Submitted:
08 June 2025
Posted:
09 June 2025
You are already at the latest version
Abstract
Keywords:
1. Introduction
- (1)
- To assess current recycling accessibility across Costa Rican provinces using geospatial and demographic data;
- (2)
- To simulate infrastructure expansion scenarios to improve household access in underserved areas;
- (3)
- To model recycling participation and environmental outcomes using ABM and RL;
- (4)
- To estimate the financial feasibility of proposed strategies through a cost model incorporating setup, labor, operational, and energy expenses; and
- (5)
- To evaluate parameter sensitivity through contour-based simulations, informing scalable and economically viable policy design.
2. Literature Review
2.1. Current State of Waste Management
2.2. Landfill Capacity, Waste Flows, and Global Recycling Comparison
2.3. Government Initiatives and Policies
2.5.1. Waste Management Innovation Index
2.6. National Waste-to-Energy Initiatives
2.7. Computational Modeling in Waste Management
3. Methodology
3.1. Geospatial Data Integration and Household Simulation

- Population: total number of inhabitants in the province
- Occupancy Rate: fraction of dwellings that are occupied
- Average Household Size: mean number of individuals per household
3.2. Distance Computation and Accessibility Binning

- dⅈ is the Euclidean distance from simulated household ⅈ to the nearest facility
- 1X≤dⅈ<Y is 1 if dⅈ falls in the interval [X,Y), 0 otherwise
- n is the number of sampled household points (here, 100)
- H/n is the scaling factor converting samples to actual households
3.3. Agent-Based Modeling and Machine Learning Integration

- r is the agent’s baseline recycling rate (drawn from (0.096,0.01)) and clipped to [0, 1]),
- I∈{0,1} denotes the presence of a policy incentive,
- P∈{0,1} denotes the presence of a policy penalty,
- 1(U=urban) equals 1 for urban agents and 0 for rural, and
- A∈{0,…,4} is the accessibility score.
. If
falls below 0.10, all agents in that province have III set to 1; otherwise III is set to 0. Daily waste generation per household W (kg · household⁻¹ · day⁻¹) is computed as (Eq.4):
- R equals 0.59 kg/person/day for urban households or 0.55 kg/person/day for rural,
- p is the household size, and
- the factor 0.13 represents the PAYT discount when I=1

- ΔCO2 is the amount of CO₂ emissions avoided (in kg CO₂-eq),
- W is the total household waste generated by the agent (in kg),
- 0.75 is the emission factor for landfilled mixed recyclables (kg CO₂-eq per kg waste).

- B is the potential biogas yield (in kWh),
- 30% of W is assumed to be organic waste,
- 0.25 is the biogas yield coefficient (kWh per kg organic waste).

- Elandfill is the CO₂-equivalent emissions from landfilling non-recycled waste (in kg CO₂-eq),
- 94% represents the share of municipal waste that reaches landfills in Costa Rica,
- 0.50 is the emission factor for landfilled general waste (kg CO₂-eq per kg).
3.4. Reinforcement Learning and Machine Learning Integration in Agent-Based Modeling

- Qt(st,at) is the current action-value for state st and action αt.
- α=0.05 is the learning rate.
- rt is the immediate reward received after taking action αt.
- γ=0.9 is the discount factor for future rewards.
- st+1and αt+1 are the next state and next action under the on-policy SARSA scheme.

- ΔCO2,t= Wt ⋅ αt⋅ fCO2 is the kilograms of CO₂ avoided, with Wt the household waste generated and fCO2∼U(17.5,21.6) kg CO₂-eq/kg.
- At∈{0,…,4} is the agent’s discrete accessibility score (0 = best access, 4 = worst).
- The “equity bonus” of 0.05 is applied when a province’s cumulative unrecycled-waste backlog exceeds 1,000 kg.

- αt=1 denotes “recycle” and αt=0 denotes “do not recycle.”
- εt is the exploration rate at time ttt, decayed by 0.99 each step from an initial value of 0.2.
- The argmax policy uses the current Q-table’s best action for the agent’s state.
3.5. Economic Evaluation Model

-
Ccollection=Wgen×μcollection• Total waste generated × times× unit collection cost
-
Cdisposal=Wlf×μdisposal• Waste landfilled × times× unit disposal cost
-
Ctransport=Wrec×μtrans• Recycled waste ×times× transport cost
-
Cops=Wrec×μops• Recycled waste × times× operational cost
-
Cprocessing=Wgen×μproc• Total waste × times× processing cost
-
Csetup=Nfac×μsetup• Number of facilities × times× setup cost
-
Cmaint=Nfac×μmaint• Number of facilities × times× annual maintenance cost
-
Clabor=Nworkers×μlabor×T• Number of workers × times× monthly labor cost ×\times× months
-
Cenergy=Wrec×ekWh×μelec• Recycled waste × times× kWh per ton ×\times× electricity cost
-
Cfuel=Wgen×fL/t×μgas• Total waste × times× liters per ton ×\times× gasoline cost
3.6. Sensitivity Analysis
4. Results
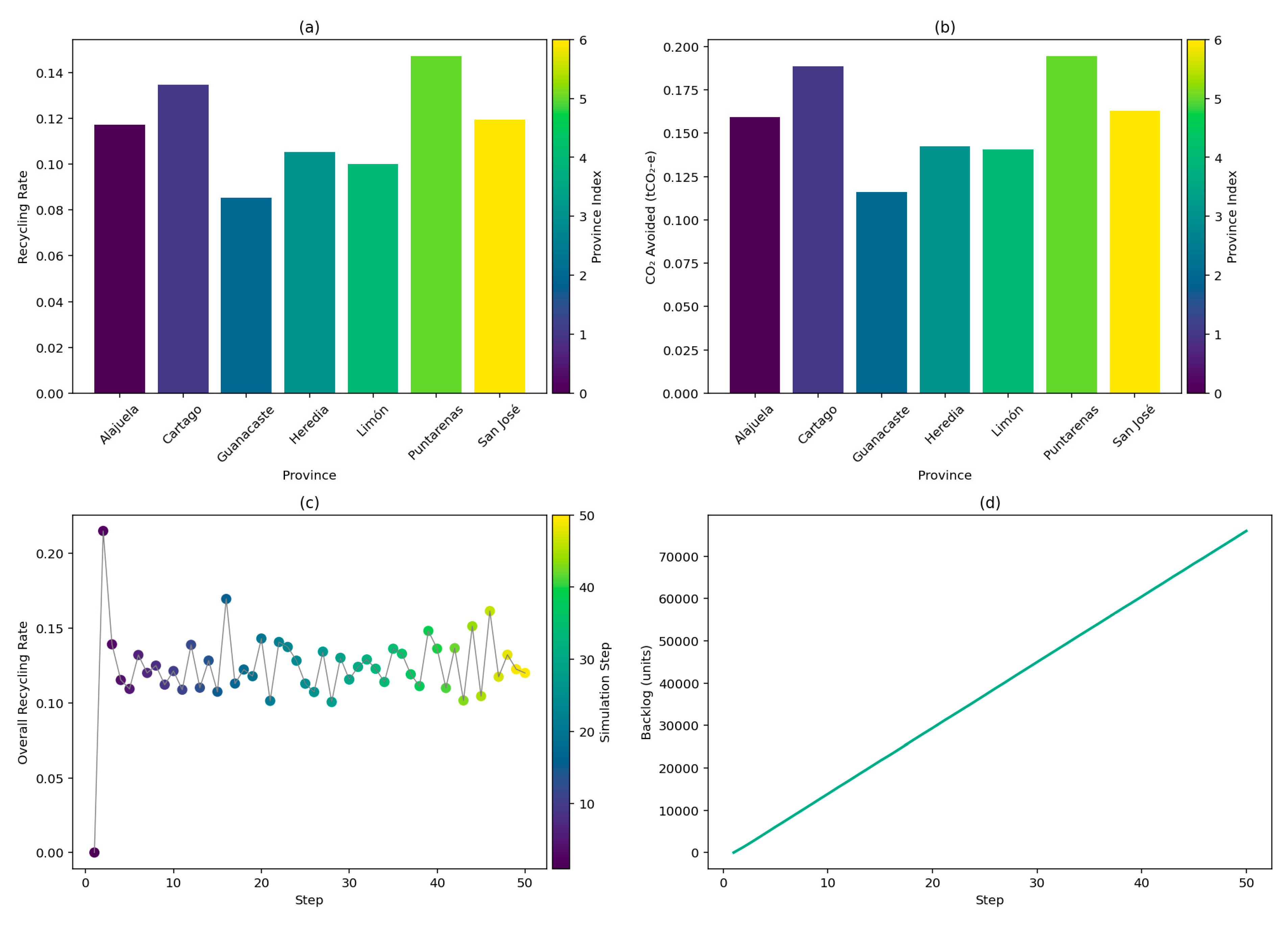
4.1. Spatial Accessibility
4.2. Recycling Rates by Province Using ABM Simulation Model
4.3. Reinforcement Learning Outcomes: Recycling Uptake and Environmental Effects
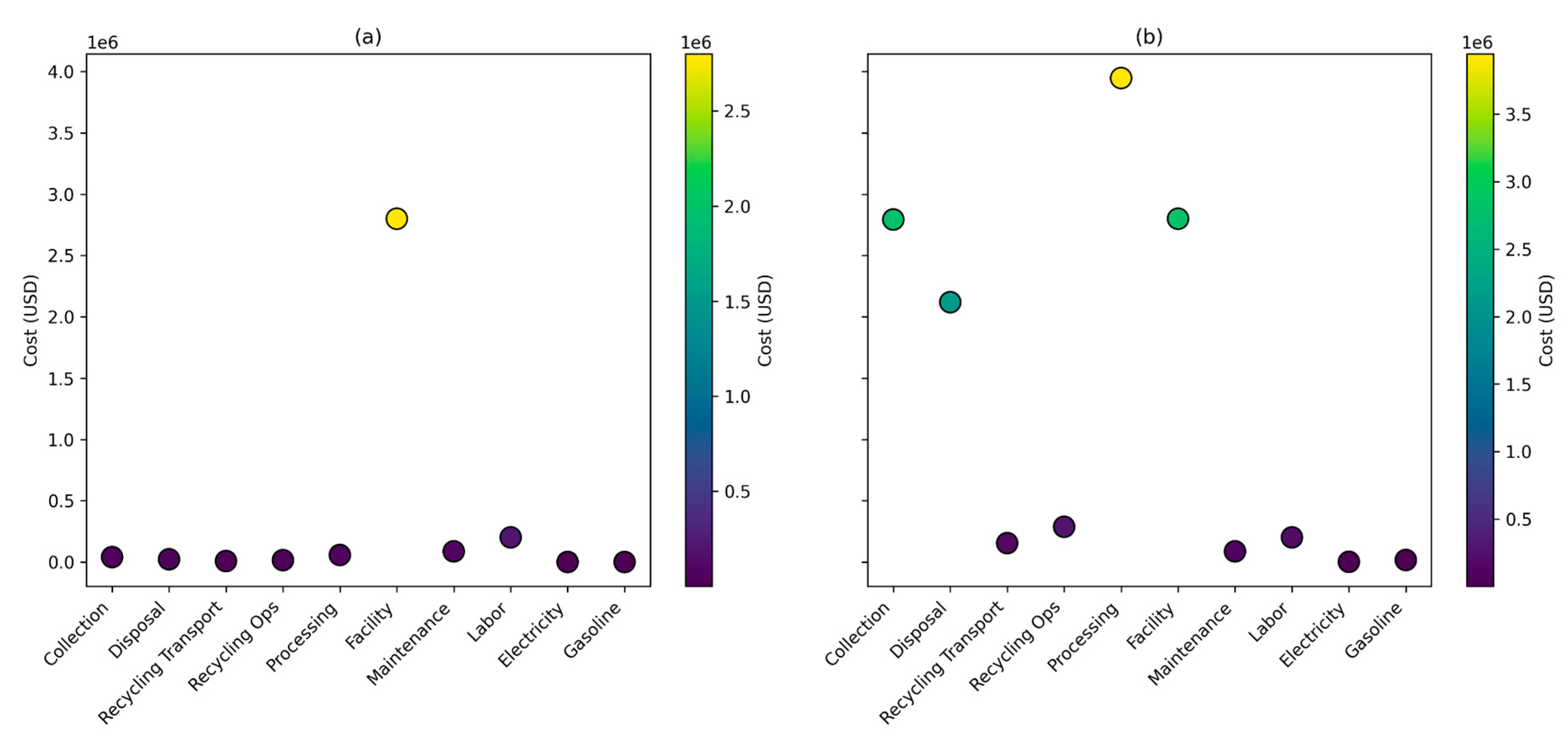
4.4. Economic Comparison of the Agent-Based and Reinforcement Learning Strategies
4.5. Sensitivity Analysis Results
6. Discussion
7. Conclusion
Ethics Statement
Conflict of Interest Declaration
Funding Declaration
Declaration of Generative AI and AI-assisted Technologies in the Writing Process
Author Contributions
Data Availability Statement
References
- Ashraf, A. I. , Mohareb, E., Vahdati, M., & Abbas, F. (2025). Environmental life-cycle assessments of decentralized municipal solid waste management: A novel waste-to-compost approach. Discover Sustainability, 6, 138. [CrossRef]
- Baltodano-Goulding, R. , & Poveda-Montoya, A. (2023). Unsaturated seepage analysis for an ordinary solid waste sanitary landfill in Costa Rica. E3S Web of Conferences. [CrossRef]
- Banco Interamericano de Desarrollo. (2021). Solid waste management in Latin America and the Caribbean. Retrieved from https://publications.iadb.org/en/solid-waste-management-latin-america-and-caribbean.
- Becerra, E. (2021, March 18). Waste management ‘one of biggest environmental problems,’ Costa Rica says. The Tico Times. Retrieved from https://ticotimes.net/2021/03/18/waste-management-one-of-biggest-environmental-problems-costa-rica-says.
- Bravo, L. M. R. , Cosio Borda, R. F., Quispe, L. A. M., Rodríguez, J. A. P., Ober, J., & Khan, N. A. (2024). The role of internet and social interactions in advancing waste sorting behaviors in rural communities. Resources, 13(4), 57. [CrossRef]
- Campos Rodríguez, R., & Soto Córdoba, S. M. (2014). Estudio de generación y composición de residuos sólidos en el cantón de Guácimo, Costa Rica. Tecnología en Marcha, 27. https://revistas.tec.ac.cr/.
- Ceschi, A., Sartori, R., Dickert, S., Scalco, A., Tur, E. M., Tommasi, F., & Delfini, K. (2021). Testing a norm-based policy for waste management: An agent-based modeling simulation on nudging recycling behavior. Journal of Environmental Management, 294, Article 112938. [CrossRef]
- Chaves Brenes, K. (2024, February 14). San José: ecoins – promoting the circular economy and decarbonisation through public-private partnerships. International Institute for Environment and Development. Retrieved from https://www.iied.org/san-jose-ecoins-promoting-circular-economy-decarbonisation-through-public-private-partnerships.
- Cohen, J., Gil, J., & Rosado, L. (2025). Exploring urban scenarios of individual residential waste sorting using a spatially explicit agent-based model. Waste Management, 193, 350–362. [CrossRef]
- Dawar, I., Srivastava, A., Singal, M., Dhyani, N., & Rastogi, S. (2025). A systematic literature review on municipal solid waste management using machine learning and deep learning. Artificial Intelligence Review, 58, Article 11196. [CrossRef]
- Dirección de Gestión de la Calidad Ambiental (DIGECA). (2025, febrero). Informe anual del estado de implementación de los Programas de Gestión Ambiental Institucional (PGAI) 2023–2024. Ministerio de Ambiente y Energía (MINAE). Recuperado de http://www.digeca.go.cr/documentos/informe-anual-del-estado-deimplementacion- de-los-programas-de-gestion-ambiental-6.
- Elsheekh, K. M., Kamel, R. R., Elsherif, D. M., & Shalaby, A. M. (2021). Achieving sustainable development goals from the perspective of solid waste management plans. Journal of Engineering and Applied Science, 68(5). [CrossRef]
- Espinosa-Aquino, B., Gabarrell Durany, X., & Quirós Vargas, R. (2023). The role of informal waste management in urban metabolism: A review of eight Latin American countries. Sustainability, 15(1826). [CrossRef]
- Estado de la Nación. (2010). Data on CO₂ emissions from Costa Rican landfills. https://https://estadonacion.or.cr/.
- European Environment Agency. (2023). Waste recycling in Europe. Retrieved from https://www.eea.europa.eu/en/analysis/indicators/waste-recycling-in-europe.
- Federal Ministry for the Environment, Nature Conservation, Nuclear Safety, and Consumer Protection (BMUV). (2023). Waste management in Germany 2023: Facts, data, figures. Retrieved from BMUV website. https://www.bmuv.de/.
- Fernandez, I. (2024, July 17). Costa Rica on the brink of a garbage crisis. The Tico Times. https://ticotimes.net/2024/07/17/costa-rica-on-the-brink-of-a-garbage-crisis.
- Fontaine, M., Wang, C., & Boulanger, P. (2024). Sustainability and environmental performance in selective collection of residual materials: Impact of modulating citizen participation through policy and incentive implementation. Resources, 13, 151. https://ideas.repec.org/a/gam/jresou/v13y2024i11p151-d1505895.html.
- Gamal, Y., Heppenstall, A., Strachan, W., Colasanti, R., & Zia, K. (2025). An analysis of spatial and temporal uncertainty propagation in agent-based models. Philosophical Transactions of the Royal Society A, 383(2293), 20240229. [CrossRef]
- Gerden, E. (2024). Brazil’s recycling best is yet to come. Retrieved from https://recyclinginternational.com/latest-articles/brazils-recycling-best-is-yet-to-come/57145/.
- Giraldo-Almario, I., Rueda-Saa, G., & Uribe-Ceballos, J. R. (2024). Wasteaware adaptation to the context of a Latin American country: Evaluation of the municipal solid waste management in Cali, Colombia. Journal of Material Cycles and Waste Management, 26(3), 908–922. [CrossRef]
- GlobalPetrolPrices.com. (2024). Costa Rica Precios de la gasolina. Retrieved from https://es.globalpetrolprices.com/Costa-Rica/gasoline_prices/.
- Gómez, C. C. (2023). Circular economy plastic policies in Costa Rica: A critical policy analysis. Circular Innovation Lab. ISBN 978-87-94507-05-9.https://www.circularinnovationlab.com/post/circular-economy-plastic-policies-in-costa-rica-critical-policy-analysis.
- Graham, C. C. (2024a). The role of Geographic Information Systems in mitigating plastics pollution in the Global South—A spatial analysis of recycling facilities in Costa Rica. Science of the Total Environment, 937, 173396. [CrossRef]
- Herrera-Murillo, J. , Rojas-Marín, J. F., & Anchía-Leitón, D. (2016). Tasas de generación y caracterización de residuos sólidos ordinarios en cuatro municipios del Área Metropolitana Costa Rica. [CrossRef]
- Hidalgo Arroyo, I. (2021, July 2). Ahora podrá adquirir ecoins cada vez que deposite residuos ordinarios de forma correcta. Delfino CR. https://delfino.cr/2021/07/ahora-podra-adquirir-ecoins-cada-vez-que-deposite-residuos-ordinarios-de-forma-correcta.
- Holland Circular Hotspot. (2021). Waste Management Country Report: Costa Rica. Retrieved from https://hollandcircularhotspot.nl/wp-content/uploads/2021/04/Report_Waste_Management_Costa_Rica_20210329.pdf.
- Instituto Costarricense de Electricidad (ICE). (2022). Biogas Project. https://www.grupoice.com/.
- Instituto Costarricense de Electricidad. (2024). Tarifas enero 2024: Alcance N°257 Gaceta N°237. Retrieved from https://www.tarifas.cr.
- Instituto Nacional de Estadística y Censos. (2022). Estimación de población y vivienda: Provincias de Costa Rica. INEC. Retrieved from https://inec.cr.
- Khallaf, N., Abd-El Rouf, O., Algarni, A. D., Hadhoud, M., & Kafafy, A. (2025). Enhanced vehicle routing for medical waste management via hybrid deep reinforcement learning and optimisation algorithms. Frontiers in Artificial Intelligence, 8, 1496653. [CrossRef]
- Klein, C. (2024). Recycling rate of waste Japan FY 2013-2022. Statista. Retrieved from https://www.statista.com/statistics/1127509/japan-recycling-rate-waste/.
- Kwon, Y., Lee, S., Bae, J., Park, S., Moon, H., Lee, T., Kim, K., Kang, J., & Jeon, T. (2024). Evaluation of incinerator performance and policy framework for effective waste management and energy recovery: A case study of South Korea. Sustainability, 16(1), 448. [CrossRef]
- Landgeist. (2024). Germany: Recycling Rate. Retrieved from https://landgeist.com/2024/04/06/recycling-rate/.
- Le Page, C., Becu, N., Bommel, P., & Bousquet, F. (2013). Agent-based modeling and simulation applied to environmental management. Agricultural Systems, 116, 10–15. [CrossRef]
- Li, F. (2025, January 31).El manejo óptimo de la basura entre municipalidades, cooperativas y asociaciones de desarrollo: Caso Costa Rica. La República. https://www.larepublica.net/noticia/el-manejo-optimo-de-la-basura-entre-municipalidades-cooperativas-y-asociaciones-de-desarrollo-caso-costa-rica.
- Lino, F. A. M., Ismail, K. A. R., & Castañeda-Ayarza, J. A. (2023). Municipal solid waste treatment in Brazil: A comprehensive review. Energy Nexus, 11, 100232. https://doi.org/10.1016/j.nexus.2023.100232. [CrossRef]
- Messina, G., Tiezzi, E., Marchettini, N., & Bastianoni, S. (2023). ‘Pay as you own’ or ‘pay as you throw’? A counterfactual evaluation of alternative financing schemes for waste services. Ecological Economics, 207, 107701. [CrossRef]
- Mihai, F.-C., Gündoğdu, S., Markley, L. A., Olivelli, A., Khan, F. R., Gwinnett, C., Gutberlet, J., Reyna-Bensusan, N., Llanquileo-Melgarejo, P., Meidiana, C., Elagroudy, S., Ishchenko, V., Penney, S., Lenkiewicz, Z., & Molinos-Senante, M. (2022). Plastic Pollution, Waste Management Issues, and Circular Economy Opportunities in Rural Communities. Sustainability, 14(1), 20. [CrossRef]
- Miller, H. J., & Shaw, S. (2001). Geographic information systems for transportation: Principles and applications. Oxford University Press.https://academic.oup.com/book/53758.
- Ministerio de Ambiente y Energía, Costa Rica. (2023). Estrategias sostenibles de gestión de residuos. Gobierno de Costa Rica. https://www.ministeriodesalud.go.cr/index.php/prensa/43-noticias-2021/866-gobierno-presenta-plan-de-accion-para-la-gestion-integral-de-residuos.
- Ministerio de Salud de Costa Rica. (2021). Report waste management Costa Rica. Retrieved from https://www.ministeriodesalud.go.cr/.
- Ministerio de Salud de Costa Rica. (2022). Política Nacional de Gestión Integral de Residuos 2022–2032: Línea base para la gestión integral de residuos. Retrieved from https://www.ministeriodesalud.go.cr/.
- Monge Guevara, G. (2025, May 30). Residuos sólidos municipales: una crisis en busca de solución. La Nación. https://www.nacion.com/opinion/foros/residuos-solidos-municipales-una-crisis-en-busca/KZLW6VVA4RFC5K7OU4TH55E5PE/story/.
- OECD. (2023). OECD Environmental Performance Reviews: Costa Rica 2023. [CrossRef]
- OECD (2025), OECD Economic Surveys: Costa Rica 2025, OECD Publishing, Paris. [CrossRef]
- Pendyala, A., Atamna, A., & Glasmachers, T. (2024). Solving a real-world optimisation problem using Proximal Policy Optimisation with curriculum learning and reward engineering. [CrossRef]
- Procuraduría de la República de Costa Rica. (2019). Ley para Combatir la Contaminación por Plástico y Proteger el Ambiente, N° 9786. Sistema Costarricense de Información Jurídica. http://www.pgrweb.go.cr/scij/Busqueda/Normativa/Normas/nrm_texto_completo.aspx?nValor1=1&nValor2=90187.
- Quesada Cordero, M. (2024, April 8). How many Costa Ricans participate in recycling? El Colectivo 506. https://elcolectivo506.com.
- Recycling Partnership. (2024). State of Residential Recycling in the U.S. Retrieved from the uploaded document. https://recyclingpartnership.org.
- Rodríguez, V. (2025, March 20).La crisis de los residuos: no es quién o dónde, sino cuánto. Delfino.CR. https://delfino.cr/2025/03/la-crisis-de-los-residuos-no-es-quien-o-donde-sino-cuanto.
- Rodríguez, I. (2025, May 2). ¿Qué sucederá con la basura de Costa Rica? Esto dice nuevo reglamento de Ministerio de Salud. La Nación. https://www.nacion.com/el-pais/que-sucedera-con-la-basura-de-costa-rica-esto-dice/EF54LNEVSBB5NMYM4VKQ66DWH4/story/.
- Rodríguez, I. (2025, May 3). Costa Rica se queda sin espacio para su basura: dos rellenos sanitarios están cerca de su límite. La Nación. https://www.nacion.com/el-pais/costa-rica-se-queda-sin-espacio-para-su-basura-dos/F5YFAXPLRFCJXJKXMBSU7Z4JRE/story/.
- Rojas Robles, E. R. (2025, April 1).La disposición de residuos en la GAM: una crisis inminente y la urgencia de soluciones responsables. Delfino.CR. https://delfino.cr/2025/04/la-disposicion-de-residuos-en-la-gam-una-crisis-inminente-y-la-urgencia-de-soluciones-responsables.
- Sandhi, A., & Rosenlund, J. (2024). Municipal solid waste management in Scandinavia and key factors for improved waste segregation: A review. Cleaner Waste Systems, 8, 100144. [CrossRef]
- Sert, E., Bar-Yam, Y., & Morales, A. J. (2020). Segregation dynamics with reinforcement learning and agent-based modeling. Scientific Reports, 10(1), 11771. [CrossRef]
- Seoul Metropolitan Government. (2023). Seoul to increase recycling rate to 79% by 2026. Retrieved from https://english.seoul.go.kr/seoul-to-increase-recycling-rate-to-79-by-2026/.
- Spirito, C. (2024). Artificial intelligence applications in reverse logistics: How technology could improve return and waste management creating value (Master's thesis, Politecnico di Torino). https://webthesis.biblio.polito.it/31999/.
- Swedish Environmental Protection Agency. (2024). Swedish recycling and beyond. Retrieved from https://sweden.se/climate/sustainability/swedish-recycling-and-beyond.
- Tian, X., Peng, F., Wei, G., & Xiao, C. (2025). Agent-based modeling in solid waste management: Advantages, progress, challenges and prospects. Environmental Impact Assessment Review, 110, 107723. [CrossRef]
- Tico Times. (2024, November 1). ICE unveils biogas plan to combat Costa Rica’s growing waste management crisis. The Tico Times. https://ticotimes.net/2024/11/01/ice-unveils-biogas-plan-to-combat-costa-ricas-growing-waste-management-crisis.
- United Nations. (2023). Transforming our world: The 2030 agenda for sustainable development. Retrieved from https://sustainabledevelopment.un.org/post2015/transformingourworld.
- Vega, L. P., Bautista, K. T., Campos, H., Daza, S., & Vargas, G. (2024). Biofuel production in Latin America: A review for Argentina, Brazil, Mexico, Chile, Costa Rica, and Colombia. Energy Reports, 11, 28–38. [CrossRef]
- World Intellectual Property Organization. (2024). Global Innovation Index 2024: Unlocking the Promise of Social Entrepreneurship. Geneva: WIPO. [CrossRef]
- Zuccotto, M., Castellini, A., Torre, D. L., et al. (2024). Reinforcement learning applications in environmental sustainability: A review. Artificial Intelligence Review, 57, Article 88. [CrossRef]





| Region/Country | Recycling Rate (%) | Key Contributing Factors | References |
|---|---|---|---|
| European Union | 46% (2020) | Varies across member states; strong policies and infrastructure | (European Environment Agency, 2023) |
| Germany | 69.3% (2024) | Stringent waste separation, strong regulations | Landgeist, 2024 |
| United States | 21% (2024) | State-level variations, mixed public participation | Recycling Partnership, 2024 |
| Japan | 20% (2023) | Meticulous waste sorting, but lower recycling infrastructure | Klein, 2024 |
| Brazil | 4% (2024) | Driven by informal sector, lack of formal infrastructure | Gerden, 2024 |
| South Korea | 69% (2023) | Public involvement, advanced waste sorting systems | Seoul Metropolitan Government, 2023 |
| Sweden | 50% (2024) | High integration of Waste-to-Energy (WtE) technologies | Swedish Environmental Protection Agency, 2024 |
| Costa Rica | 9.6% | High landfill dependency, minimal recycling infrastructure | OECD, 2023 |
| Initiative | Goal | Target Year | Reference |
|---|---|---|---|
| Environmental Health Route Policy | Increase recycling rate to 25% | 2033 | (DIGECA, 2025) |
| Environmental Health Route Policy | Ensure regular garbage collection in 34% of the territory | 2023 | (DIGECA, 2025) |
| Environmental Health Route Policy | Reduce per capita waste generation by 10% | 2025 | (DIGECA, 2025) |
| National Circular Economy Strategy | Promote circular economy practices | Ongoing | Gómez, 2023; Holland Circular Hotspot, 2021 |
| Law No. 9786 (Law to Combat Plastic Pollution and Protect the Environment) | Drastically reduce single-use plastic usage and promote sustainable alternatives | 2019 | Procuraduría de la República de Costa Rica, 2024 |
| Country | Technological Advancements | Policy Innovation | Public Engagement | Infrastructure Development | Sustainability Impact | Overall Index Score | References |
|---|---|---|---|---|---|---|---|
| Germany | High | High | High | High | High | 9/10 | BMUV, 2023 |
| United States | High | High | High | High | Moderate | 9/10 | WIPO, 2024 |
| Japan | High | High | High | Moderate | Moderate | 8/10 | Klein, 2024 |
| Brazil | Low | Low | Low | Low | Low | 3/10 | Lino et al., 2023 |
| South Korea | High | High | High | High | High | 9/10 | Kwon et al., 2024 |
| Sweden | High | High | High | High | High | 9/10 | Sandhi & Rosenlund, 2024 |
| Costa Rica | Low | Moderate–High | Moderate | Low–Moderate | Low | 5/10 | OECD (2025) |
Disclaimer/Publisher’s Note: The statements, opinions and data contained in all publications are solely those of the individual author(s) and contributor(s) and not of MDPI and/or the editor(s). MDPI and/or the editor(s) disclaim responsibility for any injury to people or property resulting from any ideas, methods, instructions or products referred to in the content. |
© 2025 by the authors. Licensee MDPI, Basel, Switzerland. This article is an open access article distributed under the terms and conditions of the Creative Commons Attribution (CC BY) license (http://creativecommons.org/licenses/by/4.0/).