Submitted:
12 August 2024
Posted:
13 August 2024
You are already at the latest version
Abstract
Keywords:
1. Introduction
2. Materials and Methods
- Combustion Cars: Mercedes Vito (2020), Renault Kangoo (2022), Peugeot 2008 (2021), 208 (2020), 308 (2023), VW Polo (2019), Citroen C3 (2022), Skoda Fabia (2019).
- Electric Cars: Specific models include Tesla Model 3 (2021) and Nissan Leaf (2020).
- Drone: Hybrid drone from Jedsy.ch with glider technology for maximal efficiency, transitioning to a hover mode for landing. (Table 1)
| Aircraft type | Unmanned electric aircraft, capable of vertical takeoff and landing (eVTOL) and fixed-wing flight. x |
| Dimensions | 35 x 290 x 240 cm [H x W x L] |
| Weight | 18 Kg empty incl. batteries |
| 21 Kg max. gross take-off weight (MGTOW) | |
| Propulsion | Hovering motors: 8x 150Kv motors with 22inch propellers (IP 45 rating) |
| Cruising motors: 2x 360Kv motors with 12inch propellers | |
| Avionics | 1x 64 Bit ARM 6 Cores, 6 MB L2 + 4 MB L3, 8 GB RAM, 128-Bit-LPDDR4x 59,7 GB/s |
| 1x 32 Bit ARM, 480MHz, 2MB memory, 512KB RAM | |
| 1x 32 Bit ARM, 24MHz, 8KB SRAM (3x Accelerometers/Gyros, 2x Barometers, 2x airspeed sensors, 1x GPS Module) | |
| 1x 32 Bit ARM, 480MHz, 2MB memory, 512KB RAM | |
| 1x 32 Bit ARM, 72MHz, 64KB SRAM (2x Accelerometers/Gyros, 2x Barometers, 1x GPS Module) | |
| Awareness systems | 1x downward-facing awareness systems |
| 2x forward-facing awareness systems | |
| 1x LiDAR ground altimeter: downward facing for long range | |
| Awareness radios | 1x ADS-B In |
| 1x FLARM in and out | |
| 1x remote ID, compliant with FAR Part 89 | |
| Connectivity (CON2) | 3x LTE SIM cards slots for three different providers |
| Flight modes | Multicopter mode and Fixed wing mode |
| Cruise Speed | 59 KIAS (30m/s) |
| Stall Speed (MGTOW) in Fixed Wing mode | 33 KIAS (17m/s) |
| Max Density Altitude | 2438m |
| Max Endurance | 118 minutes |
| Max Wind | 29 KTS (15m/s) |
| Max Precipitation | Light to moderate |
| Operating time | DayNight (under dev) |
| Operating temperature | -20° to 50° C |
| Range | max 120km, 2min hovering, 3kg payload, 5m/s of head wind, ideal cruising speed, 200m AMSL, no altitude changes or curves, 10% reserve |
| Weather limitations | suitable for operation in coastal and offshore climate |
| no operation during heavy rain, icing conditions, hail, and thunderstorms | |
| Noise Emissions | While cruising at 60m above ground level: 58dB |
| Delivery methods | Mailbox docking on balcony or window (under development) |
| Ground landing | |
| Customer Privacy | The video transmitted to the pilot for landing is blurred at the source |
| The recorded flight data is deleted and overwritten after every flight |
| Name of Route | Start and Destination | Start and Destination (GPS) |
| Route 1 | Buchs SG – Vaduz | 47.166668, 9.466664 - 47.134787, 9.513150 |
| Route 2 | Zürich Tiefenbrunnen – Zürich Oerlikon | 47.351448, 8.559639 - 47.406385, 8.542571 |
| Route 3 | Meilen – Zürich | 47.272483, 8.652122 - 47.351448, 8.559639 |
| Route 4 | Meilen – Rapperswil | 47.272483, 8.652122 - 47.220530, 8.843807 |
| Route 5 | Chur – Grüsch | 46.856858, 9.517722 - 46.977926, 9.644353 |
| Route 6 | Buchs SG – Mels | 47.166668, 9.466664 - 47.036573, 9.436659 |
| Route 7 | Glarus – Walenstadt | 47.036125, 9.065019 - 47.118043, 9.310155 |
| Route 8 | Buchs SG – Chur | 47.166668, 9.466664 - 46.856858, 9.517722 |
| Route 9 | Buchs SG – Stephanshorn SG | 47.166668, 9.466664 - 47.446111, 9.410633 |
| Name of Route | Start and Destination | Start and Destination (GPS) |
| Route 1 | Buchs SG – Gaflei | 47.166668, 9.466664 - 47.142344, 9.544172 |
| Route 2 | Meilen – Oetwil am See | 47.272483, 8.652122 - 47.267415, 8.728000 |
| Route 3 | Lugano - Bidogno | 46.023625, 8.961412 - 46.081164, 8.999985 |
| Route 4 | Buchs SG - Wildhaus | 47.166668, 9.466664 - 47.202323, 9.349811 |
| Route 5 | Buchs SG - Malbun | 47.166668, 9.466664 - 47.103642, 9.607433 |
| Route 6 | Chur - Arosa | 46.856858, 9.517722 - 46.784364, 9.683340 |
| Route 7 | Saas-Fee - Visp | 46.110250, 7.931477 - 46.297230, 7.874027 |
| Route 8 | Albula - Bonaduz | 46.663515, 9.575630 - 46.808014, 9.403732 |
| Route 9 | Davos - Landquart | 46.797116, 9.825824 - 46.961172, 9.566139 |
| cruising | Horizontally | 35m on each side of the Flight Path. This accounts for inaccuracy of the navigation due to GPS imprecision or meteorological conditions and allows the aircraft to safely maneuver within the margins of error. |
| cruising | Vertically | 20m above the Flight Path -> 120m AGL |
| hovering | Horizontally | 10m on each side of the flight path. This accounts for the low speed of the aircraft. |
| hovering | Vertically | 10m above the Flight Path -> 40m AGL This accounts for the low speed of the aircraft. |
| cruising | Horizontally | 35m on each side of the Flight Geography. This conservatively allows the aircraft to automatically initiate the Flight Geography contingency procedure to stop and hover from a cruise speed of 30m/s (approx. 26m), considering a positioning inaccuracy of 4m and an extra margin of 5m. |
| cruising | Vertically | 20m above the Flight Geography -> 150m AGL assuming 1s of reaction time at 45 deg pitch up at 20m/s + 4m of GPS error |
| hovering | Horizontally | 10m on each side of the Flight Geography. This accounts for the low speed of the aircraft. |
| hovering | Vertically | 10m above the Flight Geography -> 50m AGL This accounts for the low speed of the aircraft and the flight mode. |
- The RPIC activates the FTS using a mobile phone app (segregated from the GCS).
- The app sends the activation command through the mobile network to the FTS comms module installed on the aircraft (segregated from the C2 link and using a different network provider).
- The FTS comms module activates the FTS device.
- 4.
- Stabilize and stop the aircraft in Hovering mode as quickly as possible (approx. 4G deceleration)
- 5.
- Navigate to the horizontal GPS location where the FTS was triggered in Hovering mode at slow speed (5m/s),
- 6.
- Turn into the wind using the weathervane function to let the Cruising motor help in countering the wind more efficiently,
- 7.
- Slowly descend at 3m/s or less until touchdown,
- 8.
- Disarm the aircraft.

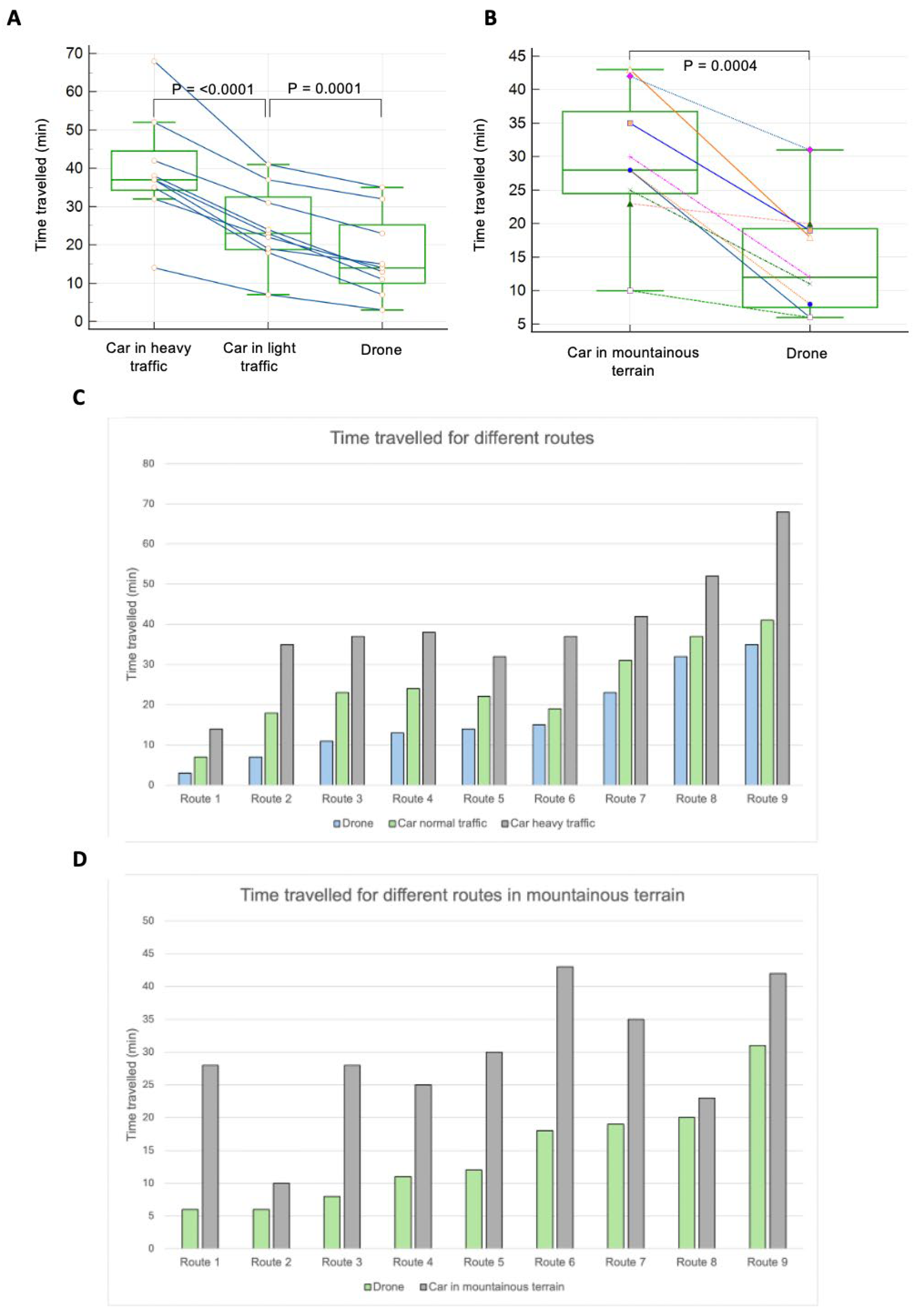
3. Results

4. Discussion
5. Conclusions
Supplementary Materials
Author Contributions
Acknowledgments
Conflicts of Interest
References
- Angelov, S.; Jimenez, C.K.; Wall, V.; O'Croínin, D. An assessment of sustainable transport infrastructure in a national healthcare system. Surg. 2023. [Google Scholar] [CrossRef] [PubMed]
- Berniak-Woźny, J.; Rataj, M. Towards Green and Sustainable Healthcare: A Literature Review and Research Agenda for Green Leadership in the Healthcare Sector. Int. J. Environ. Res. Public Heal. 2023, 20, 908. [Google Scholar] [CrossRef] [PubMed]
- Cawthorne, D.; Wynsberghe, A.R.-V. From HealthDrone to FrugalDrone: Value-Sensitive Design of a Blood Sample Transportation Drone. 2019 IEEE International Symposium on Technology and Society (ISTAS). LOCATION OF CONFERENCE, USADATE OF CONFERENCE; pp. 1–7.
- Lenzen, M.; Malik, A.; Li, M.; Fry, J.; Weisz, H.; Pichler, P.-P.; Chaves, L.S.M.; Capon, A.; Pencheon, D. The environmental footprint of health care: a global assessment. Lancet Planet. Heal. 2020, 4, e271–e279. [Google Scholar] [CrossRef] [PubMed]
- Eckelman, M.J.; Sherman, J. Environmental Impacts of the U.S. Health Care System and Effects on Public Health. PLOS ONE 2016, 11, e0157014. [Google Scholar] [CrossRef] [PubMed]
- Koshta, N.; Devi, Y.; Chauhan, C. Evaluating Barriers to the Adoption of Delivery Drones in Rural Healthcare Supply Chains: Preparing the Healthcare System for the Future. IEEE Trans. Eng. Manag. 2022, 71, 13096–13108. [Google Scholar] [CrossRef]
- Aggarwal, Sumit, et al. “Implementation of drone based delivery of medical supplies in North-East India: experiences, challenges and adopted strategies.” Frontiers in Public Health 11 (2023): 1128886.
- Magnusson, Sofia, and Pauline Pettersson Hagerfors. “Drone deliveries of medical goods in urban healthcare.” (2019).
- Nybo, Mads, et al. “Sample transportation–an overview.” Diagnosis 6.1 (2019): 39-43.
- Tripathi, Anju, et al. “Collection, storage, and transportation of samples for offsite analysis.” Handbook on Biological Warfare Preparedness. Academic Press, 2020. 133-149.
- Plebani, Mario. “Quality indicators to detect pre-analytical errors in laboratory testing.” The Clinical Biochemist Reviews 33.3 (2012): 85.
- Romero, A.; Cobos, A.; López-León, A.; Ortega, G.; Muñoz, M. Preanalytical mistakes in samples from primary care patients. cclm 2009, 47, 1549–52. [Google Scholar] [CrossRef] [PubMed]
- Almatrafi, Alya Aali. “Preanalytical errors: a major issue in medical laboratory.” Acta Sci Med Sci 3.2 (2019): 93-5.
- Šimenc, M. Overview and comparative analysis of emission calculators for inland shipping. Int. J. Sustain. Transp. 2015, 10, 627–637. [Google Scholar] [CrossRef]
- Shadimetov, Yusufjan, Dmitriy Ayrapetov, and Вotir Ergashev. “Transport, ecology and health.” Transport 8.4 (2021).
- Goodchild, A.; Toy, J. Delivery by drone: An evaluation of unmanned aerial vehicle technology in reducing CO2 emissions in the delivery service industry. Transp. Res. Part D Transp. Environ. 2018, 61, 58–67. [Google Scholar] [CrossRef]
- Rashidzadeh, E.; Molana, S.M.H.; Soltani, R.; Hafezalkotob, A. Assessing the sustainability of using drone technology for last-mile delivery in a blood supply chain. J. Model. Manag. 2021, 16, 1376–1402. [Google Scholar] [CrossRef]
- Park, J.; Kim, S.; Suh, K. A Comparative Analysis of the Environmental Benefits of Drone-Based Delivery Services in Urban and Rural Areas. Sustainability 2018, 10, 888. [Google Scholar] [CrossRef]
- Rodrigues, T.A.; Patrikar, J.; Oliveira, N.L.; Matthews, H.S.; Scherer, S.; Samaras, C. Drone flight data reveal energy and greenhouse gas emissions savings for very small package delivery. Patterns 2022, 3, 100569. [Google Scholar] [CrossRef] [PubMed]
- Agreement, Paris. “Paris agreement.” report of the conference of the parties to the United Nations framework convention on climate change (21st session, 2015: Paris). Retrived December. Vol. 4. No. 2017. Getzville, NY, USA: HeinOnline, 2015.
- Kuczewska, H.; Bartoszewski, B.; Ekiert-Radecka, M. REDUCTION OF AIR POLLUTION AND SOLVING THE PROBLEM OF EFFECTIVE DELIVERY OF MEDICAL PRODUCTS WITH AUTONOMOUS DRONE DELIVERY. 22nd SGEM International Multidisciplinary Scientific GeoConference 2022. LOCATION OF CONFERENCE, AustriaDATE OF CONFERENCE;
- Peck Palmer, Octavia M., et al. “Recognition of the prehospital preanalytical phase: collaborative efforts between laboratory medicine and emergency medicine to ensure quality testing.” Clinical Chemistry 66.8 (2020): 998-1005.
- Lippi, G.; von Meyer, A.; Cadamuro, J.; Simundic, A.-M.; Null, N. PREDICT: a checklist for preventing preanalytical diagnostic errors in clinical trials. cclm 2019, 58, 518–526. [Google Scholar] [CrossRef] [PubMed]
- Cakirca, G. The Evaluation of Error Types and Turnaround Time of Preanalytical Phase in Biochemistry and Hematology Laboratories. Iran. J. Pathol. 2018, 13, 173–178. [Google Scholar] [CrossRef] [PubMed]
- Morias, Christopher, Greg Palmer, and Abishek Santhakumar. “Pre-analytical errors and their prevention in an emergency department setting.” Australian Journal of Medical Science 44.2 (2023): 46-61.
- Garg, Vipul, et al. “Drones in last-mile delivery: A systematic review on Efficiency, Accessibility, and Sustainability.” Transportation Research Part D: Transport and Environment 123 (2023): 103831.
- Li, X.; Tupayachi, J.; Sharmin, A.; Ferguson, M.M. Drone-Aided Delivery Methods, Challenge, and the Future: A Methodological Review. Drones 2023, 7, 191. [Google Scholar] [CrossRef]
- Sudbury, Adrienne Welch, and E. Bruce Hutchinson. “A cost analysis of amazon prime air (drone delivery).” Journal for Economic Educators 16.1 (2016): 1-12.
- Lee, Jaihyun. “Optimization of a modular drone delivery system.” 2017 annual IEEE international systems conference (SysCon). IEEE, 2017.
- Shen, Y.; Xu, X.; Zou, B.; Wang, H. Operating policies in multi-warehouse drone delivery systems. Int. J. Prod. Res. 2020, 59, 2140–2156. [Google Scholar] [CrossRef]
- Kim, S.J.; Lim, G.J.; Cho, J.; Côté, M.J. Drone-Aided Healthcare Services for Patients with Chronic Diseases in Rural Areas. J. Intell. Robot. Syst. 2017, 88, 163–180. [Google Scholar] [CrossRef]
- Nyaaba, A.A.; Ayamga, M. Intricacies of medical drones in healthcare delivery: Implications for Africa. Technol. Soc. 2021, 66, 101624. [Google Scholar] [CrossRef]
- Olatunji, G.M.; Isarinade, T.D.M.; Emmanuel, K.M.; Olatunji, D.M.; Aderinto, N.M. Exploring the transformative role of drone technology in advancing healthcare delivery in Africa; a perspective. Ann. Med. Surg. 2023, 85, 5279–5284. [Google Scholar] [CrossRef]
- Haula, K.; Agbozo, E. A systematic review on unmanned aerial vehicles in Sub-Saharan Africa: A socio-technical perspective. Technol. Soc. 2020, 63, 101357. [Google Scholar] [CrossRef]
- Jain, Vanita, and Nalin Luthra. “Medical assistance using drones for remote areas.” Proceedings of International Conference on Artificial Intelligence and Applications: ICAIA 2020. Springer Singapore, 2021.


Disclaimer/Publisher’s Note: The statements, opinions and data contained in all publications are solely those of the individual author(s) and contributor(s) and not of MDPI and/or the editor(s). MDPI and/or the editor(s) disclaim responsibility for any injury to people or property resulting from any ideas, methods, instructions or products referred to in the content. |
© 2024 by the authors. Licensee MDPI, Basel, Switzerland. This article is an open access article distributed under the terms and conditions of the Creative Commons Attribution (CC BY) license (http://creativecommons.org/licenses/by/4.0/).