Submitted:
15 August 2024
Posted:
16 August 2024
You are already at the latest version
Abstract
Keywords:
1. Introduction
2. Materials and Methods
2.1. Coatings’ Deposition
2.2. Coatings’ Characerization
3. Results
3.1. Surface Characterization
3.2. X-ray Diffrraction Analysis
3.3. Corrosion Resistance
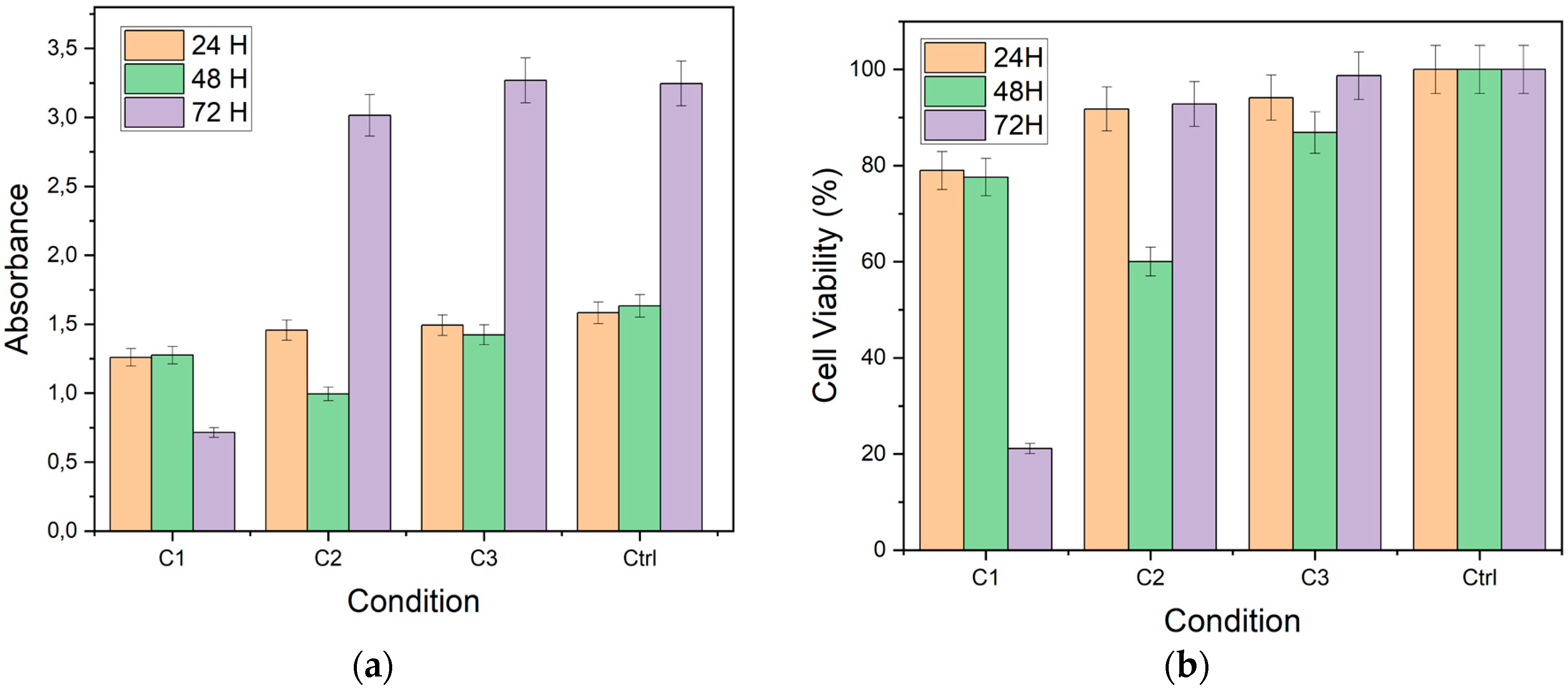
3.4. Biocompatibility
4. Conclusions
Author Contributions
Funding
Data Availability Statement
Conflicts of Interest
References
- Basu, B.; Katti, D.S.; Kumar, A. Advanced Biomaterials: fundamentals, processing and applications; John Wiley & Sons, Publisher location, country, 2010; pp. 768.
- Caballero Sarmiento, J.; Correa Muñoz, E.; Estupiñan Duran, H. Análisis de la biocompatibilidad de Ti6Al4V y acero inoxidable 316LVM basado en efectos de pH, aplicando criterios de la norma ASTMF2129. Ingeniare Revista Chilena de Ingeniería 2017, 25(1), 95-105. [CrossRef]
- Bordi, K.; Jouzeau, J.Y.; Mainard, D.; Payan, E.; Netter, P.; Rie, K.T.; Stucky, T.; Hage-Ali, M. Cytocompatibility of Ti-6Al-4V and Ti-5Al-2.5 Fe alloys according to three surface treatments, using human fibroblasts and osteoblasts. Biomaterials 1996, 17(9), 929-940. [CrossRef]
- Guden, M.; Celik, E.; Akar, E.; Cetiner, S. Compression testing of a sintered Ti6Al4V powder compact for biomedical applications. Materials Characterization 2005, 54(4-5), 399-408. [CrossRef]
- Niinomi, M. Mechanical biocompatibilities of titanium alloys for biomedical applications. Journal of the mechanical behavior of biomedical materials 2008, 1(1), 30-42. [CrossRef]
- Zhou, Y.L.; Niinomi, M.; Akahori, T.; Fukui, H.; Toda, H. Corrosion resistance and biocompatibility of Ti-Ta alloys for biomedical applications. Materials Science & Engineering A 2005, 398, 28-36. [CrossRef]
- Fasasi, A.Y.; Mwenifumbo, S.; Rahbar, N.; Chen, J.; Li, M.; Beye, A.C.; Arnold, C.B.; Soboyejo, W.O. Nano-second UV laser processed micro-grooves on Ti6Al4V for biomedical applications. Materials Science and Engineering C 2009, 29, 5-13. [CrossRef]
- Disegi, J.A. Titanium alloys for fracture fixation implants. Injury 2000, 31(4), D14-D17. [CrossRef]
- Gaona Latorre, M. Recubrimientos biocompatibles obtenidos por proyección térmica y estudio in vitro de la función osteoblástica. PhD thesis, Universitat de Barcelona, Barcelona – España, June 2007. http://hdl.handle.net/2445/36451.
- Fernández, J.; Gilemany, J.M.; Gaona, M. La proyección térmica en la obtención de recubrimientos biocompatibles ventajas de la proyección térmica por alta velocidad (HVOF) sobre la proyección térmica por plasma atmosférico (APS). Biomecánica 2005, 13(1), 16-39. [CrossRef]
- Costa, B.C.; Tokuhara, C.K.; Rocha, L.A.; Oliveira, R.C.; Lisboa-Filho, P.N.; Pessoa, J.C. Vanadium ionic species forom degradation of Ti-6Al-4V metallic implants: In vitro cytotoxicity and speciation evaluation. Mater. Sci. Eng. C 2019, 96, 730-739. [CrossRef]
- Catalani, S.; Stea, S.; Beraudi, A.; Gilberti, M.E.; Bordini, B.; Toni, A.; Apostoli, P. Vanadium reléase in whole blood, serum and urine of patients implanted with a titanium alloy hip prosthesis. Clinical Toxicology 2013, 51(7), 550-556. [CrossRef]
- Frías, A. Y. A.; Rodil-Posada, S. E.; Depablos-Rivera, O.; Navarro, C. H.; Gómez, K. A. C.; Bustos, E. G. Caracterización de recubrimientos de TiN mediante pulverización catódica con magnetrón (characterization of TiN coatings by magnetron sputtering). Pistas Educativas 2020, 42(136), 206-214.
- Garzón, A.; Aguirre, N.; Olaya J. Estado del arte en biocompatibilidad de recubrimientos (biocompatibility of coatings: survey paper). Visión Electrónica 2013, 7(1), 160-177.
- Valencia, C.R. Recubrimientos biomiméticos y bioactivos. Procesamiento y esudio de su biocompatibilidad in vitro. PhD thesis, Universidade de Vigo, España, 2016.
- Fernandez, P.C. Producción de material híbrido de óxidos de renio, cobre y nanotubos de carbono para la electrólisis del agua. Undergraduate thesis, Universidad de Chile, Chile, 2017.
- ASTM G5-14. Standard reference test method for making potentiostatic and potentiodynamic anodic polarization measurements. 2014, ASTM International, West Conshohocken, PA.
- Panjan, P.; Drnovsek, A.; Gselman, P.; Cekada, M.; Panjan, M. Review of growth defects in thin films prepared by PVD techniques Coatings 2020, 10(5), 447. [CrossRef]
- Gittens, R. A.; McLachlan, T.; Olivares-Navarrete, R.; Cai, Y.; Berner, S.; Tannenbaum, R.; Boyan, B. D. The effects of combined micron-/submicron-scale surface roughness and nanoscale features on cell proliferation and differentiation. Biomaterials 2011, 32(13), 3395-3403. [CrossRef]
- Majhy, B.; Priyadarshini, P.; Sen, A. K. Effect of surface energy and roughness on cell adhesion and growth–facile surface modification for enhanced cell culture. RSC Advances 2021, 11(25), 15467-15476. [CrossRef]
- Schwartz, Z.; Martin, J. Y.; Dean, D. D.; Simpson, J.; Cochran, D. L.; Boyan, B. D. Effect of titanium surface roughness on chondrocyte proliferation, matrix production, and differentiation depends on the state of cell maturation. Journal of Biomedical Materials Research: An Official Journal of The Society for Biomaterials and The Japanese Society for Biomaterials 1996, 30(2), 145-155. [CrossRef]




| Notation | Surface preparation | Roughness (µm) |
|---|---|---|
| C1 | 2000 grit SiC paper | 0.102 |
| C2 | Mirror-like polish | 0.035 |
| Target | Deposition time (seconds) | DC Power (watts) |
|---|---|---|
| Molybdenum1 | 3600 | 70 |
| Rhenium | 7200 | 60 |
| Graphite | 7200 | 15 |
| Element | Weight % | Atomic % |
|---|---|---|
| Carbon K | 2.22 | 8.07 |
| Aluminum K | 4.65 | 7.51 |
| Titanium K | 87.05 | 79.25 |
| Vanadium K | 5.57 | 4.77 |
| Element | Weight % | Atomic % |
|---|---|---|
| Carbon K | 4.52 | 32.51 |
| Oxygen K | 4.16 | 22.49 |
| Titanium K | 1.29 | 2.32 |
| Molybdenum L | 2.01 | 1.82 |
| Rhenium M | 88.02 | 40.87 |
| Sample | Ecorr (mV) | Jcorr (A/cm2) | Corrosion rate (mpy) |
|---|---|---|---|
| Ti6Al4V substrate | 144.6 | 11.31×10-6 | 3.922 |
| C1 | -170.7 | 22.68×10-6 | 7.866 |
| C2 | -148.3 | 15.53×10-6 | 5.384 |
Disclaimer/Publisher’s Note: The statements, opinions and data contained in all publications are solely those of the individual author(s) and contributor(s) and not of MDPI and/or the editor(s). MDPI and/or the editor(s) disclaim responsibility for any injury to people or property resulting from any ideas, methods, instructions or products referred to in the content. |
© 2024 by the authors. Licensee MDPI, Basel, Switzerland. This article is an open access article distributed under the terms and conditions of the Creative Commons Attribution (CC BY) license (http://creativecommons.org/licenses/by/4.0/).