Submitted:
12 August 2024
Posted:
13 August 2024
You are already at the latest version
Abstract
Keywords:
1. Introduction
2. Materials and Methods
2.1. Field Trial Set-Up
2.2. Environmental Scanning Electron Microscope (ESEM) Imaging of Bacteria-Leaf Interactions
2.3. Shoot Growth Analysis
2.4. Root Growth Analysis
2.5. Yield Parameters and Grain Quality
2.6. Statistical Analysis
3. Results
3.1. Climatic Conditions During the Trials
3.2. Shoot Growth and Physiology
3.2.1. Bacterial Colonization
3.2.2. Leaf Chlorophyll Content and Canopy Greenness
3.2.3. Plant Morphology
3.2.4. Photosynthetic Parameters
3.3. Root Growth
3.3.1. Root Diameter
3.3.2. Root Dry Weight
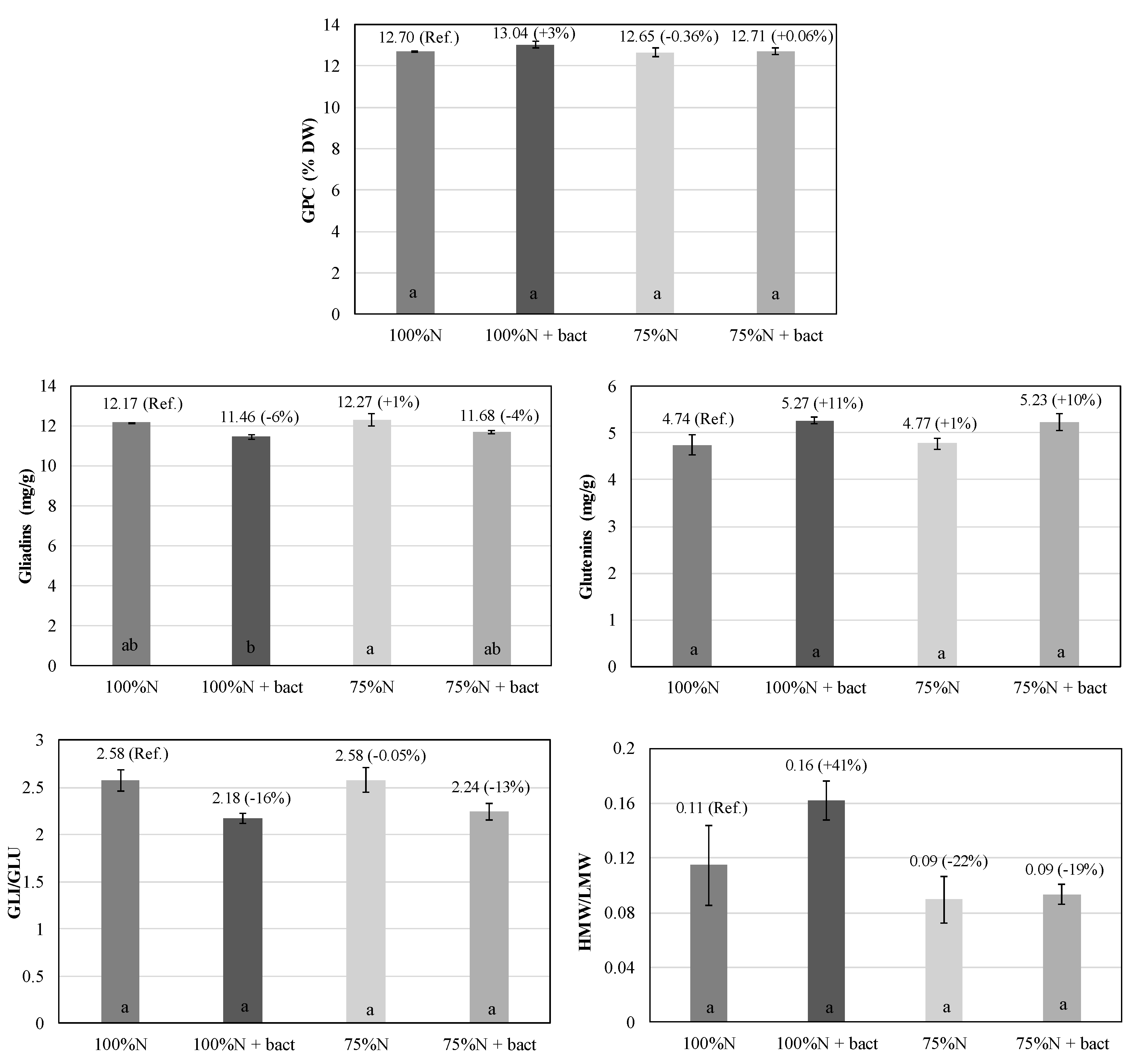
3.4. Yield Parameters and Grain Quality
3.4.1. Dough Rheological Properties
3.5. Nutrient Content in Wheat Organs
3.5.1. Nutrient Content in Grain
3.5.2. Nutrient Content in Straw
4. Discussion
5. Conclusions
Supplementary Materials
Author Contributions
Funding
Data Availability Statement
Acknowledgments
Conflicts of Interest
References
- Novoa, R.; Loomis, R.S. Nitrogen and plant production. Plant Soil 1981, 58, 177–204. [Google Scholar] [CrossRef]
- Zayed, O.; Hewedy, O.A.; Abdelmoteleb, A.; Ali, M.; Youssef, M.S.; Roumia, A.F.; Yuan, Z.C. Nitrogen journey in plants: From uptake to metabolism, stress response, and microbe interaction. Biomolecules 2023, 13, 1443. [Google Scholar] [CrossRef] [PubMed]
- Taria, S.; Arora, A.; Alam, B.; Kumar, S.; Yadav, A.; Kumar, S.; Arunachalam, A. Introduction to Plant Nitrogen Metabolism: An overview. Advances in Plant Nitrogen Metabolism 2022, 1–18. [Google Scholar]
- Guo, K.; Yang, J.; Yu, N.; Luo, L.; Wang, E. Biological nitrogen fixation in cereal crops: Progress, strategies, and perspectives. Plant Commun 2023, 4. [Google Scholar] [CrossRef] [PubMed]
- Rosenblueth, M.; Ormeño-Orrillo, E.; López-López, A.; Rogel, M.A.; Reyes-Hernández, B.J.; Martínez-Romero, J.C.; Martínez-Romero, E. Nitrogen fixation in cereals. Front Microbiol 2018, 9, 1794. [Google Scholar] [CrossRef] [PubMed]
- Paull, J.A. Century of Synthetic Fertilizer: 1909-2009. J. Bio-Dynamics Tasmania 2009, 94, 16–21. [Google Scholar]
- International Fertilizer Association. (2023). World ammonia capacities 2023. Retrieved from.
- Smith, C.; Hill, A.K.; Torrente-Murciano, L. Current and Future Role of Haber–Bosch Ammonia in a Carbon-Free Energy Landscape. Energy Environ. Sci. 2020, 13, 331–344. [Google Scholar] [CrossRef]
- Chen, J.; Wu, H.; Qian, H. Groundwater nitrate contamination and associated health risk for the rural communities in an agricultural area of Ningxia, northwest China. Expo. Health 2016, 8, 349–359. [Google Scholar] [CrossRef]
- Sutton, M.A.; Howard, C.M.; Erisman, J.W.; Billen, G.; Bleeker, A.; Grennfelt, P.; Grizzetti, B. (Eds.) . (2011). The European nitrogen assessment: sources, effects and policy perspectives. Cambridge University Press.
- Lin, T.Y.; Chiu, Y.H.; Lin, Y.N.; Chang, T.H.; Lin, P.Y. Greenhouse Gas Emission Indicators, Energy Consumption Efficiency, and Optimal Carbon Emission Allowance Allocation of the EU Countries in 2030. J. Nat. Gas Sci. Eng. 2023, 110, 204902. [Google Scholar] [CrossRef]
- Suhameena, B.; Devi, S.; Gowri, R.; Kumar, S.D. Utilization of Azospirillum as a Biofertilizer – An overview. Int. J. Pharm. Sci. Rev. Res. 2020, 62, 141–145. [Google Scholar]
- Raffi, M.M.; Charyulu, P.B.B.N. Azospirillum-biofertilizer for sustainable cereal crop production: Current status. In Recent developments in applied microbiology and biochemistry 2021 (pp. 193-209). Academic Press.
- Pereg, L.; de-Bashan, L.E.; Bashan, Y. Assessment of affinity and specificity of Azospirillum for plants. Plant Soil 2016, 399, 389–414. [Google Scholar] [CrossRef]
- The, S.V.; Snyder, R.; Tegeder, M. Targeting nitrogen metabolism and transport processes to improve plant nitrogen use efficiency. Front Plant Sci 2021, 11, 628366. [Google Scholar] [CrossRef]
- Alori, E.T.; Babalola, O.O. Microbial inoculants for improving crop quality and human health in Africa. Front. Microbiol. 2018, 9, 2213. [Google Scholar] [CrossRef] [PubMed]
- Reed, L.; Glick, B.R. The recent use of plant-growth-promoting bacteria to promote the growth of agricultural food crops. Agriculture 2023, 13, 1089. [Google Scholar] [CrossRef]
- Bianco, C. Plant-Growth-Promoting Bacteria. Plants 2024, 13, 1323. [Google Scholar] [CrossRef] [PubMed]
- Kumari, E.; Kumari, S.; Das, S.S.; Mahapatra, M.; Sahoo, J.P. Plant Growth-Promoting Bacteria (PGPB) for sustainable agriculture: current prospective and future challenges. Agro. Environ. Sustain. 2023, 1, 274–285. [Google Scholar] [CrossRef]
- Castaldi, S.; Lorenz, C.; Vitale, E.; Santorufo, L.; Isticato, R.; Arena, C. Potentialities of Technosol-isolated PGPB consortium in promoting plant growth in lettuce seedlings. Plant Soil 2024, 1–21. [Google Scholar] [CrossRef]
- Bhattacharyya, P.N.; Jha, D.K. Plant growth-promoting rhizobacteria (PGPR): Emergence in agriculture. WJMB 2012, 28, 1327–1350. [Google Scholar] [CrossRef]
- Egamberdieva, D.; Lugtenberg, B. Use of plant growth-promoting rhizobacteria to alleviate salinity stress in plants. In M. Miransari (Ed.), Use of Microbes for the Alleviation of Soil Stresses 2014 (pp. 73–96). Springer.
- Landeta, C.; Marchant, F. Biostimulants: Emerging Trend and Opportunities. In Biostimulants: Exploring Sources and Applications; Ramawat, N., Bhardwaj, V., Eds.; Plant Life and Environment Dynamics; Springer: Singapore, 2022; pp 287–306. [Google Scholar]
- Kumar, M.; Tomar, R.S.; Lade, H.; Paul, D. Methylotrophic bacteria in sustainable agriculture. World J. Microbiol. Biotechnol. 2016, 32, 120. [Google Scholar] [CrossRef]
- Madhaiyan, M.; Poonguzhali, S.; Sa, T. Characterization of 1-aminocyclopropane-1-carboxylate (ACC) deaminase containing Methylobacterium oryzae and interactions with auxins and ACC regulation of ethylene in canola (Brassica campestris). Planta 2007, 226, 867–876. [Google Scholar] [CrossRef]
- Subhaswaraj, P.; Jobina, R.; Parasuraman, P.; Siddhardha, B. Plant Growth Promoting Activity of Pink Pigmented Facultative Methylotroph-Methylobacterium extorquens MM2 on Lycopersicon esculentum L. J. Appl. Biol. Biotech. 2017, 5, 42–46. [Google Scholar] [CrossRef]
- Ventorino, V.; Sannino, F.; Piccolo, A.; Cafaro, V.; Carotenuto, R.; Pepe, O. Methylobacterium populi VP2: Plant Growth-Promoting Bacterium Isolated from a Highly Polluted Environment for Polycyclic Aromatic Hydrocarbon (PAH) Biodegradation. Sci. World J. 2014, 2014, 931793. [Google Scholar] [CrossRef] [PubMed]
- Van Dien, S.J.; Okubo, Y.; Hough, M.T.; Korotkova, N.; Taitano, T.; Lidstrom, M.E. Reconstruction of C3 and C4 metabolism in Methylobacterium extorquens AM1 using transposon mutagenesis. Microbiology 2003, 149, 601–609. [Google Scholar] [CrossRef] [PubMed]
- Torres Vera, R.; Bernabé García, A.J.; Carmona Álvarez, F.J.; Martínez Ruiz, J.; Fernández Martín, F. Application and effectiveness of Methylobacterium symbioticum as a biological inoculant in maize and strawberry crops. Folia Microbiol. 2024, 69, 121–131. [Google Scholar] [CrossRef]
- Tani, A.; Sahin, N.; Kimbara, K. Methylobacterium oxalidis sp. nov., isolated from leaves of Oxalis corniculata. Int. J. Syst. Evol. Microbiol. 2012, 62, 1647–1652. [Google Scholar] [CrossRef] [PubMed]
- Omer, Z.S.; Tombolini, R.; Gerhardson, B. Plant colonization by pink-pigmented facultative methylotrophic bacteria (PPFMs). FEMS Microbiol. Ecol. 2004, 47, 319–326. [Google Scholar] [CrossRef] [PubMed]
- Kutschera, U. Plant-Associated Methylobacteria as Co-Evolved Phytosymbionts. Plant Signal. Behav. 2007, 2, 74–78. [Google Scholar] [CrossRef] [PubMed]
- Madhaiyan, M.; Alex, T.H.H.; Ngoh, S.T.; Prithiviraj, B.; Ji, L. Leaf-residing Methylobacterium species fix nitrogen and promote biomass and seed production in Jatropha curcas. Biotechnol. Biofuels 2015, 8, 222. [Google Scholar]
- Pascual, J.A.; Ros, M.; Martínez, J.; Carmona, F.; Bernabé, A.; Torres, R.; Pérez-Piqueres, A.; Sánchez-Reolid, L.; Fernández, F. Methylobacterium symbioticum sp. nov., a new species isolated from spores of Glomus iranicum var. tenuihypharum. Curr. Microbiol. 2020, 77, 2031–2041. [Google Scholar] [CrossRef]
- Stabentheiner, E.; Zankel, A.; Pölt, P. Environmental scanning electron microscopy (ESEM) − a versatile tool in studying plants. Protoplasma 2010, 246, 89–99. [Google Scholar] [CrossRef]
- Murashige, T.; Skoog, F.A. revised medium for rapid growth and bio-assays with tobacco tissue cultures. Physiol. Plant. 1962, 15, 473–497. [Google Scholar] [CrossRef]
- Visioli, G.; D’Egidio, S.; Vamerali, T.; Mattarozzi, M.; Sanangelantoni, A.M. Culturable endophytic bacteria enhance Ni translocation in the hyperaccumulator Noccaea caerulescens. Chemosphere, 2014, 117, 538–544. [Google Scholar] [CrossRef] [PubMed]
- Murchie, E.H.; Lawson, T. Chlorophyll fluorescence analysis: a guide to good practice and understanding some new applications. J. Exp. Bot. 2013, 64, 3983–3998. [Google Scholar] [CrossRef] [PubMed]
- Dworkin, M.; Foster, J.W. Experiments with some microorganisms which utilize ethane and hydrogen. J. Bacteriol., 1958, 75, 592–603. [Google Scholar] [CrossRef] [PubMed]
- Bertola, M.; Mattarozzi, M.; Sanangelantoni, A.M.; Careri, M.; Visioli, G. PGPB colonizing three-year biochar-amended soil: towards biochar-mediated biofertilization. J. Soil Sci. Plant Nutr., 2019, 19, 841–850. [Google Scholar] [CrossRef]
- Delory, B.M.; Weidlich, E.W.; Meder, L.; Lütje, A.; van Duijnen, R.; Weidlich, R.; Temperton, V.M. Accuracy and bias of methods used for root length measurements in functional root research. Methods Ecol. Evol. 2017, 8, 1594–1606. [Google Scholar] [CrossRef]
- Vamerali, T.; Guarise, M.; Ganis, A.; Bona, S.; Mosca, G. Analysis of root images from auger sampling with a fast procedure: a case of application to sugar beet. Plant Soil 2003, 255(1), 387–397. [Google Scholar] [CrossRef]
- AACC International. (2010). Approved methods of analysis, 11th ed. Method 46-11.02. Crude protein—Kjeldahl method, boric acid modification. Approved November 3, 1999. AACC International, St. Paul, MN, U.S.A.
- Visioli, G.; Bonas, U.; Dal Cortivo, C.; Pasini, G.; Marmiroli, N.; Mosca, G.; Vamerali, T. Variations in yield and gluten proteins in durum wheat varieties under late-season foliar versus soil application of nitrogen fertilizer in a northern Mediterranean environment. J. Sci. Food Agric. 2018, 98, 2360–2369. [Google Scholar] [CrossRef]
- Glick, B.R.; Penrose, D.M.; Li, J. A model for the lowering of plant ethylene concentrations by plant growth-promoting bacteria. J. Theor. Biol. 1998, 190, 63–68. [Google Scholar] [CrossRef]
- Dal Cortivo, C.; Barion, G.; Visioli, G.; Mattarozzi, M.; Mosca, G.; Vamerali, T. Increased root growth and nitrogen accumulation in common wheat following PGPR inoculation: Assessment of plant-microbe interactions by ESEM. Agric. Ecosyst. Environ. 2017, 247, 396–408. [Google Scholar] [CrossRef]
- Yim, W.J.; Kim, K.Y.; Lee, Y.W.; Sundaram, S.P.; Lee, Y.; Sa, T.M. Real time expression of ACC oxidase and PR-protein genes mediated by Methylobacterium spp. in tomato plants challenged with Xanthomonas campestris pv. vesicatoria. J. Plant Physiol. 2014, 171, 1064–1075. [Google Scholar] [CrossRef] [PubMed]
- Madhaiyan, M.; Poonguzhali, S.; Ryu, J.H.; Sa, T.M. Regulation of ethylene levels in canola (Brassica campestris) by 1-aminocyclopropane-1-carboxylate deaminase-containing Methylobacterium fujisawaense. Planta 2006, 224, 268–278. [Google Scholar] [CrossRef] [PubMed]
- de Aquino, G.S.; Ventura, M.U.; Alexandrino, R.P.; Michelon, T.A.; Pescador, P.G.A.; Nicio, T.T.; Watanabe, V.S.; Gomes, T.D.; Oliveira, A.L.M.; Hata, F.T. Plant-promoting rhizobacteria Methylobacterium komagatae increases crambe yields, root system and plant height. Ind. Crops Prod. 2018, 121, 277–281. [Google Scholar] [CrossRef]
- Xu, C.; Tao, H.; Tian, B.; Gao, Y.; Ren, J.; Wang, P. Limited irrigation improves water use efficiency and soil reservoir capacity through regulating root and canopy growth of winter wheat. Field Crops Res. 2016, 196, 268–275. [Google Scholar] [CrossRef]
- Mardanov, A.; Samedovam, A.; Shirvany, T. Root-Shoot Relationships in Plant Adaptation to Nitrogen Deficiency. In Root Demographics and Their Efficiencies in Sustainable Agriculture, Grasslands and Forest Ecosystems; Box, J.E., Ed.; Developments in Plant and Soil Sciences, Vol. 82; Springer: Dordrecht, 1998; pp 147–154. [Google Scholar]
- Lv, X.; Zhang, Y.; Hu, L.; Zhang, Y.; Zhang, B.; Xia, H.; Wang, Z.; Sun, Y.; Kong, L. Low-nitrogen stress stimulates lateral root initiation and nitrogen assimilation in wheat: roles of phytohormone signaling. J. Plant Growth Regul. 2021, 40, 436–450. [Google Scholar] [CrossRef]
- Sivri, D.; Köksel, H.; Bushuk, W. Effects of wheat bug (Eurygaster maura) proteolytic enzymes on electrophoretic properties of gluten proteins. N. Z. J. Crop Hortic. Sci. 1998, 26, 117–125. [Google Scholar] [CrossRef]
- Salis, L.; Goula, M.; Valero, J.; Gordún, E. Prolamin proteins alteration in durum wheat by species of the genus Eurygaster and Aelia (Insecta, Hemiptera). Span. J. Agric. Res. 2010, 8, 82–90. [Google Scholar] [CrossRef]
- Wieser, H.; Kieffer, R. Correlations of the amount of gluten protein types to the technological properties of wheat flours determined on a micro-scale. J. Cereal Sci. 2001, 34, 19–27. [Google Scholar] [CrossRef]




| Treatment name | N (kg ha-1) | Bacterial inoculation |
|---|---|---|
| 100%N | 180 | NO |
| 100%N + bact | 180 | YES |
| 75%N | 130 | NO |
| 75%N + bact | 130 | YES |
| Treatment | Plant height | Uppermost internode length | LAI | LAI/CAI | Shoot DW | Leaf-to-Culm DW Ratio | ||||||
|---|---|---|---|---|---|---|---|---|---|---|---|---|
| cm | %var/C | cm | %var/C | m2 m-2 | %var/C | %var/C | g m-2 | %var/C | %var/C | |||
| 100%N | 92.2 ± 1.8 | a | 8.94 ± 0.65 | a | 8.48 ± 1.00 | a | 2.73 ± 0.10 | a | 1,766.9 ± 194.4 | a | 0.329 ± 0.016 | a |
| 100%N + bact | 78.8 ± 1.2 | c (-15%) |
9.44 ± 0.61 | a (+6%) |
7.39 ± 0.52 | a (-13%) |
2.52 ± 0.04 | a (-8%) |
1,662.5 ± 124.1 | a (-6%) |
0.321 ± 0.004 | ab (-3%) |
| 75%N | 82.1 ± 1.7 | bc (-11%) |
9.66 ± 0.60 | a (+8%) |
7.98 ± 0.17 | a (-6%) |
2.53 ± 0.06 | a (-7%) |
1,770.2 ± 40.8 | a (+0.2%) |
0.289 ± 0.004 | b (-12%) |
| 75%N + bact | 86.5 ± 2.1 | ab (-6%) |
9.83 ± 0.68 | a (+10%) |
7.62 ± 0.96 | a (-10%) |
2.55 ± 0.10 | a (-6%) |
1,659.7 ± 176.1 | a (-6%) |
0.309 ± 0.005 | ab (-6%) |
| Treatments | Grain yield | HI | TSW | Testing weight | ||||
|---|---|---|---|---|---|---|---|---|
| g m-2 | %var/C | % | %var/C | g | %var/C | kg hL-1 | %var/C | |
| 100%N | 1023.2 ± 40.9 | a | 42.6 ± 0.55 | a | 39.7 ± 0.44 | a | 81.0 ± 0.29 | a |
| 100%N + bact | 955.9 ± 43.0 | a (-7%) | 42.0 ± 1.18 | a (-2%) | 39.6 ± 0.88 | a (-0.2%) | 80.7 ± 0.47 | a (-0.4%) |
| 75%N | 946.5 ± 52.1 | a (-8%) | 41.1 ± 1.00 | a (-4%) | 39.6 ± 0.51 | a (-0.4%) | 82.2 ± 0.52 | a (+1%) |
| 75%N + bact | 958.9 ± 87.2 | a (-6%) | 43.2 ± 0.81 | a (+1%) | 39.0 ± 0.07 | a (-2%) | 81.3 ± 0.41 | a (+0.3%) |
Disclaimer/Publisher’s Note: The statements, opinions and data contained in all publications are solely those of the individual author(s) and contributor(s) and not of MDPI and/or the editor(s). MDPI and/or the editor(s) disclaim responsibility for any injury to people or property resulting from any ideas, methods, instructions or products referred to in the content. |
© 2024 by the authors. Licensee MDPI, Basel, Switzerland. This article is an open access article distributed under the terms and conditions of the Creative Commons Attribution (CC BY) license (http://creativecommons.org/licenses/by/4.0/).