Submitted:
07 August 2024
Posted:
08 August 2024
You are already at the latest version
Abstract
Keywords:
1. Introduction
2. Materials and Methods
2.1. Sampling Sites
2.2. Sample Collection
2.3. Water Quality Analysis
2.4. Statistical Analysis
3. Results and Discussion
3.1. Particles
3.2. Nutrients, BOD, and E. coli
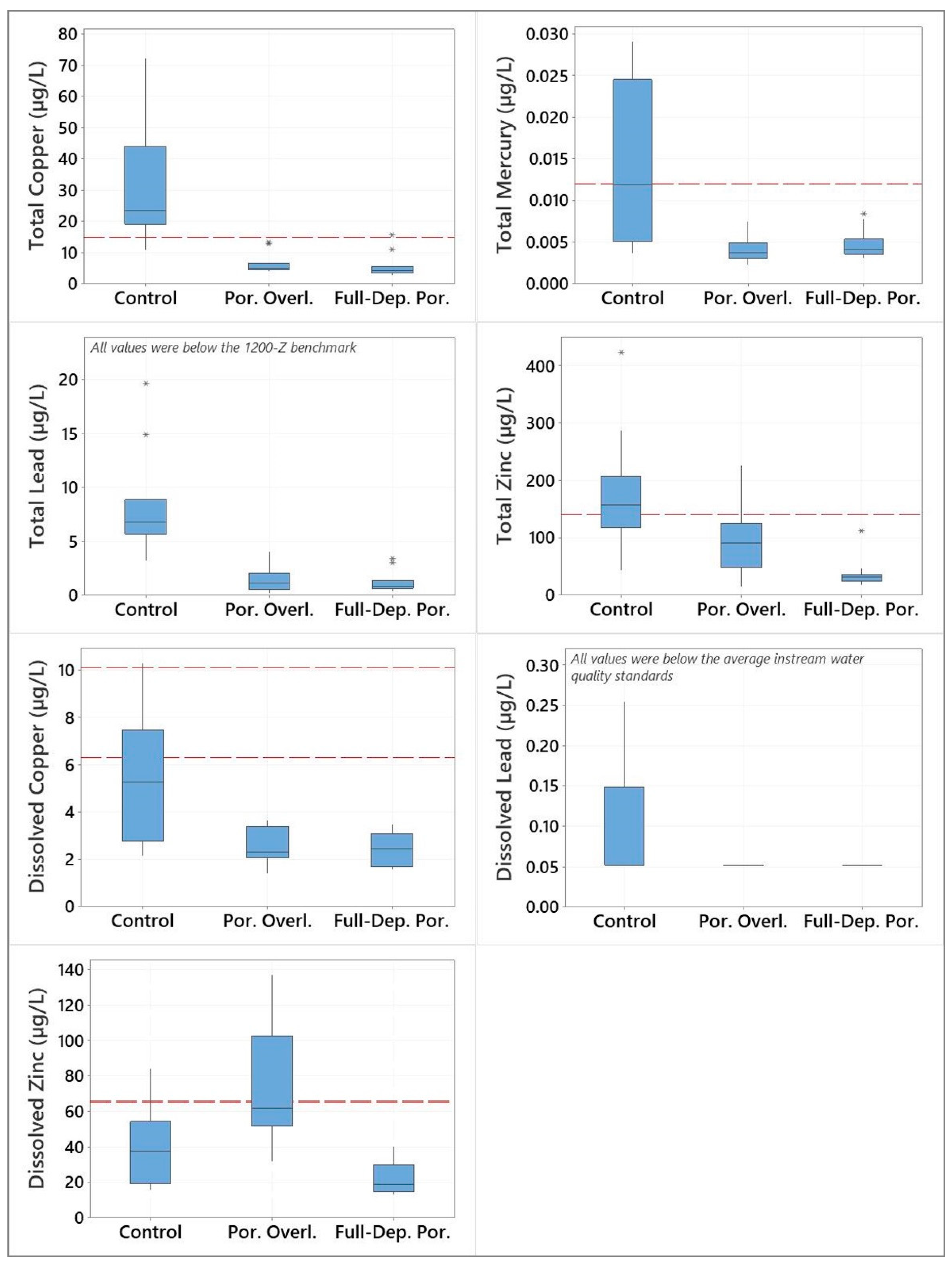
3.3. Metals
3.4. Organic Comppunds
4. Conclusions
Author Contributions
Funding
Data Availability Statement
Acknowledgments
Conflicts of Interest
References
- UN Population Division. World Urbanization Prospects, The 2018 Revision (ST/ESA/SER.A/420). Department of Economic and Social Affairs: New York, NY, USA, 2019. Available online: https://www.un.org/development/desa/pd/sites/www.un.org.development.desa.pd/files/files/documents/2020/Jan/un_2018_wup_report.pdf (accessed on 1 May 2024).
- US Census Bureau. Redefining Urban Areas Following the 2020 Census. U.S. Census Bureau Geography Division: Washington, DC, USA, 2022. Available online: https://www.census.gov/newsroom/blogs/random-samplings/2022/12/redefining-urban-areas-following-2020-census.html (accessed on 1 May 2024).
- McGrane, S.J. Impacts of urbanisation on hydrological and water quality dynamics, and urban water management: a review. Hydro Sci J 2016, 61, 2295-2311. [CrossRef]
- Paul, M.J. and Meyer, J.L. Streams in the urban landscape. Annual Review of Ecol and Syst 2001, 32, 333-365. [CrossRef]
- Walsh, C.J.; Fletcher, T.D. and Ladson, A.R. Stream restoration in urban catchments through redesigning stormwater systems: looking to the catchment to save the stream. J. North American Benth Soc 2005, 24, 690-705. [CrossRef]
- McIntyre, J.K.; Baldwin, D.H.; Beauchamp, D.A. and Scholz, N.L. Low-level copper exposures increase visibility and vulnerability of juvenile coho salmon to cutthroat trout predators. Ecol App 2012, 22, 1460-1471. [CrossRef]
- Bowen, L.; Werner, I. and Johnson, M.L. Physiological and behavioral effects of zinc and temperature on coho salmon (Oncorhynchus kisutch). Hydrobiologia 2006, 559, 161-168. [CrossRef]
- Tian, Z.; Zhao, H.; Peter, K.T.; Gonzalez, M.; Wetzel, J.; Wu, C.; Hu, X.; Prat, J.; Mudrock, E.; Hettinger, R. and Cortina, A.E. A ubiquitous tire rubber–derived chemical induces acute mortality in coho salmon. Science 2021, 371, 185-189. [CrossRef]
- Martins, K.; Hagedorn, B.; Ali, S.; Kennish, J.; Applegate, B.; Leu, M.; Epp, L.; Pallister, C. and Zwollo, P. Tissue phthalate levels correlate with changes in immune gene expression in a population of juvenile wild salmon. Arch of Env Cont and Toxicol 2016, 71, 35-47. [CrossRef]
- Meador, J.P.; Sommers, F.C.; Ylitalo, G.M. and Sloan, C.A. Altered growth and related physiological responses in juvenile Chinook salmon (Oncorhynchus tshawytscha) from dietary exposure to polycyclic aromatic hydrocarbons (PAHs). Can J Fish and Aquatic Sci 2006, 63, 2364-2376. [CrossRef]
- Wethington, B. Green Infrastructure in the City of Portland, OR. City of Portland Bureau of Environmental Services Presentation, January 6, 2015. Available online: https://www.casfm.org/wp-content/uploads/2018/01/CASFM_Lunch_and_Learn_20150126.pdf (accessed on 17 May 2024).
- Environmental Protection Agency (EPA). Benefits of Green Infrastructure. Available online: https://www.epa.gov/green-infrastructure/benefits-green-infrastructure (accessed on 13 May 2024).
- Liu, L. and Jensen, M.B. Green infrastructure for sustainable urban water management: Practices of five forerunner cities. Cities 2018, 74, 126-133. [CrossRef]
- Zhang, W.; Li, Q.; Wang, J.; Meng, Y.; Zhou, Z. Aging Behavior of High-Viscosity Modified Asphalt Binder Based on Infrared Spectrum Test. Materials 2022, 15, 2778. [CrossRef]
- Hsieh, C.; Davis, A.P. Evaluation and optimization of bioretention media for treatment of urban storm water runoff. J. Environ. Eng. 2005, 131, 1521–1531. [CrossRef]
- Davis, A.P.; Hunt, W.; Traver, R.G.; Clar, M. Bioretention technology: Overview of current practice and future needs. J. Environ. Eng. 2009, 135, 109–117. [CrossRef]
- Chapman, C.; Horner, R.R. Performance assessment of street-drainage bioretention system. Water Environ. Res. 2010, 82, 109–119. [CrossRef]
- Trowsdale, S.; Simcock, R. Urban stormwater treatment using bioretention. J. Hydrol. 2011, 397, 167–174. [CrossRef]
- Poor, C.; Membrere, T. and Miyasato, J. Impact of green stormwater infrastructure age and type on water quality. Sustainability 2021, 13, 10484. [CrossRef]
- Okita, J.; Poor, C.; Kleiss, J.M. and Eckmann, T. Effect of green roof age on runoff water quality in Portland, Oregon. J. Green Bldg 2018, 13, 42-54. [CrossRef]
- Environmental Protection Agency (EPA). Permeable Pavements. Stormwater Best Management Practice EPA-832-F-21-031W; Office of Water: Washington, DC, USA, 2021.
- Environmental Protection Agency (EPA). Using Cool Pavements to Reduce Heat Islands. Available online: https://www.epa.gov/heatislands/using-cool-pavements-reduce-heat-islands#2 (accessed on 3 May 2024).
- Haddad, B.; Karaky, H.; Boutouil, M.; Boudart, B. and Sebaibi, N. Investigation Properties of Pervious and Water-Retaining Recycled Concrete to Mitigate Urban Heat Island Phenomena. Sustainability 2023, 15, 5384. [CrossRef]
- Ndon, U.J. and Al-Manaseer, A. Permeable Pavement as a Sustainable Management Option for Highway Stormwater and Safe Use of Roadways; WP Report 12–13; Mineta Transportation Institute: San Jose, CA, USA, 2017.
- Holleran, I.; Wilson, D.J.; Holleran, G.; Walubita, L.F. and Byrony, J. Porous Asphalt—More Than Just Safety. In Proceedings of the IPENZ Transportation Group Conference, Auckland, NZ, 7–9 March 2016.
- Arámbula, E.; Estakhri, C.K.; Martin, A.E.; Trevino, M.; de Fortier Smit, A. and Prozzi, J. Performance and cost effectiveness of permeable friction course (PFC) pavements (No. FHWA/TX-12/0-5836-2); Texas A&M Transportation Institute: College Station, TX, USA, 2013.
- Nassiri, S. and Alsharedah, O. Development of Protocol to Maintain Winter Mobility of Different Classes of Pervious Concrete Pavement Based on Porosity. Final Project Report, Pacific Northwest Transportation Consortium, U.S Department of Transportation: Seattle, WA, USA, 2020.
- Charlesworth, S.M.; Beddow, J. and Nnadi, E.O. The Fate of Pollutants in Porous Asphalt Pavements, Laboratory Experiments to Investigate Their Potential to Impact Environmental Health. Int. J. Environ. Res. Public Health 2017, 14, 666. [CrossRef]
- Pilon, B.S.; Tyner, J.S.; Yoder, D.C. and Buchanan, J.R. The Effect of Pervious Concrete on Water Quality Parameters: A Case Study. Water 2019, 11, 263. [CrossRef]
- Haselbach, L.; Poor, C. and Tilson, J. Dissolved Zinc and Copper Retention from Stormwater Runoff in Ordinary Portland Cement Pervious Concrete. Constr. Bldg. Mater. 2013, 53, 652–657. [CrossRef]
- Jayasuriya, L.N.N.; Kadurupokune, N.; Othman, M. and Jesse, K. Contributing to the Sustainable Use of Stormwater: The Role of Pervious Pavements. Water Sci. Tech. 2007, 56, 69–75. [CrossRef]
- Brattebo, B.O. and Booth, D.B. Long-term Stormwater Quantity and Quality Performance of Permeable Pavement Systems. Water Res. 2003, 37, 4369–4376. [CrossRef]
- Jayakaran, A.D.; Knappenberger, T.; Stark, J.D. and Hinman, C. Remediation of stormwater pollutants by porous asphalt pavement. Water 2019, 11, 520. [CrossRef]
- Roseen, R.M.; Ballestero, T.P.; Houle, J.J.; Briggs, J.F. and Houle, K.M. Water quality and hydrologic performance of a porous asphalt pavement as a storm-water treatment strategy in a cold climate. J. Environ. Eng. 2012 138, 81-89. [CrossRef]
- Alam, T.; Mahmoud, A.; Jones, K.D.; Bezares-Cruz, J.C. and Guerrero, J. A comparison of three types of permeable pavements for urban runoff mitigation in the semi-arid South Texas, USA. Water 2019, 11, 1992. [CrossRef]
- Barrett, M.E.; Kearfott, P. and Malina Jr, J.F. Stormwater quality benefits of a porous friction course and its effect on pollutant removal by roadside shoulders. Water Environ Res, 2006, 78, 2177-2185. [CrossRef]
- Eck, B.J.; Winston, R.J.; Hunt, W.F. and Barrett, M.E. Water quality of drainage from permeable friction course. J. Environ. Eng. 2012, 138, 174-181. [CrossRef]
- Brown, C.; Chu, A.; Van Duin, B. and Valeo, C. Characteristics of sediment removal in two types of permeable pavement. Water Qual. Res. J. 2009, 44, 59-70. [CrossRef]
- Pagotto, C.; Legret, M. and Le Cloirec, P. Comparison of the hydraulic behaviour and the quality of highway runoff water according to the type of pavement. Water Res. 2000, 34, 4446-4454. [CrossRef]
- Legret, M.; Colandini, V. and Le Marc, C. Effects of a porous pavement with reservoir structure on the quality of runoff water and soil. Science Total Environ. 1996, 189, 335-340. [CrossRef]
- Zhao, Y. and Zhao, C. Lead and zinc removal with storage period in porous asphalt pavement. Water Sa 2014, 40, 65-72. [CrossRef]
- Zhang, K.; Yong, F.; McCarthy, D.T. and Deletic, A. Predicting long term removal of heavy metals from porous pavements for stormwater treatment. Water Res. 2018, 142, 236-245. [CrossRef]
- Weiss, P.T.; Kayhanian, M.; Gulliver, J.S. and Khazanovich, L. Permeable pavement in northern North American urban areas: research review and knowledge gaps. Intl J. Pavement Engr. 2019, 20, 143-162. [CrossRef]
- Legret, M. and Colandini, V. Effects of a porous pavement with reservoir structure on runoff water: Water quality and fate of heavy metals. Water Sci. and Technol. 1999, 39, 111-117. [CrossRef]
- Dierkes, C.; Kuhlmann, L.; Kandasamy, J. and Angelis, G. Pollution Retention Capability and Maintenance of Permeable Pavements. In Proceedings of the 9th International Conference on Urban Drainage, Portland, OR, USA, 8–13 September 2002; p. 444.
- Klenzendorf, J.B.; Eck, B.J.; Charbeneau, R.J. and Barrett, M.E. Quantifying the behavior of porous asphalt overlays with respect to drainage hydraulics and runoff water quality. Environ. & Engr. Geoscience 2012, 18, 99-111. [CrossRef]
- He, J.; Huang, J.; Valeo, C. and Chu, A. Water Quality Treatment Efficacy Model of Porous Concrete Pavement. J. Water Res. and Hydraul. Engr. 2015, 4, 159-168. [CrossRef]
- Poor, C.; Kaye, J.; Struck, R. and Gonzalez, R. Permeable Pavement in the Northwestern United States: Pollution Source or Treatment Option? Sustainability 2023, 15, 12926. [CrossRef]
- Boving, T.B.; Stolt, M.H.; Augenstern, J. and Brosnan, B. Potential for localized groundwater contamination in a porous pavement parking lot setting in Rhode Island. Environ. Geol. 2008, 55, 571-582. [CrossRef]
- Selvakumar, A. and O’Connor, T.P. Organism Detection in Permeable Pavement Parking Lot Infiltrates at the Edison Environmental Center, New Jersey. Water Environ. Res. 2018, 90, 21-29. [CrossRef]
- Tota-Maharaj, K. and Scholz, M. Efficiency of permeable pavement systems for the removal of urban runoff pollutants under varying environmental conditions. Environ. Prog. & Sustain. Energy 2010, 29, 358-369. [CrossRef]
- United States Geological Survey (USGS). City of Portland HYDRA Rainfall Network. USGS Oregon Water Science Center: Reston, VA, USA, 2024. Available online: https://or.water.usgs.gov/non-usgs/beshttps://www.census.gov/newsroom/blogs/random-samplings/2022/12/redefining-urban-areas-following-2020-census.html (accessed on 1 July 2024).
- Rice, E.W.; Baird, R.B.; Eaton, A.D.; Clesceri, L.S. Standard Methods for the Examination of Water and Wastewater, 22nd ed.; American Public Health Association: Washington, DC, USA, 2012.
- Washington Department of Ecology. Technology Assessment Protocol – Ecology (TAPE) Process Overview; Washington Department of Ecology: Olympia, WA, USA, 2018.
- Kayhanian, M., Singh, A., and Meyer, S. Impact of non-detects in water quality data on estimation of constituent mass loading. Water Sci. and Technol. 2002, 45, 219-225. [CrossRef]
- Helsel, D.R., and Hirsch, R.M. Techniques of Water-Resources Investigations of the United States Geological Survey: Statistical Methods in Water Resources. United States Geological Survey: Reston, VA, 2002.
- Coupe, S.J., Smith, H.G., Newman, A.P., and Puehmeier, T. Biodegredation and microbial diversity within permeable pavements. Euro. J. of Protistology 2003, 39, 495-498. [CrossRef]
- Fathollahi, A., Coupe, S.J., El-Sheikh, A.H., and Sañudo-Fontaneda, L.A. The biosorption of mercury by permeable pavement biofilms in stormwater attenuation. Sci. of the Tot. Environ. 2020, 741, 140411. [CrossRef]
- Mbanaso, F.U., Coupe, S.J., Charlesworth, S.M., Nnadi, E.O., and Ifelebuegu, A.O. Potential microbial toxicity and non-target impact of different concentrations of glyphosate-containing herbicide (GCH) in a model pervious paving system. Chemosphere 2014, 100, 34-41. http://dx.doi.org/10.1016/j.chemosphere.2013.12.091.
- Clary, J., Pitt, R, and Steets, B. Pathogens in Urban Stormwater. Urban Water Resources Research Council Technical Report, Water Resources Institute, American Society of Civil Engineers: Reston, VA, USA, 2014.
- Snoeyink, V.L, and and Jenkins, D. Water Chemistry; Wiley: New York, NY, USA, 1980.
- Mitchell, C. J., and Jayakaran, A. D. Mitigating tire wear particles and tire additive chemicals in stormwater with permeable pave-ments. Sci. of the Total Environ 2024, 908, 168236. [CrossRef]
- Tian, Z., Gonzalez, M., Rideout, C.A., Zhao, H.N., Hu, X., Wetzel, J., Mudrock, E., James, C.A., McIntyre, J.K. and Kolodziej, E.P. 6PPD-quinone: Revised toxicity assessment and quantification with a commercial standard. Environ. Sci & Technol. Letters 2022, 9, 140-146. [CrossRef]
- Lo, B.P., Marlatt, V.L., Liao, X., Reger, S., Gallilee, C., Ross, A.R. and Brown, T.M.. Acute toxicity of 6PPD-quinone to early life stage juvenile chinook (Oncorhynchus tshawytscha) and coho (Oncorhynchus kisutch) salmon. Environ. Toxicol and Chem 2023, 42, 815-822. [CrossRef]
- Hiki, K. and Yamamoto, H. The tire-derived chemical 6PPD-quinone is lethally toxic to the white-spotted char Salvelinus leuco-maenis pluvius but not to two other salmonid species. Environ. Sci & Technol. Letters 2022, 9, 1050-1055. [CrossRef]
- Brinkman, M., Montgomery, D., Selinger, S., Miller, J.G., Stock, E., Alcaraz, A.J., Challis, J.K., Weber, L., Janz, D., Hecker, M. and Wiseman, S. Acute toxicity of the tire rubber-derived chemical 6PPD-quinone to four fishes of commercial, cultural, and ecological importance. Environ. Sci & Technol. Letters 2022, 9, 333-338. [CrossRef]
- Hua, X. and Wang, D. Tire-rubber related pollutant 6-PPD quinone: A review of its transformation, environmental distribution, bioavailability, and toxicity. Jour. of Haz. Mat. 2023, 459, 132265. [CrossRef]






| Analyte | Method |
|---|---|
| Turbidity | Hach 2100Q Turbidimeter |
| pH, conductivity, temperature, dissolved oxygen | YSI Pro Plus Multi-Meter Probe |
| Ammonia, nitrate | EPA 300.0 |
| Phosphate | EPA 365.1 |
| Total Kjeldahl Nitrogen (TKN) | EPA 351.2 |
| Total Phosphorus | EPA 365.4 |
| 5-Day Biochemical Oxygen Demand (BOD) | SM 5210B |
| Total Suspended Solids (TSS) | SM 2540D |
| Total mercury, lead, copper, zinc | EPA 200.8 |
| Dissolved lead, copper, zinc | EPA 200.8 |
| E. coli | SM 9223B |
| PAHs and phthalates | EPA 8270-SIM |
| 6PPD-quinone | ALS Environmental Laboratories In-House Method |
| Category | Analyte | Porous Overlay | Full-Depth Porous |
|---|---|---|---|
| Particles | Total Suspended Solids | 82 | 87 |
| Turbidity | 83 | 90 | |
| Nutrients, BOD, and E. coli | Total Kjeldahl Nitrogen | 59 | 64 |
| Ammonia | 64 | 76 | |
| Nitrate | -231 | -113 | |
| Total Phosphorus | 61 | 64 | |
| Orthophosphate | -78 | -39 | |
| Biochemical Oxygen Demand | 69 | 60 | |
| E. coli | 4 | 44 | |
| Metals | Total Copper | 76 | 81 |
| Total Lead | 82 | 85 | |
| Total Mercury | 60 | 56 | |
| Total Zinc | 44 | 70 | |
| Dissolved Copper | 50 | 52 | |
| Dissolved Lead | 35 | 35 | |
| Dissolved Zinc | -108 | 38 | |
| Organic Compounds | Total PAHs | 55 | 69 |
| Di-2-ethylhexyl phthalate | 77 | 68 | |
| 6PPD-quinone | 80 | 90 |
Disclaimer/Publisher’s Note: The statements, opinions and data contained in all publications are solely those of the individual author(s) and contributor(s) and not of MDPI and/or the editor(s). MDPI and/or the editor(s) disclaim responsibility for any injury to people or property resulting from any ideas, methods, instructions or products referred to in the content. |
© 2024 by the authors. Licensee MDPI, Basel, Switzerland. This article is an open access article distributed under the terms and conditions of the Creative Commons Attribution (CC BY) license (http://creativecommons.org/licenses/by/4.0/).