heavy-metal contamination on plant response to water availability in white birch, Betula papyrifera. Environmental and Experimental Botany, 66(2), 334-340. [CrossRef]
- Allan, I. J., Semple, K. T., Hare, R., & Reid, B. J. (2007). Cyclodextrin enhanced biodegradation of polycyclic aromatic hydrocarbons and phenols in contaminated soil slurries. Environmental Science & Technology, 41(15), 5498-5504. [CrossRef]
- Thavamani, P., Megharaj, M., & Naidu, R. (2012). Multivariate analysis of mixed contaminants (PAHs and heavy metals) at manufactured gas plant site soils. Environmental Monitoring and Assessment, 184(6), 3875-3885. [CrossRef]
- Rucińska-Sobkowiak, R., Nowaczyk, G., Krzesłowska, M., Rabęda, I., & Jurga, S. (2013). Water status and water diffusion transport in lupine roots exposed to lead. Environmental and Experimental Botany, 87, 100-109. [CrossRef]
- Henzler, T., Ye, Q., & Steudle, E. (2004). Oxidative gating of water channels (aquaporins) in Chara by hydroxyl radicals. Plant, Cell & Environment, 27(9), 1184-1195. [CrossRef]
- Rucińska-Sobkowiak, R. (2016). Water relations in plants subjected to heavy metal stresses. Acta Physiologiae Plantarum, 38(11), 257. [CrossRef]
- De Filippis, L. F., & Ziegler, H. (1993). Effect of sublethal concentrations of zinc, cadmium and mercury on the photosynthetic carbon reduction cycle of Euglena. Journal of Plant Physiology, 142(2), 167-172. [CrossRef]
- Burritt, D. J. (2008). The polycyclic aromatic hydrocarbon phenanthrene causes oxidative stress and alters polyamine metabolism in the aquatic liverwort Riccia fluitans L. Plant, Cell & Environment, 31(10), 1416-1431. [CrossRef]
- Alkio, M., Tabuchi, T. M., Wang, X., & Colon-Carmona, A. (2005). Stress responses to polycyclic aromatic hydrocarbons in Arabidopsis include growth inhibition and hypersensitive response-like symptoms. Journal of Experimental Botany, 56(421), 2983-2994. [CrossRef]
- Osuagwu, A. N., Okigbo, A. U., Ekpo, I. A., Chukwurah, P. N., & Agbor, R. B. (2013). Effect of crude oil pollution on growth parameters, chlorophyll content and bulbils yield in air potato (Dioscorea bulbifera L.). International Journal of Applied, 3(4), 37-42.
- Lamb, C., & Dixon, R. A. (1997). The oxidative burst in plant disease resistance. Annual Review of Plant Biology, 48(1), 251-275. [CrossRef]
- Mellersh, D. G., & Heath, M. C. (2001). Plasma membrane–cell wall adhesion is required for expression of plant defense responses during fungal penetration. The Plant Cell, 13(2), 413-424.
- Fernández, V., Eichert, T., Del Río, V., López-Casado, G., Heredia-Guerrero, J. A., Abadía, A., Heredia, A., & Abadía, J. (2008). Leaf structural changes associated with iron deficiency chlorosis in field-grown pear and peach: physiological implications. Plant and Soil, 311(1-2), 161. [CrossRef]
- Larbi, A., Abadía, A., Abadía, J., & Morales, F. (2006). Down co-regulation of light absorption, photochemistry, and carboxylation in Fe-deficient plants growing in different environments. Photosynthesis Research, 89(2-3), 113-126. [CrossRef]
- Redondo-Gómez, S., Petenello, M. C., & Feldman, S. R. (2014). Growth, nutrient status, and photosynthetic response to diesel-contaminated soil of a cordgrass, Spartina argentinensis. Marine Pollution Bulletin, 79(1-2), 34-38. [CrossRef]
- Pien, S., Wyrzykowska, J., McQueen-Mason, S., Smart, C., & Fleming, A. (2001). Local expression of expansin induces the entire process of leaf development and modifies leaf shape. Proceedings of the National Academy of Sciences, 98(20), 11812-11817. [CrossRef]
- Balliana, A. G., Moura, B. B., Inckot, R. C., & Bona, C. (2017). Development of Canavalia ensiformis in soil contaminated with diesel oil. Environmental Science and Pollution Research, 24(1), 979-986. [CrossRef]
- Thomma, B. P. H. J., Eggermont, K., Penninckx, I. A. M. A., Mauch-Mani, B., Vogelsang, R., Cammue, B. P. A., & Broekaert, W. F. (1998). Separate jasmonate-dependent and salicylate-dependent defense-response pathways in Arabidopsis are essential for resistance to distinct microbial pathogens. Proceedings of the National Academy of Sciences, 95(25), 15107-15111. [CrossRef]
- Hou, F. S. L., Milke, M. W., Leung, D. W. M., & MacPherson, D. J. (2001). Variations in phytoremediation performance with diesel-contaminated soil. Environmental Technology, 22(2), 215-222. [CrossRef]
- Hernández-Ortega, H. A., Alarcón, A., Ferrera-Cerrato, R., Zavaleta-Mancera, H. A., López-Delgado, H. A., & Mendoza-López, M. R. (2012). Arbuscular mycorrhizal fungi on growth, nutrient status, and total antioxidant activity of Melilotus albus during phytoremediation of a diesel-contaminated substrate. Journal of Environmental Management, 95, S319-S324. [CrossRef]
- Hutchinson, S. L., Schwab, A. P., & Banks, M. K. (2003). Biodegradation of petroleum hydrocarbons in the rhizosphere. In S. C. McCutcheon & J. L. Schnoor (Eds.), Phytoremediation: transformation and control of contaminants (pp. 355-386). John Wiley & Sons, Incoporation.
- Gaffney, T., Friedrich, L., Vernooij, B., Negrotto, D., Nye, G., Uknes, S., Ward, E., Kessmann, H., & Ryals, J. (1993). Requirement of salicylic acid for the induction of systemic acquired resistance. Science, 261(5122), 754-756. [CrossRef]
- Kamath, R., Schnoor, J. L., & Alvarez, P. J. J. (2004). Effect of root-derived substrates on the expression of nah-lux genes in Pseudomonas fluorescens HK44: implications for PAH biodegradation in the rhizosphere. Environmental Science & Technology, 38(6), 1740-1745.
- Graber, E. R., Harel, Y. M., Kolton, M., Cytryn, E., Silber, A., David, D. R., Tsechansky, L., Borenshtein, M., & Elad, Y. (2010). Biochar impact on development and productivity of pepper and tomato grown in fertigated soilless media. Plant and Soil, 337(1-2), 481-496. [CrossRef]
- Koohakan, P., Ikeda, H., Jeanaksorn, T., Tojo, M., Kusakari, S.-I., Okada, K., & Sato, S. (2004). Evaluation of the indigenous microorganisms in soilless culture: occurrence and quantitative characteristics in the different growing systems. Scientia Horticulturae, 101(1-2), 179-188. [CrossRef]





![]() |
![]() |
Disclaimer/Publisher’s Note: The statements, opinions and data contained in all publications are solely those of the individual author(s) and contributor(s) and not of MDPI and/or the editor(s). MDPI and/or the editor(s) disclaim responsibility for any injury to people or property resulting from any ideas, methods, instructions or products referred to in the content. |
© 2024 by the authors. Licensee MDPI, Basel, Switzerland. This article is an open access article distributed under the terms and conditions of the Creative Commons Attribution (CC BY) license (http://creativecommons.org/licenses/by/4.0/).


