Preprint
Article

This version is not peer-reviewed.

Spatio – Temporal Dynamics of Soil Organic Carbon Stock in Greek Croplands: A Long-Term Assessment

A peer-reviewed article of this preprint also exists.

Submitted:

30 July 2024

Posted:

31 July 2024

You are already at the latest version

Abstract
This study examines the Soil Organic Carbon (SOC) within Greek croplands, offering a comprehensive understanding of its dynamics. SOC, a cornerstone in soil health, nutrient cycling, and global carbon dynamics, assumes critical significance in sustainable agriculture and climate change mitigation. Drawing on diverse soil properties, including pH, soil texture as well as different drainage and slope categories, the research explores the nuanced relationships shaping SOC dynamics in the diverse agroecological landscape of Greece. The investigation transcends local boundaries, emphasizing SOC's global role in climate change mitigation by sequestering carbon dioxide. Two maps were used as data sources: 1) SOC stock baseline map (2010) by JRC, 2) SOC stock map (2021) by the Institute of Soil and Water Resources, Hellenic Agricultural Organization – DIMITRA in collaboration with FAO. Greek croplands emerge as a mosaic of agroecological diversity, where anthropogenic activities wield transformative influences on SOC stock, demanding a delicate balance between agricultural productivity and soil health. The study unveils the influence of Soil Order, weaving a tapestry of SOC variability. Microscopic factors, from soil texture to cation exchange capacity, further shape SOC dynamics, emphasizing the role of clayey soils and coarse materials in carbon retention. Although soil organic carbon decreased from 2010 to 2021 the degree of carbon loss varied. This scientific endeavor synthesizes existing knowledge and unveils novel insights, offering a narrative woven from diverse soil properties. The findings contribute valuable insights for sustainable land management practices and climate change mitigation strategies, underscoring the importance of region-specific approaches in addressing global challenges.
Keywords: 
;  ;  ;  

1. Introduction

The intricate interplay of SOC within terrestrial ecosystems is a cornerstone in comprehending soil health, nutrient cycling, and the broader dynamics of the global carbon cycle. The complexity of SOC's role in influencing soil fertility, water retention, and overall ecosystem health underscores its critical significance in the pursuit of sustainable agriculture and effective climate change mitigation strategies [1,2,3,4,5]. In this work, the spatio-temporal dynamics of SOC stock in Greek croplands are examined, where diverse agroecosystems and varying environmental conditions beckon to explore the nuanced relationships between SOC and key soil properties [6,7].
Extending our gaze beyond local landscapes, SOC's significance transcends boundaries, resonating with global implications for climate change mitigation. SOC emerges as a crucial ally in the ongoing battle against climate change by sequestering atmospheric carbon dioxide and actively participating in greenhouse gas mitigation efforts on a global scale [2,8,9,10]. The increasing global emphasis on carbon sequestration reinforces the imperative for a nuanced understanding of SOC dynamics within specific regional contexts.
The canvas of Greek croplands unfolds as a mosaic of agroecological diversity, woven by the threads of climatic variability, topographical nuances, and intricate land management practices [11,12]. From the expansive plains of Thessaly to the terraced slopes of Crete, the multifaceted nature of Greek croplands prompts a comprehensive investigation. This exploration transcends mere scientific inquiry; it is an endeavor to decipher the influences shaping SOC dynamics within the unique context of Greek agriculture.
The relationship between anthropogenic activities and SOC stock unfolds as a tightrope walk in the socio-economic fabric of the Mediterranean, especially in Greece. While croplands contribute substantially to the socio-economic tapestry, human interventions and land management practices can wield a transformative influence on SOC stock [13,14]. This delicate balance between agricultural productivity and soil health becomes the focal point, necessitating a meticulous examination of the dynamic interplay within SOC.
The classification bestowed by Soil Order emerges as a key determinant, weaving a complex tapestry of SOC variability. Drawing from documented evidence, Histosols in wetland areas boast elevated SOC content, emphasizing their organic-rich nature [15,16,17,18]. In contrast, the Regosol order may present a different narrative, with lower SOC stock attributed to shallower profiles and limited organic inputs [19,20]. The influence of Soil Order becomes a narrative thread guiding us through the diverse SOC landscapes within Greek croplands.
The concentration of organic carbon in surface horizons is a well-documented phenomenon; however, the depths of the soil profile emerge as substantial carbon reservoirs with far-reaching implications for long-term sequestration potential [21,22,23]. This vertical perspective becomes integral for holistic assessments of carbon stock.
Coarse materials, such as gravel and rocks, are pivotal components introducing heterogeneity in the soil narrative, influencing water movement, drainage, and organic matter distribution, thus creating microenvironments that significantly impact microbial activity and decomposition rates [22,24,25]. Expanding our understanding of the intricate role played by these coarse materials adds layers of complexity to SOC distribution in Greek croplands.
Navigating the microscopic landscape of SOC dynamics, Soil Texture takes center stage as a defining factor in shaping carbon stock. The relative proportions of sand, silt, and clay particles influence SOC stock by orchestrating water retention, aeration, and microbial activity [26,27]. Clayey soils, characterized by higher Cation Exchange Capacity (CEC), emerge as crucial custodians of organic matter retention, contributing significantly to higher SOC stock compared to their sandy counterparts. This microscopic world of soil particles, often overlooked, unfolds as a vital driver in the SOC narrative within Greek croplands, emphasizing the need for a holistic understanding of soil texture dynamics for effective land management.
The interplay between Drainage and Slope introduces a narrative of erosion risks and SOC reallocation. Steeper slopes, more prone to erosion, become areas where topsoil and organic carbon-rich horizons are more vulnerable for removal. Understanding the relationship between slope, drainage, and SOC stock becomes pivotal, offering a compass to predict erosion risks and implement effective soil conservation measures [2,5,20]. The topographical intricacies of Greek croplands infuse heightened relevance into these factors.
Within the spectrum of acidity and alkalinity, Soil pH plays an important role in microbial activity, nutrient availability, and organic matter stability. The variation in microbial decomposition rates with pH levels adds layers of complexity to the SOC dynamics [28,29].
In the synthesis of existing knowledge and the unveiling of novel insights, this manuscript embarks on a scientific endeavor to enrich our understanding of the spatio-temporal dynamics of SOC stock in Greek croplands. The comprehensive consideration of an array of soil properties, as outlined above, becomes the lens through which we seek to enhance our comprehension of the intricate relationships governing SOC sequestration and turnover. This synthesis offers not just a compilation of data, but a narrative woven from diverse soil properties, providing valuable insights for sustainable land management practices and climate change mitigation strategies in the unique context of Greek croplands.
The objectives of this study can be summarized as follows: 1. Examine Soil Properties: Investigate a range of soil properties, including pH, soil texture, cation exchange capacity (CEC), drainage, slope, and the presence of coarse materials, to understand their influence on soil organic carbon (SOC) dynamics, 2. Understand SOC Loss Patterns: Analyze how SOC loss patterns vary across different soil orders, soil depths, and other categories such as pH and soil texture, 3. Contextualize Within Greek Agriculture: Focus on the unique context of Greek agriculture to provide specific insights into the factors influencing SOC dynamics in this region, 4. Balance Agricultural Productivity and Soil Health: Highlight the critical need to examine the dynamic interplay of soil properties to achieve a balance between maintaining agricultural productivity and ensuring soil health, and, 5. Provide Nuanced Perspectives: Offer detailed perspectives on how various soil properties interact and contribute to SOC dynamics, helping to inform better soil management practices in Greek agriculture.

2. Materials and Methods

2.1. Data Sources

This study focuses on the different landscapes of Greece, offering a rich tapestry of agroecological diversity shaped by climatic variations and intricate land management practices. The Greek croplands serve as the canvas for investigating SOC dynamics. To examine the spatio-temporal intricacies of SOC stock, we rely on comprehensive datasets from authoritative sources.
The SOC stock map [30] from the European Soil Data Centre (ESDAC) by the Joint Research Centre (JRC, European Commission) [31,32,33] serves as a foundational dataset, providing detailed insights into the distribution and variability of SOC across Greek croplands (Figure 1a). This map, derived from advanced modeling and monitoring techniques, offers a robust foundation for understanding the SOC landscape. Additionally, we integrate the SOC stock map provided by the Food and Agriculture Organization of the United Nations (FAO) [34,35], which was prepared by our team at the Institute of Soil and Water Resources of ELGO DIMITRA (as the National Focal Point of Global Soil Partnership - FAO) (Figure 1b). The FAO's SOC stock map contributes valuable perspectives, enhancing the comprehensiveness of our study. These datasets with a spatial resolution of 1 Km or 30 Arc-Second, meticulously compiled by international organizations, enable us to explore the nuanced relationships between SOC and key soil properties in the unique context of Greek agriculture. The Greek Soil Map with a 1:30.000 scale, is given in Figure 2 [36]. This study endeavors to contribute novel insights into the dynamics of SOC stock, fostering a deeper understanding of sustainable land management practices and facilitating effective climate change mitigation strategies in the Greek cropland terrain. The two SOC maps refer to the topsoil (0-30 depth).

2.2. Methodology

This research employs a comprehensive methodology to investigate the spatio-temporal dynamics of SOC stock in Greek croplands. The study design encompasses a multi-faceted approach to capture the diverse agroecological nuances and varying environmental conditions across the Greek landscape. The temporal scope of the study spans 11 years (2010-2021), enabling the analysis of SOC variations over time. The integration of authoritative datasets, including the SOC maps from the European Soil Data Centre (ESDAC) by the Joint Research Centre (JRC) and the Food and Agriculture Organization (FAO), forms the cornerstone of our methodology.

2.2.1. Data Collection

The primary data sources for this study are the SOC maps from ESDAC (JRC) and FAO. These maps provide a spatially explicit representation of SOC content, allowing for a detailed exploration of SOC variability within Greek croplands. The ESDAC (JRC) map, derived from advanced modeling techniques and remote sensing technologies, offers a high-resolution depiction of SOC distribution. Concurrently, the FAO SOC map, a globally recognized resource, contributes additional insights, ensuring the robustness of our analysis.
More specifically, the soil data for the model came from the European Soil Database at the European Soil Data Centre (ESDAC), focusing on the top-soil layer (0–30 cm) with properties like texture, bulk density, pH, drainage class, and rock content at a 1 km × 1 km grid resolution. CENTURY was chosen for the pan-European SOC assessment due to its integration of crop growth routines, successful testing in Europe, ability to simulate management practices, and reduced computational time. Model results were validated against inventories from EIONET and 20,000 soil samples from the 2009 LUCAS survey, aiming to create a harmonized top-soil data set for the EU.
The FAO SOC map methodology utilizes the SCORPAN model framework for digital soil mapping, which predicts SOC stocks based on soil-forming factors. Key variables for estimating SOC stocks include environmental parameters: climate data, thematic maps, digital terrain data, geomorphometry, and soil data. Modelling techniques, such as random forests, support vector machines, and regression-kriging are employed to estimate SOC stocks. The performance of the Greek National SOC map is evaluated using both internal and external accuracy metrics.
The issues raised by comparing datasets from different years with different methodology can be mitigating by applying analysis of uncertainties in each SOC stock map and evaluation of the quality and accuracy of both datasets. Moreover, checking for any biases, errors, or inconsistencies using statistical methods is required to quantify the reliability of the data. All the above issues were addressed in both 2010 and 2021 SOC stock maps [30,34]. Therefore, any inconsistence produced by comparison of these two datasets was effectively minimized because of their robustness and proper methodological execution.

2.2.2. Spatiο - Temporal Analysis

Spatial analysis forms a crucial component of our methodology, leveraging Geographic Information System (GIS) tools to analyze and interpret SOC patterns. We delineate the study area into distinct regions, considering factors such as agroecological zones, soil orders, and topographical characteristics. By overlaying the SOC maps with additional spatial datasets, such as land use and slope, we aim to discern relationships between SOC stock and key environmental variables.
To explore temporal trends in SOC stock, we conduct a temporal analysis using multiple datasets representing different time points. This temporal dimension allows us to identify patterns, anomalies, and potential drivers of SOC variations over time. We examine the influence of climatic factors, land management practices, and other temporal variables on SOC dynamics within the Greek cropland terrain.

2.2.3. Statistical Analysis

Normality and equality of variances were tested with Q-Q plots and Levene’s test. Kruskal Wallis test (non-parametric equivalent to One Way Analysis of Variance) was used to determine whether significant differences existed between groups of variable ΔSOC stock (SOC 2021 - SOC 2010) for each factor. If there were significant differences, Dunn’s post hoc test was performed (with Holm correction for multiple statistical tests). In each case, the Kruskal Wallis test assesses whether there are significant differences between the groups defined by the respective factor. The p-value is a measure of the evidence against a null hypothesis, with smaller p-values suggesting stronger evidence against the null hypothesis. A p-value less than 0.05 (95% confidence interval) indicates statistically significant differences between the groups for each factor. Boxplots for variable SOC stock 2010 and 2021 present the median, minimum, maximum, 1st and 3rd quantile and outliers. The median is reported instead of the mean in all cases. JASP (0.18.3.0) [37] was used for statistical analysis of the results.

2.2.4. Synthesis and Interpretation

This involves synthesizing the diverse datasets and drawing meaningful interpretations. The synthesis aims to examine the complex interplay of SOC dynamics within Greek croplands, considering the spatial and temporal dimensions, as well as the intricate relationships with key soil properties. The interpretation of results contributes to a comprehensive understanding of the factors influencing SOC sequestration and turnover in the context of sustainable land management practices and climate change mitigation strategies in Greek agriculture.
The methodology outlined above integrates advanced remote sensing, GIS, statistical analyses, and field data to provide a holistic investigation into the intricate dynamics of SOC stock in Greek croplands. This multi-dimensional approach ensures the robustness and reliability of our findings, facilitating valuable contributions to the scientific understanding of soil health and carbon cycling in agroecosystems.

3. Results and Discussion

3.1. Soil Orders

The Figure 3 presents the changes in topsoil SOC stock from 2010 to 2021 across various Soil Orders within Greek croplands. For 2010, Gleysols had the highest SOC stock (81.48 ±14.76 t C/ha st. dev, N=115) while Histosols had the lowest (51.97 ± 16.34 t C/ha st. dev, N=14). For 2021, SOC stock was highest in Histosols (73.62 ± 24.23 t C/ha st. dev, N=14) and lowest in Leptosols (43.63 ± 17.54 t C/ha st. dev, N=845). Histosols and Gleysols are the rarest soil orders in Greece (representing only the 1‰ and 7‰ respectively) and their size was not enough to accurately capture changes in these soil orders. The distribution of soil orders in Greek croplands are presenting in Figure 4.
In Figure 5, the values represent changes in SOC stock (ΔSOC), measured in metric tons of carbon per hectare (t C/ha), during the specified time within the corresponding soil types. Positive values indicate an increase in SOC stock, while negative values suggest a decrease. Post hoc tests revealed that 30 Soil Order pairs were significantly different, and 6 pairs were not significantly different. The following pairs were not significantly different: Cambisol-Gleysol, Cambisol-Luvisol, Fluvisol-Gleysol, Gleysol-Luvisol, Gleysol-Regosol and Histosol-Vertisol.
Calcisols (ΔSOC: -28.78 t C/ha, N=1076) and Leptosols (ΔSOC: -36.55 t C/ha, N=840) exhibited the most substantial decrease in SOC stock, indicating a negative change over the study period. This reduction may be attributed to factors such as changes in land management practices, erosion, or climatic and environmental conditions not favoring carbon sequestration.
Cambisols (ΔSOC: -15.69 t C/ha, N=3438) and Luvisols (ΔSOC: -16.21 t C/ha, N=902) also show a negative change in SOC stock, potentially influenced by factors like agricultural practices, soil structure, or changes in land use. Fluvisols (ΔSOC: -5.23 t C/ha, N=2293), Gleysols (ΔSOC: -7.59 t C/ha, N=109) and Regosols (ΔSOC: -11.71 t C/ha, N=389) indicate a negative change in SOC stock though to a lesser extent compared to Calcisols and Cambisols. The moderate decrease might be influenced by factors such as water dynamics, or land management practices. Drainage of wetland areas associated with Gleysols may be responsible for soil organic carbon loss.
Finally, Vertisols (ΔSOC: 3.65 t C/ha, N=305) and Histosols (ΔSOC: 19.13 t C/ha, N=14) show an increase in SOC stock, indicating gain of organic carbon. Factors such as water holding capacity and changes in land use may contribute to the observed increase in SOC stock.
Overall, at country level, ΔSOC stock was -15.02 (± 22.66 st. dev) t C/ha, N=9366. [39] found SOC stock change ranging between -5 and 1.5 t C/ha for countries in the Mediterranean during 2009-2018. Soil type affects soil organic carbon, Umbrisols and Podzols had higher organic carbon content than Leptosols and Fluvisols [38]. Soil type, pedogenic information and SOC depth distribution should be included in SOC inventory studies [40].

3.2. Soil Depth

Figure 6 presents the changes in topsoil (0-30 cm) SOC stock from 2010 to 2021 across soils with various Soil Depths within Greek croplands. In Figure 7 ΔSOC stock is presented across soils with different depths. In the post hoc tests, significant differences were observed in 12 pairs, and not significant differences in 3 pairs. The following pairs were not significantly different: (0-15, 15-30), (0-15, 30-60) and (100-150, >150). There is a substantial decrease in topsoil SOC stock in soils with 0-15 cm depth (ΔSOC: -28.32 t C/ha, N=97), 15-30 cm depth (ΔSOC: -33.88 t C/ha, N=603) and 30-60 cm depth (ΔSOC: -25.46 t C/ha, N=1354). Such a decrease can be attributed to various factors, including changes in land management practices, vegetation cover, or climatic conditions that do not favor carbon sequestration in the upper soil layers. Deeper soils lost carbon to a lesser extent, 60-100 cm depth (ΔSOC: -14.91 t C/ha, N=1986), 100-150 cm depth (ΔSOC: -10.95 t C/ha, N=1961) and > 150 cm depth (ΔSOC: -10.41 t C/ha, N=3365). These findings suggest that soil depth affects topsoil (0-30 cm) organic carbon. Shallow soils lost more topsoil carbon compared to topsoil carbon lost in soils with deep profiles. The topsoil in shallow soils could be more vulnerable to carbon loss due to differences in root activities [41] and decomposition dynamics [42].

3.3. Soil Coarse Materials

Figure 8 presents the SOC stock from 2010 to 2021 across different percentages of Coarse Materials within Greek croplands. In Figure 9 ΔSOC stock is presented across soils with different coarse material percentages. Post hoc tests revealed that all coarse material pairs (ΔSOC) were significantly different. Category 0 represents areas with no coarse materials, ΔSOC stock in these areas from 2010 to 2021 was -22.56 t C/ha, N=746. In areas where the content of coarse materials is less than 20%, ΔSOC SOC stock was -26.15 t C/ha, N=2200. This suggests that soil with a moderate presence of coarse materials experienced a more substantial decrease in SOC over the specified time. For areas with coarse material content ranging from 20% to 60%, ΔSOC was -9.8 t C/ha, N=6420. This category represents soils with a significant proportion of coarse materials, and the change in SOC stock was comparatively lower than in areas with less coarse material. Generally, soils with no coarse materials and soils with less than 20% coarse materials have experienced higher decreases in SOC compared to soils with higher coarse material content (20% to 60%). This information is valuable as it indicates that the texture of the soil, particularly the presence of coarse materials, plays a role in influencing SOC dynamics over the specified time frame.

3.4. Soil Texture

Figure 10 presents the SOC stock from 2010 to 2021 across different Soil Texture classes, Figure 11 presents ΔSOC (SOC2021-SOC2010). Five out of six pairwise comparisons were significantly different. Differences between moderately coarse and fine soils were not significantly different. The negative ΔSOC value of -13.07 t C/ha, N=2741 suggests a decrease in SOC content within soils with fine texture from 2010 to 2021. The relatively high ΔSOC value of -18.82 t C/ha, N=4505 indicates a substantial decrease in SOC stock within soils of medium texture over the specified timeframe.
Moderately coarse-textured soils, containing a higher proportion of sand, tend to have faster drainage and leaching rates. The negative ΔSOC value of -10.42 t C/ha, N=1082 suggests a decrease in SOC content, possibly influenced by factors such as land management practices and vegetation cover. The negative ΔSOC value of -7.51 t C/ha, N=1026 indicates a modest decrease in SOC stock within soils of coarse texture, reflecting the complex interplay of factors influencing carbon dynamics. A negative trend in SOC stock changes across all soil texture categories from 2010 to 2021. The magnitude of change varies, with soils of medium texture exhibiting the highest decrease, followed by moderately fine texture, fine texture, and moderately coarse texture. Coarse-textured soils show a more modest decrease.
Soils with medium texture lost more carbon compared to finer and coarser soils. On the contrary, fine soils and medium texture soils were expected to retain more carbon compared to coarser soils. A positive correlation has been found between SOC, clay and silt, while a negative correlation for SOC and sand [43]. Soils with fine texture retain more water than coarser soils [44] influencing microbial activity. Soils with moderately fine and fine textures typically have a higher surface area due to smaller particle sizes (clay and silt), this can enhance organic matter retention [45].

3.5. Soil Cation Exchange Capacity

Figure 12 presents the SOC stock from 2010 to 2021 across different ranges of Cation Exchange Capacity (CEC). CEC is a crucial parameter for soils, representing the soil's ability to retain and exchange cations, including nutrients like calcium, magnesium, and potassium. The values in the Figure 13 represent changes in SOC stock (ΔSOC) for different CEC ranges. Post hoc tests revealed that CEC pairs (3-8, >16) and (8-16, >16) were significantly different while the pair (3-8, 8-16) was not significantly different.
The first category represents soils with a CEC ranging from 3 to 8. Change in SOC stock for these soils over the specified period was ΔSOC: -2.17 t C/ha, N=170. Soils with a CEC between 8 and 16 fall into the second category. Change in SOC stock for this range is higher, ΔSOC: -4.8 t C/ha, N=1863. Next category includes soils with a CEC exceeding 16. For these soils, change in SOC stock was the highest among the presented categories, ΔSOC: -9.92 t C/ha, N=3961. CEC is affected by many factors such as clay, pH, and organic carbon [46]. Understanding the relationship between CEC and SOC dynamics has implications for sustainable land management practices. Soils with higher CEC may be less resilient to organic carbon loss.

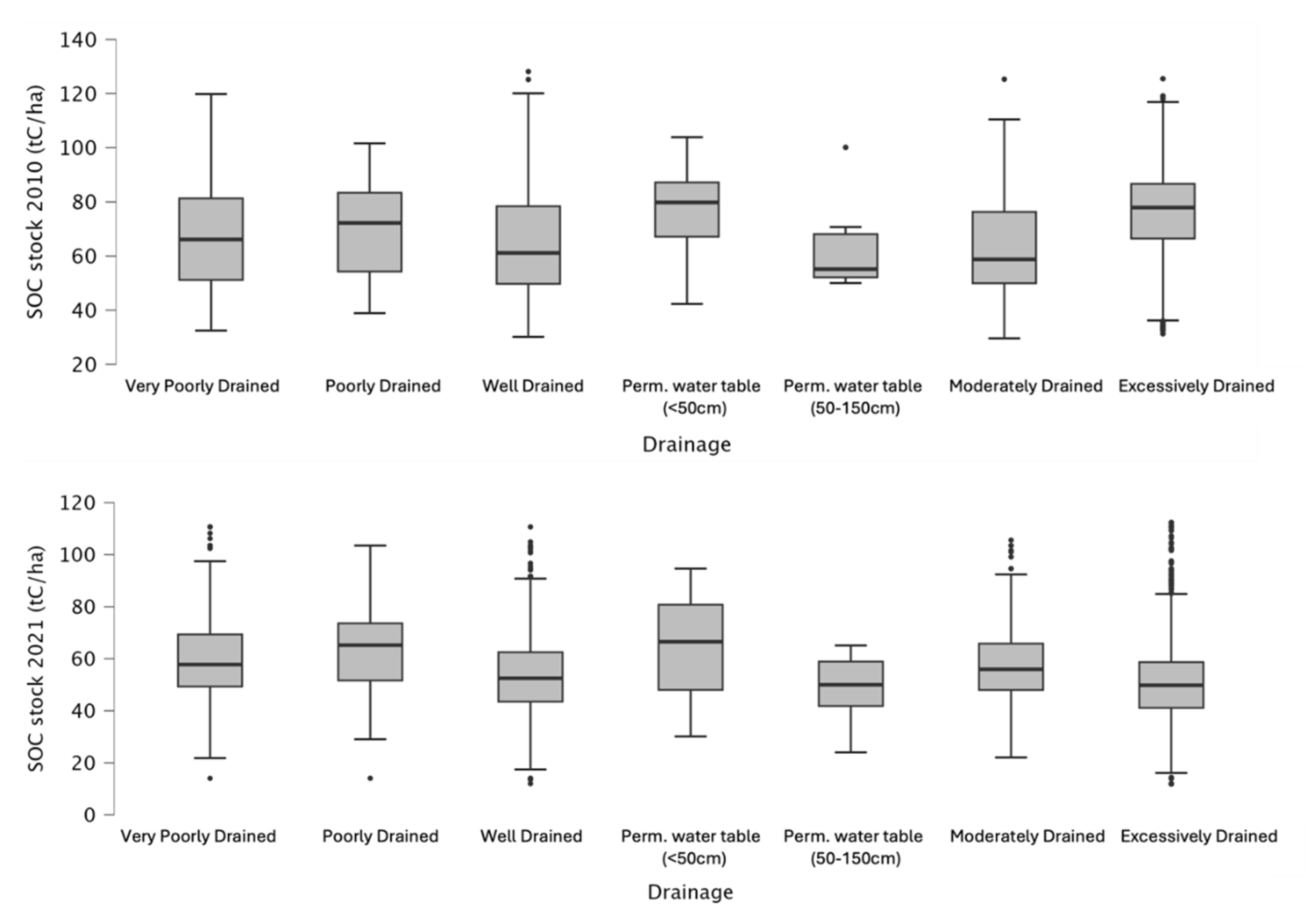
3.6. Soil Drainage

Figure 14 presents the SOC stock from 2010 to 2021 across different drainage classes. In contrast to other soil variables, most post hoc tests (14 out of 21) did not show significant differences between ΔSOC in different drainage classes. The following pairs (7 out of 21) showed significant differences: (good drainage - moderate drainage), (good drainage - very good drainage), (good drainage – very poor drainage), (moderate drainage – very good drainage), (poor drainage – very good drainage), (perm. water table <50 – very good drainage), (very good drainage – very poor drainage).
Excessively drained soils typically have a rapid drainage rate, which can influence SOC dynamics. The substantial decrease in SOC stock (ΔSOC: -26.42 t C/ha, N=4329) in Figure 15 suggests a reduction in SOC stock in excessively drained soils, as expected. Well-drained soils exhibit good drainage characteristics, facilitating aeration and microbial activity. The negative ΔSOC value (-8.42 t C/ha, N=2430) indicates a decrease in SOC stock within well-drained areas from 2010 to 2021. Moderately drained soils strike a balance between drainage and water retention. The moderate decrease in SOC stock (ΔSOC: -3.79 t C/ha, N=1131) suggests a negative trend in carbon sequestration within these areas. The interplay between drainage and water availability may contribute to the observed changes in SOC over the specified timeframe. Poorly drained soils often experience waterlogging, influencing microbial activity and slowing organic matter decomposition [47]. The negative ΔSOC value (-3.53 t C/ha, N=205) indicates a decrease in SOC stock within poorly drained areas. Changes in drainage conditions, land use, or other environmental factors may contribute to the observed reduction in SOC levels. Very poorly drained soils typically suffer from prolonged water saturation, impacting SOC dynamics. The negative ΔSOC value (-3.4 t C/ha, N=1105) suggests a decrease in SOC stock within very poorly drained areas. These changes reflect the complex interplay of drainage conditions, land management practices, and environmental factors influencing the carbon dynamics in different soil types. The results underscore the importance of considering soil drainage characteristics when assessing SOC changes and implementing sustainable land management strategies.

3.7. Soil Slope

Figure 16 provides a snapshot of SOC stock and Figure 17 of SOC stock changes (ΔSOC) across different slope categories. The SOC stock values denote the amount of organic carbon present in the soil within each slope category. The highest SOC stock in 2010 was observed in 35-50% slope (93.17± 7 t C/ha st. dev, N=11) and lowest in 0-2% slope (56.47 ± 15.48 t C/ha st. dev, N=2808). In 2021, highest SOC stock was observed in 0-2% slope (55.82 ± 13.1 t C/ha st. dev, N=2824) and lowest in 25-35% (45.54 ± 15.35 t C/ha st. dev, N=35). In the post hoc tests, 13 ΔSOC stock pairs were significantly different and 8 pairs were not significantly different. The following slope pairs were not significantly different: (12-18%, 18-25%), (12-18%, 25-35%), (12-18%, 35-50%), (18-25%, 25-35%), (18-25%, 35-50%), (25-35%, 35-50%), (25-35%, 6-12%) and (35-50%, 6-12%).
The ΔSOC values increase as the slope becomes steeper, suggesting a potential negative correlation between slope steepness and SOC stock. Steeper slopes are often more susceptible to erosion, which can lead to the removal of carbon in the topsoil and, consequently, a decrease in SOC stock [48]. SOC content has been found to decrease with increasing slope gradient [49]. However, the slope effect on SOC is not always pronounced and significant, it also depends on land use [50]. Changes in land use, agricultural practices, or afforestation efforts may influence SOC dynamics. For instance, implementing conservation practices on steeper slopes could mitigate SOC stock reduction.

3.8. Soil pH

Figure 18 reflects the SOC stock from 2010 till 2021 and Figure 19 the changes in SOC stock (ΔSOC) associated with varying pH levels in Greek croplands. In the post hoc tests, 8 ΔSOC stock pairs were significantly different and 2 pairs were not significantly different. The following pH pairs were not significantly different: (4.5-5.5, 5.6-6.9) and (8-8.5, >8.5).
In the pH range between 4.5-5.5, a small increase in SOC stock was observed, ΔSOC: + 2.35 t C/ha, N=129. This indicates a relatively stable trend in SOC content within this pH category. Croplands with a pH between 5.6-6.9 experienced a small decrease in SOC stock, ΔSOC: -1 t C/ha, N=677. Moderately alkaline (pH 7-7.9) and alkaline (pH 8-8.5) soils exhibited a substantial decrease in SOC stock, ΔSOC: -7.39 t C/ha, N=2284 and ΔSOC: -10.95 t C/ha, N=2777. Highly alkaline soils, with a pH greater than 8.5, had the largest SOC stock decrease -17,37 t C/ha, N=131. The trends suggest that acidic soils retained more soil carbon compared to alkaline soils. That could be explained by the effect of pH on microbial activity (and decomposition) or changes land use intensity. [51] observed a SOC stock increase at pH 4.2-6.5 and decrease at pH 6.5-9.2. Positive correlations between SOC and pH have also been found [52], meaning that the relationship between SOC and pH is context dependent.

5. Conclusions

The comprehensive investigation into the spatio-temporal dynamics of SOC stock in Greek croplands has yielded valuable insights, shaping our understanding of the intricate relationships governing SOC sequestration and turnover. This study, guided by a multidimensional exploration of various soil properties, ranging from pH to soil texture, has provided nuanced perspectives on the factors influencing SOC dynamics within the unique context of Greek agriculture. SOC loss patterns differ across soil order, soil depth, coarse materials, soil texture, CEC, drainage, slope, and pH categories. The study highlights the critical need for a particular examination of this dynamic interplay to strike a balance between agricultural productivity and soil health. The classification bestowed by soil order emerges as a key determinant, weaving a complex tapestry of SOC variability. Various microscopic factors, from soil texture to pH, play pivotal roles in SOC dynamics. In addition, landscape factors such as slope play a very important role in soil organic loss rate. These insights emphasize the significance of understanding the regional intricacies and tailoring soil management strategies accordingly.
The relationship between anthropogenic activities and SOC stock reveals the socio-economic fabric of the Mediterranean, particularly in Greece. Although croplands significantly contribute to the regional socio-economic tapestry, human interventions and land management practices wield transformative influences on SOC stock, necessitating an examination of this dynamic interplay.
Lastly, this scientific endeavor not only synthesizes existing knowledge but unveils novel insights into the spatio-temporal dynamics of SOC stock in Greek croplands. The narrative woven from diverse soil properties provides a robust foundation for sustainable land management practices and climate change mitigation strategies tailored to the unique context of Greek agriculture. The findings underscore the importance of localized approaches in addressing global challenges, ensuring that strategies are both effective and adaptable to the specificities of regional ecosystems.

Author Contributions

Conceptualization, D.T. and M.B.; methodology, D.T. and M.B.; software, D.T. and N.L.; validation, D.T., M.B. and N.L.; formal analysis, D.T. and N.L.; investigation, D.T.; resources, D.T.; data curation, D.T.; writing—original draft preparation, D.T. and M.B.; writing—review and editing, D.T., M.B. and N.L.; visualization, D.T. and N.L.; supervision, D.T. All authors have read and agreed to the published version of the manuscript.

Funding

Not applicable.

Institutional Review Board Statement

Not applicable.

Informed Consent Statement

Not applicable.

Data Availability Statement

The original contributions presented in the study are included in the article; further inquiries can be directed to the corresponding author.

Conflicts of Interest

The authors declare no conflicts of interest.

References

  1. Jungkunst, H. F., Göpel, J., Horvath, T., Ott, S., & Brunn, M. 2022. Global soil organic carbon–climate interactions: Why scales matter. WIREs Climate Change, 13(4), e780.
  2. Poeplau, C., & Don, A. Carbon sequestration in agricultural soils via cultivation of cover crops–A meta-analysis. Agriculture, Ecosystems & Environment, 2015, 200, 33-41.
  3. Qin, Z., Y. Huang, and Zhuang Q. Soil organic carbon sequestration potential of cropland in China, Global Biogeochem. Cycles, 2013, 27, 711–722. [CrossRef]
  4. ownsend-Small, A. and Czimczik C.I., Carbon sequestration and greenhouse gas emissions in urban turf, Geophys. Res. Lett 2010., 37, L02707. [CrossRef]
  5. Lal, R. Soil carbon sequestration impacts on global climate change and food security. Science 2004, 304(5677), 1623-1627.
  6. Qu, R. , Chen, S., Wang, K., Liu, Q., Yang, B., Yue, M., & Peng, C. Science of The Total Environment, 2024. [Google Scholar] [CrossRef]
  7. Brandao M, Mila I, Canals L, Clift R. Soil Organic Carbon Changes in the Cultivation of Energy Crops: Implications for GHG Balances and Soil Quality for Use in LCA. BIOMASS and BIOENERGY, 2323.
  8. Minasny, B. , et al. Soil carbon 4 per mille. Geoderma 2017, 292, 59–86. [Google Scholar] [CrossRef]
  9. Chambers, A. & Lal, R. & Paustian, K. Soil carbon sequestration potential of US croplands and grasslands: Implementing the 4 per Thousand Initiative. Journal of Soil and Water Conservation 2016. 71. 68A-74A. [CrossRef]
  10. Smith P, House JI, Bustamante M, Sobocká J, Harper R, Pan G, West PC, Clark JM, Adhya T, Rumpel C, Paustian K, Kuikman P, Cotrufo MF, Elliott JA, McDowell R, Griffiths RI, Asakawa S, Bondeau A, Jain AK, Meersmans J, Pugh TA. Global change pressures on soils from land use and management. Glob Chang Biol 2016. 22. [CrossRef]
  11. Georgiadis, N. M., Dimitropoulos, G., Avanidou, K., Bebeli, P., Bergmeier, E., Dervisoglou, S., Dimopoulos, T., Grigoropoulou, D., Hadjigeorgiou, I., Kairis, O., Kakalis, E., Kosmas, K., Meyer, S., Panitsa, M., Perdikis, D., Sfakianou, D., Tsiopelas, N., & Kizos, T. Farming practices and biodiversity: Evidence from a Mediterranean semi-extensive system on the island of Lemnos (North Aegean, Greece). Journal of Environmental Management 2022, 303, 114131.
  12. Gkoltsiou, A. , Athanasiadou, E., & Paraskevopoulou, A. T. Agricultural Heritage Landscapes of Greece: Three Case Studies and Strategic Steps towards Their Acknowledgement, Conservation and Management. Sustainability 2021, 13(11), Article 11. [CrossRef]
  13. Sun, T., Tong, W. J., Chang N. J., Deng, A. X., Lin Z. L., Feng, X. B., Li, J. Y. & Song, Z. Estimation of soil organic carbon stock and its controlling factors in cropland of Yunnan Province, China. Journal of Integrative Agriculture 2021. 20. 2-14. [CrossRef]
  14. Poeplau, C., Don, A., Vesterdal, L., Leifeld, J., Wesemael, B., Schumacher, J. & Gensior, A. Temporal dynamics of soil organic carbon after land-use change in the temperate zone—Carbon response functions as a model approach. Global Change Biology 2011. 17. 2415-2427. [CrossRef]
  15. Poeplau, C., et al. Carbon storage in soils: An overlooked sink. Global Change Biology 2020, 26(1), 1-11.
  16. Leifeld, J., & Menichetti, L. "The underappreciated potential of peatlands in global climate change mitigation strategies." Nature Communications 2018, 9(1), 1-10.
  17. Lai, L., Kumar, S., Folle, S., Owens, V. Predicting soils and environmental impacts associated with switchgrass for bioenergy production: A DAYCENT modeling approach. GCB Bioenergy 2017. 10. 10.1111/gcbb.12490.
  18. Batjes, N. H. "Total carbon and nitrogen in the soils of the world." European Journal of Soil Science 1996, 47(2), 151-163.
  19. Fernández-Ugalde, O. & Tóth, G. Pedotransfer functions for predicting organic carbon in subsurface horizons of European soils. European Journal of Soil Science 2017. 68. [CrossRef]
  20. Montgomery, D. R. "Soil erosion and agricultural sustainability." Proceedings of the National Academy of Sciences 2007, 104(33), 13268-13272.
  21. Yang, X., Xu, J., Wang, H., Quan, H., Yu, H., Luan, J., Wang, D., Li, Y., & Lv, D. Vertical distribution characteristics of soil organic carbon and vegetation types under different elevation gradients in Cangshan, Dali. PeerJ 2024. 12. e16686. [CrossRef]
  22. Poeplau, C., Jacobs, A., Don, A., Vos, C., Schneider, F., Wittnebel, M., Tiemeyer, B., Heidkamp, A., Prietz, R. & Flessa, H. Stocks of organic carbon in German agricultural soils - Key results of the first comprehensive inventory. Journal of Plant Nutrition and Soil Science 2020. 183. [CrossRef]
  23. Jobbágy, E. G. , & Jackson, R. B. "The vertical distribution of soil organic carbon and its relation to climate and vegetation." Ecological Applications 2000, 10(2), 423-436.
  24. Poeppl, R.E.; Dilly, L.A.; Haselberger, S.; Renschler, C.S.; Baartman, J.E.M. Combining Soil Erosion Modeling with Connectivity Analyses to Assess Lateral Fine Sediment Input into Agricultural Streams. Water 2019, 11, 1793. [Google Scholar] [CrossRef]
  25. Hengl, T., et al. SoilGrids250m: Global gridded soil information based on machine learning. PLoS ONE 2017, 12(2), e0169748.
  26. Filipiak, M., Gabriel, D. & Kuka, K. Simulation-based assessment of the soil organic carbon sequestration in grasslands in relation to management and climate change scenarios. Heliyon 2023. 9. e17287. 10.1016/j.heliyon.2023.e17287. [CrossRef]
  27. Poeplau, C., Don, A., Six, J., Kaiser, M., Benbi, D., Chenu, C., Cotrufo, M. F. Derrien, D., Gioacchini, P., Grand, S., Gregorich, E., Griepentrog, M., Gunina, A., Haddix, M., Kuzyakov, Y., Kühnel, A., Macdonald, L., Soong, J., Trigalet, S. & Nieder, R. Isolating organic carbon fractions with varying turnover rates in temperate agricultural soils – A comprehensive method comparison. Soil Biology and Biochemistry 2018. 125. [CrossRef]
  28. Najmuldeen, H. Effects of soil texture on chemical compositions, microbial populations and carbon mineralization in soil. J. Exp. Biol 2010. 6. 59-64.
  29. Smith, P., Martino, D., Cai, Z., Gwary, D., Janzen, H., Kumar, P., McCarl, B., Ogle, S., O'Mara, F., Rice, C., Scholes, B., Sirotenko, O., Howden, M., McAllister, T., Pan, G., Romanenkov, V., Schneider, U., Towprayoon, S., Wattenbach, M. & Smith, J. Greenhouse gas mitigation in agriculture. Philosophical Transactions of the Royal Society B: Biological Sciences 2008, 363(1492), 789-813.
  30. Lugato, E. , Panagos, P., Bampa, F., Jones, A., & Montanarella, L. A new baseline of organic carbon stock in European agricultural soils using a modelling approach. A new baseline of organic carbon stock in European agricultural soils using a modelling approach. Global Change Biology 2014, 20(1), 313–326. [Google Scholar] [CrossRef]
  31. Panagos, P. , Van Liedekerke M., Jones A., Montanarella L. “European Soil Data Centre: Response to European policy support and public data requirements”; Land Use Policy 2012, 29 (2), pp. 329-338. [CrossRef]
  32. Panagos, P., Van Liedekerke, M., Borrelli, P., Köninger, J., Ballabio, C., Orgiazzi, A., Lugato, E., Liakos, L., Hervas, J., Jones, A. Montanarella, L. European Soil Data Centre 2.0: Soil data and knowledge in support of the EU policies. European Journal of Soil Science 2022, 73(6), e13315. [CrossRef]
  33. European Soil Data Centre (ESDAC), esdac.jrc.ec.europa.eu, European Commission, Joint Research Centre (Last accessed: 26/12/2023).
  34. Triantakonstantis, D. , & Detsikas, S. Greek National Map of Soil Organic Carbon 2021. EGU21-13211. [CrossRef]
  35. Triantakonstantis, D. and Detsikas, S. E. 2024. Soil organic carbon sequestration potential dynamics in saline and sodic soils in Greece, Chapter 6. Editor(s): Salim Lamine, Prashant K. Srivastava, Ahmed Kayad, Francisco Muñoz-Arriola, Prem Chandra Pandey, In Earth Observation, Remote Sensing in Precision Agriculture, Academic Press, 2024, 93-103.
  36. Misopolinos, N.; et al. , 2015. Soil map of Greece 1:30.000, under project: Development of a universal system of handling geoinformation data and mapping agricultural areas of Greece, Funding body O.P.E.K.E.P.E., 2015, report in Greek.
  37. JASP statistical software. https://jasp-stats.org/, accessed: 8/2/2024.
  38. Ferré, C., Mascetti, G., Gentili, R., Citterio, S., & Comolli, R. Soil climate regulation services: High SOC stock in Podzols and Umbrisols in an alpine grassland (Valle Adamé, Italy). Environmental Earth Sciences 2023, 82(22), 534. Environmental Earth Sciences. [CrossRef]
  39. De Rosa, D. , Ballabio, C., Lugato, E., Fasiolo, M., Jones, A., & Panagos, P. Soil organic carbon stocks in European croplands and grasslands: How much have we lost in the past decade? Global Change Biology 2024, 30, e16992. [Google Scholar] [CrossRef]
  40. Wiesmeier, M., Spoerlein, P., Geuss, U., Hangen, E., Haug, S., Reischl, A., Schilling, B., von Luetzow, M., & Koegel-Knabner, I. Soil organic carbon stocks in southeast Germany (Bavaria) as affected by land use, soil type and sampling depth. GLOBAL CHANGE BIOLOGY 2012, 18(7), 2233–2245. [CrossRef]
  41. Gregory, P. j. Roots, rhizosphere and soil: The route to a better understanding of soil science? European Journal of Soil Science 2006, 57(1), 2–12. [Google Scholar] [CrossRef]
  42. Gill, R. A. , & Burke, I. C. Influence of soil depth on the decomposition of Bouteloua gracilis roots in the shortgrass steppe. C. Influence of soil depth on the decomposition of Bouteloua gracilis roots in the shortgrass steppe. Plant and Soil 2002, 241(2), 233–242. [Google Scholar] [CrossRef]
  43. Zhang, Y. , Li, P., Liu, X., Xiao, L., Li, T., & Wang, D. The response of soil organic carbon to climate and soil texture in China. The response of soil organic carbon to climate and soil texture in China. Frontiers of Earth Science 2022, 16(4), 835–845. [Google Scholar] [CrossRef]
  44. Bouma, T. J. , & Bryla, D. R. On the assessment of root and soil respiration for soils of different textures: Interactions with soil moisture contents and soil CO2 concentrations. Plant and Soil. [CrossRef]
  45. Kaiser, K. , & Guggenberger, G. Mineral surfaces and soil organic matter. Mineral surfaces and soil organic matter. European Journal of Soil Science 2003, 54(2), 219–236. [Google Scholar] [CrossRef]
  46. Manrique, L. A., Jones, C. A., & Dyke, P. T. Predicting Cation-Exchange Capacity from Soil Physical and Chemical Properties. Soil Science Society of America Journal 1991, 55(3), 787–794. [CrossRef]
  47. Tete, E., Viaud, V., & Walter, C.. Organic carbon and nitrogen mineralization in a poorly-drained mineral soil under transient waterlogged conditions: An incubation experiment. European Journal of Soil Science 2015, 66(3), 427–437. [CrossRef]
  48. Holz, M. , & Augustin, J. Erosion effects on soil carbon and nitrogen dynamics on cultivated slopes: A meta-analysis. Geoderma 2021, 397, 115045. [Google Scholar] [CrossRef]
  49. Karchegani, P. M., Ayoubi, S., Mosaddeghi, M. R., & Honarjoo, N. Soil organic carbon pools in particle-size fractions as affected by slope gradient and land use change in hilly regions, western Iran. Journal of Mountain Science 2012, 9(1), 87–95. [CrossRef]
  50. Jakšić, S. , Ninkov, J., Milić, S., Vasin, J., Živanov, M., Jakšić, D., & Komlen, V. (2021). Influence of Slope Gradient and Aspect on Soil Organic Carbon Content in the Region of Niš, Serbia. Sustainability, 13(15), Article 15. [CrossRef]
  51. Liao, K., Wu, S., & Zhu, Q. Can Soil pH Be Used to Help Explain Soil Organic Carbon Stocks? CLEAN – Soil, Air, Water 2016, 44(12), 1685–1689. [CrossRef]
  52. Tu, C. , He, T., Lu, X., Luo, Y., & Smith, P. Extent to which pH and topographic factors control soil organic carbon level in dry farming cropland soils of the mountainous region of Southwest China. CATENA 2018, 163, 204–209. [Google Scholar] [CrossRef]
Figure 1. a) SOC stock map derived from ESDAC and b) SOC stock map derived from FAO.
Figure 1. a) SOC stock map derived from ESDAC and b) SOC stock map derived from FAO.
Preprints 113788 g001
Figure 2. Soil Map of Greece by Misopolinos et al. (2015).
Figure 2. Soil Map of Greece by Misopolinos et al. (2015).
Preprints 113788 g002
Figure 3. Boxplot of Soil Organic Carbon (SOC) stock from 2010 (above) and 2021 (below) across various Soil Orders within Greek croplands.
Figure 3. Boxplot of Soil Organic Carbon (SOC) stock from 2010 (above) and 2021 (below) across various Soil Orders within Greek croplands.
Preprints 113788 g003
Figure 4. Distribution of different soil orders in Greek croplands.
Figure 4. Distribution of different soil orders in Greek croplands.
Preprints 113788 g004
Figure 5. ΔSOC: Soil Organic Carbon (SOC) stock change from 2010 to 2021 across various Soil Orders within Greek croplands.
Figure 5. ΔSOC: Soil Organic Carbon (SOC) stock change from 2010 to 2021 across various Soil Orders within Greek croplands.
Preprints 113788 g005
Figure 6. Boxplot of Soil Organic Carbon (SOC) stock in the topsoil from 2010 (above) and 2021 (below) across soils with different soil depths within Greek croplands.
Figure 6. Boxplot of Soil Organic Carbon (SOC) stock in the topsoil from 2010 (above) and 2021 (below) across soils with different soil depths within Greek croplands.
Preprints 113788 g006
Figure 7. ΔSOC: Soil Organic Carbon (SOC) stock change in the topsoil from 2010 to 2021 across soils with different depths within Greek croplands.
Figure 7. ΔSOC: Soil Organic Carbon (SOC) stock change in the topsoil from 2010 to 2021 across soils with different depths within Greek croplands.
Preprints 113788 g007
Figure 8. Boxplot of Soil Organic Carbon (SOC) stock from 2010 (left) and 2021 (right) across soils with different Coarse Materials within Greek croplands.
Figure 8. Boxplot of Soil Organic Carbon (SOC) stock from 2010 (left) and 2021 (right) across soils with different Coarse Materials within Greek croplands.
Preprints 113788 g008
Figure 9. ΔSOC: Soil Organic Carbon (SOC) stock change from 2010 to 2021 across different Coarse Materials within Greek croplands.
Figure 9. ΔSOC: Soil Organic Carbon (SOC) stock change from 2010 to 2021 across different Coarse Materials within Greek croplands.
Preprints 113788 g009
Figure 10. Boxplot of Soil Organic Carbon (SOC) stock from 2010 (above) and 2021 (below) in different Soil Texture classes within Greek croplands.
Figure 10. Boxplot of Soil Organic Carbon (SOC) stock from 2010 (above) and 2021 (below) in different Soil Texture classes within Greek croplands.
Preprints 113788 g010
Figure 11. ΔSOC: Soil Organic Carbon (SOC) stock change from 2010 to 2021 in different Soil Texture classes within Greek croplands.
Figure 11. ΔSOC: Soil Organic Carbon (SOC) stock change from 2010 to 2021 in different Soil Texture classes within Greek croplands.
Preprints 113788 g011
Figure 12. Boxplot of Soil Organic Carbon (SOC) stock from 2010 (left) to 2021 (right) in different Cation Exchange Capacity classes within Greek croplands.
Figure 12. Boxplot of Soil Organic Carbon (SOC) stock from 2010 (left) to 2021 (right) in different Cation Exchange Capacity classes within Greek croplands.
Preprints 113788 g012
Figure 13. ΔSOC: Soil Organic Carbon (SOC) stock change from 2010 to 2021 in different ranges of Cation Exchange Capacity.
Figure 13. ΔSOC: Soil Organic Carbon (SOC) stock change from 2010 to 2021 in different ranges of Cation Exchange Capacity.
Preprints 113788 g013
Figure 14. Boxplot of Soil Organic Carbon (SOC) stock from 2010 (above) and 2021 (below) in different drainage classes within Greek croplands.
Figure 14. Boxplot of Soil Organic Carbon (SOC) stock from 2010 (above) and 2021 (below) in different drainage classes within Greek croplands.
Preprints 113788 g014
Figure 15. ΔSOC: Soil Organic Carbon (SOC) stock change from 2010 to 2021 in different drainage classes.
Figure 15. ΔSOC: Soil Organic Carbon (SOC) stock change from 2010 to 2021 in different drainage classes.
Preprints 113788 g015
Figure 16. Boxplot of Soil Organic Carbon (SOC) stock from 2010 (above) and 2021 (below) in different slope classes within Greek croplands.
Figure 16. Boxplot of Soil Organic Carbon (SOC) stock from 2010 (above) and 2021 (below) in different slope classes within Greek croplands.
Preprints 113788 g016
Figure 17. ΔSOC: Soil Organic Carbon (SOC) stock change from 2010 to 2021 in different slope classes.
Figure 17. ΔSOC: Soil Organic Carbon (SOC) stock change from 2010 to 2021 in different slope classes.
Preprints 113788 g017
Figure 18. Boxplot of Soil Organic Carbon (SOC) stock from 2010 (above) to 2021 (below) in different pH ranges within Greek croplands.
Figure 18. Boxplot of Soil Organic Carbon (SOC) stock from 2010 (above) to 2021 (below) in different pH ranges within Greek croplands.
Preprints 113788 g018
Figure 19. ΔSOC: Soil Organic Carbon (SOC) stock change from 2010 to 2021 in different ranges of pH.
Figure 19. ΔSOC: Soil Organic Carbon (SOC) stock change from 2010 to 2021 in different ranges of pH.
Preprints 113788 g019
Disclaimer/Publisher’s Note: The statements, opinions and data contained in all publications are solely those of the individual author(s) and contributor(s) and not of MDPI and/or the editor(s). MDPI and/or the editor(s) disclaim responsibility for any injury to people or property resulting from any ideas, methods, instructions or products referred to in the content.
Copyright: This open access article is published under a Creative Commons CC BY 4.0 license, which permit the free download, distribution, and reuse, provided that the author and preprint are cited in any reuse.
Prerpints.org logo

Preprints.org is a free preprint server supported by MDPI in Basel, Switzerland.

Subscribe

Disclaimer

Terms of Use

Privacy Policy

Privacy Settings

© 2026 MDPI (Basel, Switzerland) unless otherwise stated