Submitted:
08 August 2024
Posted:
08 August 2024
You are already at the latest version
Abstract
Keywords:
1. Introduction
2. Device Fabrication and Characterization
3. Results and discussions
3.1. Effect of LED wavelength on OPD J–V characteristics
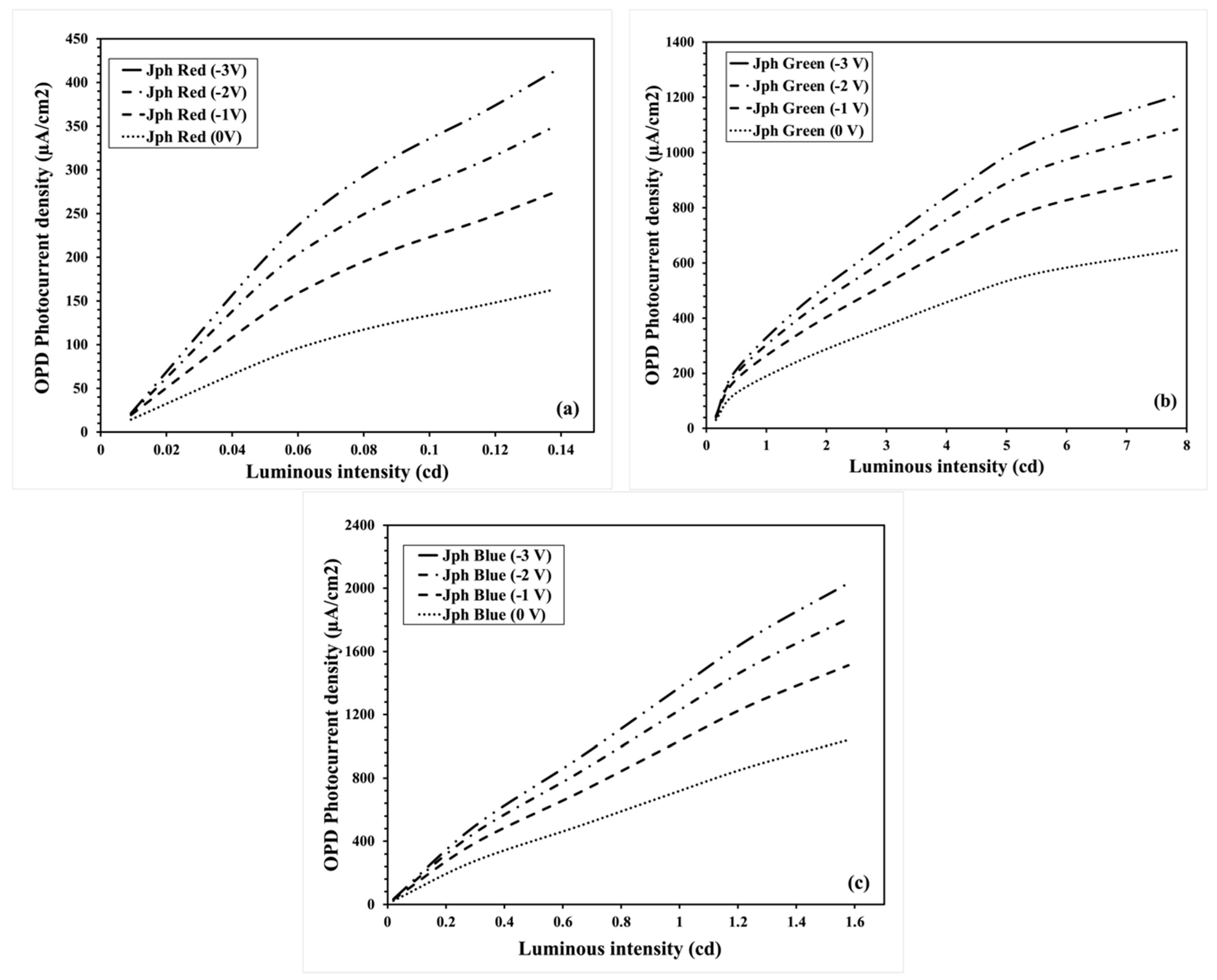
3.2. Effect of LED intensity and OPD biasing
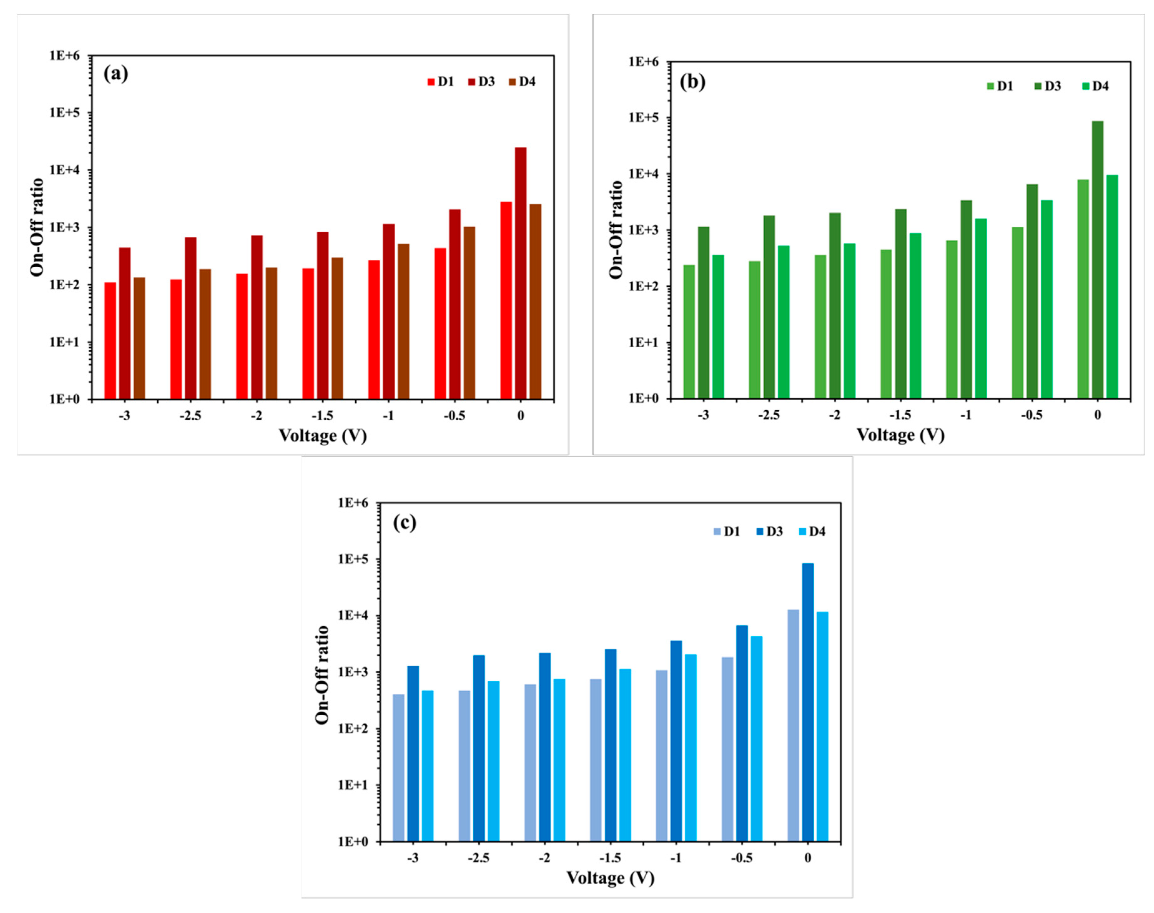
3.3. Effect of OPD design
3.1. OPD Inner Periphery Shape
3.3.2. Distance from LED to OPD
3.3.3. OPD area
4. Conclusion
Author Contributions
Funding
Data Availability Statement
Acknowledgments
Conflicts of Interest
References
- T. Sekitani, T. Someya, Stretchable, Large-area Organic Electronics, Adv. Mater. 2010, 22, 2228−2246.
- R. Nie, Y. Wang, X. Deng, Aligned Nanofibers as an Interfacial Layer for Achieving High-Detectivity and Fast-Response Organic Photodetectors, ACS Appl. Mater. Interfaces. 2014, 6, 7032−7037. [CrossRef]
- R. D. Jansen-van Vuuren, A. Armin, A. K. Pandey, P. L. Burn, P. Meredith, Organic Photodiodes: The Future of Full Color Detection and Image Sensing, Adv. Mater. 2016, 28, 4766−4802. [CrossRef]
- Y. S. Rim, S.-H. Bae, H. Chen, N. De Marco, Y. Yang, Recent Progress in Materials and Devices toward Printable and Flexible Sensor, Adv. Mater. 2016, 28, 4415−4440. [CrossRef]
- K.-J. Baeg, M. Binda, D. Natali, M. Caironi, Y.-Y. Noh, Organic Light Detectors: Photodiodes and Phototransistors, Adv.Mater. 2013 ,25, 4267−4295. [CrossRef]
- G. Simone, D. Di. C. Rasi, X. de Vries, G. H. L. Heintges, S. C. J. Meskers, R. A. J. Janssen, G. H. Gelinck, Near-Infrared Tandem Organic Photodiodes for Future Application in Artificial Retinal Implants, Adv. Mater. 2018, 30, 1804678. [CrossRef]
- G. Simone, M. J. Dyson, S. C. J. Meskers, R. A. J. Janssen, G. H. Gelinck, Organic Photodetectors and their Application in Large Area and Flexible Image Sensors: The Role of Dark Current, Adv. Funct. Mater. 2020, 30, 1904205. [CrossRef]
- Y. Khan, A. E. Ostfeld, C. M. Lochner, A. Pierre, A. C. Arias, Monitoring of Vital Signs with Flexible and Wearable Medical Devices. Adv. Mater. 2016, 28, 4373-4395. [CrossRef]
- J. Clark, G. Lanzani, Organic photonics for communications. Nat. Photonics. 2010, 4, 438– 446. [CrossRef]
- H. Lee, E. Kim, Y. Lee, H. Kim, J. Lee, M. Kim, H. J. Yoo, S. Yoo, Toward all-day wearable health monitoring: An ultralow-power, reflective organic pulse oximetry sensing patch, Sci. Adv. 2018, 4, eaas9530. [CrossRef]
- P. Zalar, N. Matsuhisa, T. Suzuki, S. Enomoto, M. Koizumi, T. Yokota, M. Sekino, T. Someya, A Monolithically Processed Rectifying Pixel for High-Resolution Organic Imagers, Adv. Electron. Mater. 2018, 4, 1700601. [CrossRef]
- X. Gong, M. Tong, Y. Xia, W. Cai, J. S. Moon, Y. Cao, G. Yu, C-L. Shieh, B. Nilsson, A. J. Heeger, High-detectivity polymer photodetectors with spectral response from 300 nm to 1450 nm. Science. 2009, 325, 1665-1667. [CrossRef]
- E.-C. Chen, C.-Y. Chang, J.-T. Shieh, S.-R. Tseng, H.-F. Meng, C.-S. Hsu, S.-F. Horng, Polymer photodetector with voltage-adjustable photocurrent spectrum, Appl. Phys. Lett. 2010, 96, 043507. [CrossRef]
- P. E. Keivanidis, P. K. H. Ho, R. H. Friend, Greenham, The Dependence of Device Dark Current on the Active-Layer Morphology of Solution-Processed Organic Photodetectors, Adv. Funct. Mater. 2010, 20, 3895– 3903. [CrossRef]
- X. Liu, H. Wang, T. Yang, W. Zhang, X. Gong, Solution-Processed Ultrasensitive Polymer Photodetectors with High External Quantum Efficiency and Detectivity, ACS Applied Materials & Interfaces. 2012, 4, 3701-3705. [CrossRef]
- S. Shafian, Y. Jang, K. Kim, Solution processed organic photodetector utilizing an interdiffused polymer/fullerene bilayer, Opt. Express. 2015, 23, A936-A946. [CrossRef]
- P. Saha, P. Karmakar, D. Deb, Modeling and simulation of P3HT and PCBM based organic optoelectronics devices, Materials Today: Proceedings, 2021, 43, 3438-3442. [CrossRef]
- C.G. Shuttle, R. Hamilton, J. Nelson, B.C. O’Regan, J.R. Durrant, Measurement of Charge-Density Dependence of Carrier Mobility in an Organic Semiconductor Blend, Adv. Funct. Mater., 2010, 20, 698-702. [CrossRef]
- J. Mullerova, M. Kaiser, V. Nadazdy, P. Siffalovic, E. Majkova, Optical absorption study of P3HT:PCBM blend photo-oxidation for bulk heterojunction solar cells, Sol. Energy, 2016, 134, 294-301. [CrossRef]
- Y. A. M. Ismail, T. Soga, T. Jimbo, Effect of composition on conjugation structure and energy gap of P3HT:PCBM organic solar cell, Int. J. New. Hor. Phys., 2015, 2, 87-93.
- Y. Xin, Z. Wang, L. Xu, X. Xu, Y. Liu, F. Zhang, UV-Ozone treatment on CS2CO3 interfacial layer for the improvement of inverted solar cell, J. Nanomater., 2013, 104825.
- S. Zeiske, W. Li, P. Meredith, A. Armin, O. J. Sandberg, Light intensity dependence of the photocurrent in organic photovoltaic devices, Cell Rep. Phys. Sci., 2022, 3, 101096. [CrossRef]
- Mahapatra, V. Anilkumar, R. D. Chavan, P. Yadav, D. Prochowicz, Understanding the origin of light intensity and temperature dependence of photodetection properties in MAPbBr3 single-crystal-based photodetector, ACS Photonics, 2023, 10, 1424-1433.
- Q. Lv, F. Yan, X. Wei, K. Wang, High-performance, self-driven photodetector based on graphene sandwiched GaSe/WS2 heterojunction, Adv. Opt. Mater., 2018, 6, 1700490.
- S. Verma, R. Yadav, A. Pandey, Investigating active area dependent high performing photoresponse through thin films of Weyl Semimetal WTe2. Sci Rep. 2023, 13, 197. [CrossRef]
- H. H. P. Gommans, M. Kemerink, J. K. Kramer, R. A. J. Janssen, Field and temperature dependence of the photocurrent in polymer/fullerene bulk heterojunction solar cells, Appl. Phys. Lett., 2005, 87, 122104. [CrossRef]
- Y. Khan, D. Han, J. Ting, M. Ahmed, R. Nagisetty and A. C. Arias, Organic Multi-Channel Optoelectronic Sensors for Wearable Health Monitoring, IEEE Access, 2019, 7, 128114-128124. [CrossRef]
- M. A. B. Misran, A. Bilgaiyan, R. Hattori, Optical ray tracing simulation by using Monte Carlo method for reflectance-based photoplethysmography sensor in human skin and fingertip model, Computational And Experimental Research In Materials And Renewable Energy, 2022, 5, 78-91. [CrossRef]
- J. R.S. Brownson, Solar Energy Conversion Systems, First edition, Elsevier, Oxford, 2014.
- W. -I. Jeong, J. Lee, J. -J. Kim, Reduction of collection efficiency of charge carriers with increasing cell size in polymer bulk heterojunction solar cells, Adv. Funct. Mater., 2011, 21, 343-347.









| Illumination condition | Current density (A/cm2) | ||||
| -3V | -2V | -1V | 0V | 1V | |
| Dark | 5.43E-6 | 3.35E-6 | 1.60E-6 | 6.93E-8 | 6.78E-4 |
| Red | 5.46E-4 | 4.70E-4 | 3.75E-4 | 2.27E-4 | 2.19E-3 |
| Green | 1.43E-3 | 1.31E-3 | 1.13E-3 | 8.17E-4 | 2.06E-3 |
| Blue | 2.03E-3 | 1.81E-3 | 1.51E-3 | 1.04E-3 | 1.80E-3 |
| Device label | Area (mm2) | Inner periphery geometry | LED to OPD inner periphery distance, (l) (mm) |
|---|---|---|---|
| D1 | 16 | Round | 0.65 |
| D2 | 16 | Rectangular | 0.65 |
| D3 | 16 | No inner shape | 0 |
| D4 | 16 | Round | 1.15 |
| D5 | 32 | Round | 0.65 |
| LED to OPD distance, (l) (mm) | Current density (A/cm2) | |||
|---|---|---|---|---|
| Dark | Red | Blue | Green | |
| 0 (device D3) | 1.12E-8 | 2.81E-4 | 1.95E-3 | 9.75E-4 |
| 0.65(device D1) | 6.93E-8 | 2.27E-4 | 1.04E-3 | 8.17E-4 |
| 1.15(device D4) | 7.13E-8 | 2.12E-4 | 9.75E-4 | 7.95E-4 |
Disclaimer/Publisher’s Note: The statements, opinions and data contained in all publications are solely those of the individual author(s) and contributor(s) and not of MDPI and/or the editor(s). MDPI and/or the editor(s) disclaim responsibility for any injury to people or property resulting from any ideas, methods, instructions or products referred to in the content. |
© 2024 by the authors. Licensee MDPI, Basel, Switzerland. This article is an open access article distributed under the terms and conditions of the Creative Commons Attribution (CC BY) license (http://creativecommons.org/licenses/by/4.0/).