Submitted:
29 July 2024
Posted:
30 July 2024
You are already at the latest version
Abstract
Keywords:
1. Introduction
2. Case study
2.1. Floating Wind Turbine Model
2.2. Database generation for training and validation of the neural network model
3. Numerical Simulations
4. Neural Network Model
4.1. Model Architecture and Set-up
5. Results and discussion
5.1. Discussion of Selected Test Cases Through Analysis of Time Histories
- a)
- Irregular wave case 2m and 8.5s and turbulent wind with 12m/s represents the operational wave with higher occurrence probability.
- b)
- On the other hand, case corresponding to irregular wave with 3m and 7s and wind speed of 6m/s for , corresponds to the lowest peak period from the test dataset.
- c)
- In addition, case with 2m and 21.5s and 12m/s is in the highest peak period limits, with low observed events.
- d)
- Finally, the irregular wave case with 9.5m and 17s and wind speed for of 26 m/s exemplifies the extreme sea state for the utilized scatter. In such condition the turbine is parked/idling.
5.2. Evaluation of Selected Test Cases Using a Probabilistic Approach
5.3. Global Evaluation of All Test Cases Using a Probabilistic Approach
6. Conclusions
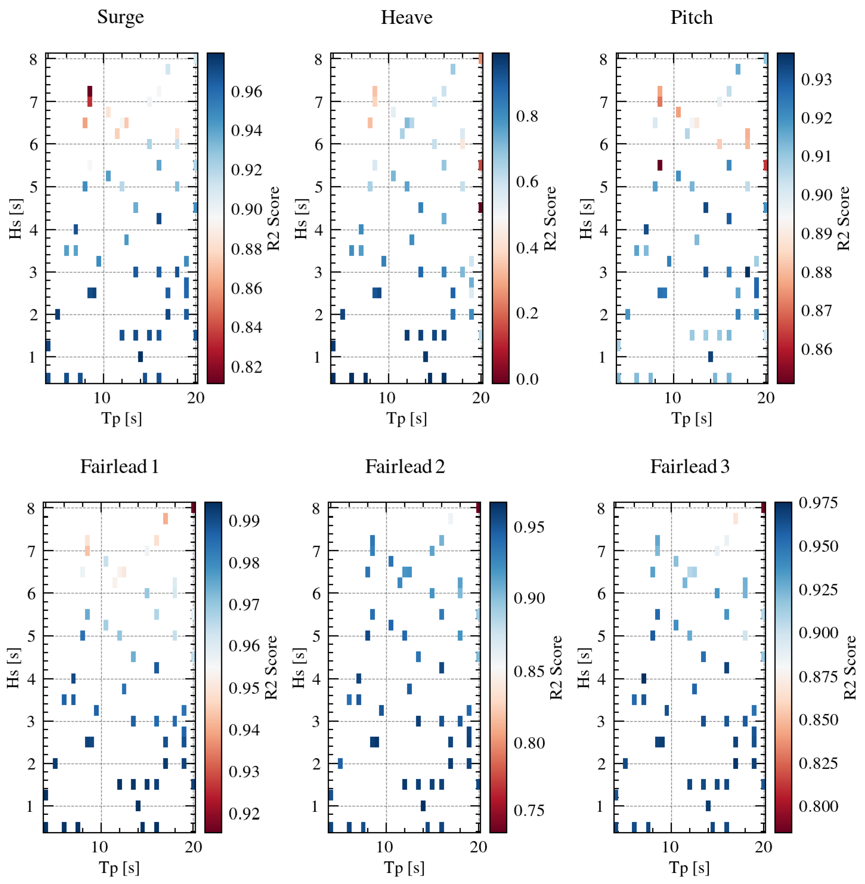
- The LSTM model effectively predicted time series for surge, heave, and pitch motions, as well as fairlead tensions under both operational and extreme wind and wave conditions. The model demonstrated high predictive accuracy, particularly for surge and pitch motions, with values generally above .
- Statistical evaluations, including Probability Density Functions (PDFs), Cumulative Distribution Functions (CDFs), and Kolmogorov-Smirnov (K-S) tests, confirmed the reliability of the model’s predictions. The majority of the cases passed the K-S test, indicating that the predicted and actual distributions are very similar.
- Although the model performed well overall, the heave motion predictions were less accurate compared to surge and pitch. This discrepancy is attributed to the smaller amplitude of heave motions and their higher frequency response, indicating the need for further adjustments in sampling frequency and sequence length.
- The model significantly reduced the computational time required for predicting FOWT dynamics. While traditional numerical simulations could take more than 10 minutes to compute, the LSTM model inferred 30 minutes of time series data in less than 5 seconds. This reduction makes the present proposed approach relevant mainly for fatigue analysis, with aiming to discard preliminary designs.
Funding
Author Contributions:
Institutional Review Board Statement
Informed Consent Statement
Acknowledgments
Conflicts of Interest
References
- IRENA. Renewable energy statistics 2023. Technical report, International Renewable Energy Agency, 2023.
- DNV. Fatigue design of offshore steel structures. Technical report, DNV, 2021.
- Jonkman, J.; Sclavounos, P. Development of Fully Coupled Aeroelastic and Hydrodynamic Models for Offshore Wind Turbines: Preprint. Collection of Technical Papers - 44th AIAA Aerospace Sciences Meeting 2006, 16. [Google Scholar] [CrossRef]
- Bauduin, C.; Naciri, M. A Contribution on Quasi-Static Mooring Line Damping. Journal of Offshore Mechanics and Arctic Engineering-transactions of The Asme - J OFFSHORE MECH ARCTIC ENG 2000, 122. [Google Scholar] [CrossRef]
- Senra, S.; Corrêa, F.; Jacob, B.; Mourelle, M.; Masetti, I. Towards the Integration of Analysis and Design of Mooring Systems and Risers: Part I — Studies on a Semisubmersible Platform. OMAE 2022; ASME: Oslo, Norway, 2002. [Google Scholar] [CrossRef]
- Low, Y.; Langley, R. A hybrid time/frequency domain approach for efficient coupled analysis of vessel/mooring/riser dynamics. Ocean Engineering 2008, 35, 433–446. [Google Scholar] [CrossRef]
- Mushtaq, M.; Akram, U.; Aamir, M.; Ali, H.; Zulqarnain. Neural Network Techniques for Time Series Prediction: A Review. JOIV : International Journal on Informatics Visualization 2019, 3. [Google Scholar] [CrossRef]
- Wu, H.; Luo, Q.; Abdel-Basset, M. Training Feedforward Neural Networks Using Symbiotic Organisms Search Algorithm. Computational Intelligence and Neuroscience 2016, 2016, 1–14. [Google Scholar] [CrossRef] [PubMed]
- Abdulkarim, S.; Garko, A. Evaluating feedforward and elman recurrent neural network in time series forecasting. Indian Journal of Pure and Applied Mathematics 2015, 1, 145–151. [Google Scholar]
- Serrano-Cinca, C. Feedforward Neural Networks in the Classification of Financial Information. European Journal of Finance 1998, 3. [Google Scholar] [CrossRef]
- Rumelhart, D.E.; Hinton, G.E.; Williams, R.J. Learning Internal Representations by Error Propagation. In Parallel Distributed Processing: Explorations in the Microstructure of Cognition, Volume 1: Foundations; Rumelhart, D.E., Mcclelland, J.L., Eds.; MIT Press: Cambridge, MA, 1986; pp. 318–362. [Google Scholar]
- Hochreiter, S.; Schmidhuber, J. Long Short-term Memory. Neural computation 1997, 9, 1735–80. [Google Scholar] [CrossRef] [PubMed]
- Van Houdt, G.; Mosquera, C.; Nápoles, G. A Review on the Long Short-Term Memory Model. Artificial Intelligence Review 2020, 53. [Google Scholar] [CrossRef]
- Bjørni, F.; Lien, S.; Midtgarden, T.; Kulia, G.; Verma, A.; Jiang, Z. Prediction of dynamic mooring responses of a floating wind turbine using an artificial neural network. IOP Conference Series: Materials Science and Engineering 2021, 1201, 012023. [Google Scholar] [CrossRef]
- Silva, K.M.; Maki, K.J. Data-Driven system identification of 6-DoF ship motion in waves with neural networks. Applied Ocean Research 2022, 125, 103222. [Google Scholar] [CrossRef]
- Lee, J.H.; Lee, J.; Kim, Y.; Ahn, Y. Prediction of wave-induced ship motions based on integrated neural network system and spatiotemporal wave-field data. Physics of Fluids 2023, 35, 097127. [Google Scholar] [CrossRef]
- Jonkman, J.; Musial, W. Offshore Code Comparison Collaboration (OC3) for IEA Wind Task 23 Offshore Wind Technology and Deployment. Technical report, NREL, Golden, Colorado, 80401, 2010.
- Xu, X.; Day, S. Experimental investigation on dynamic responses of a spar-type offshore floating wind turbine and its mooring system behaviour. Ocean Engineering 2021, 236, 109488. [Google Scholar] [CrossRef]
- Yang, J.; He, Y.P.; Zhao, Y.S.; Shao, Y.L.; Han, Z.L. Experimental and numerical studies on the low-frequency responses of a spar-type floating offshore wind turbine. Ocean Engineering 2021, 222, 108571. [Google Scholar] [CrossRef]
- Browning, J.; Jonkman, J.; Robertson, A.; Goupee, A. Calibration and validation of a spar-type floating offshore wind turbine model using the FAST dynamic simulation tool. Journal of Physics: Conference Series 2014, 555, 012015. [Google Scholar] [CrossRef]
- JM, J.; Butterfield, S.; Musial, W.; Scott, G. Definition of a 5MW Reference Wind Turbine for Offshore System Development. National Renewable Energy Laboratory (NREL) 2009. [Google Scholar] [CrossRef]
- Burns, R.D.; Martin, S.B.; Wood, M.A.; Wilson, C.C.; Lumsden, E.; Pace, F. Hywind Scotland Floating Offshore Wind Farm. Technical report, JASCO Applied Sciences, 2022.
- IEC. 61400-3-2. Wind energy generation systems - Part 3-2: Design requirements for floating offshore wind turbines. Ed. 1.0. Technical report, International Electrotechnical Commission (IEC), 2023.
- Reistad, M.; Breivik, O.; Haakenstad, H.; Aarnes, O.; Furevik, B.; Bidlot, J. A high-resolution hindcast of wind and waves for The North Sea, The Norwegian Sea and The Barents Sea. Journal of Geophysical Research 2011, 116. [Google Scholar] [CrossRef]
- Cummins, W.; Taylor, D.W. The Impulse Response Function and Ship Motions; Report (David W. Taylor Model Basin), Department of the Navy, David Taylor Model Basin, 1962.
- Oglive, T. Recent progress toward the understanding and prediction of ship motions. Proceedings of the 5th Symposium on Naval Hydrodynamics 1964, 1, 80. [Google Scholar]
- Duarte, T.; Alves, M.; Jonkman, J.; Sarmento, A. State-Space Realization of the Wave-Radiation Force Within FAST. Proceedings of the International Conference on Offshore Mechanics and Arctic Engineering, 2013; OMAE2013-10375, 08 - 13 Jun, 2013. [Google Scholar] [CrossRef]
- Jonkman, J.M. Dynamics Modeling and Loads Analysis of an Offshore Floating Wind Turbine. NREL/TP-500-41958, 2007. [CrossRef]
- Tomasicchio, G.R.; D’Alessandro, F.; Avossa, A.M.; Riefolo, L.; Musci, E.; Ricciardelli, F.; Vicinanza, D. Experimental modelling of the dynamic behaviour of a spar buoy wind turbine. Renewable Energy 2018, 127, 412–432. [Google Scholar] [CrossRef]
- Lopez-Olocco, T.; Liang, G.; Medina-Manuel, A.; Ynocente, L.S.; Jiang, Z.; Souto-Iglesias, A. Experimental comparison of a dual-spar floating wind farm with shared mooring against a single floating wind turbine under wave conditions. Engineering Structures 2023, 292, 116475. [Google Scholar] [CrossRef]
- Jonkman, J. Definition of the floating system for Phase IV of OC3; Number NREL/TP-500-47535, National Renewable Energy Laboratory, Golden, CO, USA, 2010.
- Hall, M.; Goupee, A. Validation of a lumped-mass mooring line model with DeepCwind semisubmersible model test data. Ocean Engineering 2015, 104, 590–603. [Google Scholar] [CrossRef]
- Jonkman, J.M. TurbSim User’s Guide v2.00.00. Revised June 1, 2016 (Draft Version). Technical report, National Renewable Energy Lab.(NREL), Golden, CO (United States), 2016.
- Jonkman, J.M.; Buhl Jr, M.L. Fast user’s guide-updated August 2005. Technical report, National Renewable Energy Lab.(NREL), Golden, CO (United States), 2005.
- Laboratory, N.R.E. OpenFAST Documentation-Release v2.3.0. Technical report, National Renewable Energy Lab.(NREL), Golden, CO (United States), 2020.
- Kingma, D.P.; Ba, J. Adam: A Method for Stochastic Optimization. 2017; arXiv:cs.LG/1412.6980. [Google Scholar]
- Shannon, C. Communication in the Presence of Noise. Proceedings of the IRE 1949, 37, 10–21. [Google Scholar] [CrossRef]
- Goda, Y. Random Seas and Design of Maritime Structures; University of Tokyo Press, 1985.
- Young, I.R. Wind generated ocean waves (First edition.); Elsevier, 1999; p. 288.
- IEC. 61400-1. Wind energy generation systems - Part 1: Design requirements. Technical report, International Electrotechnical Commission (IEC), 2019.
- Nowlan, S.J.; Hinton, G.E. Simplifying Neural Networks by Soft Weight-Sharing. Neural Computation 1992, 4, 473–493, [https://direct.mit.edu/neco/article-pdf/4/4/473/812332/neco.1992.4.4.473.pdf]. [Google Scholar] [CrossRef]
- Dietterich, T. Overfitting and undercomputing in machine learning. ACM Comput. Surv. 1995, 27, 326–327. [Google Scholar] [CrossRef]
- Bejani, M.M.; Ghatee, M. A systematic review on overfitting control in shallow and deep neural networks. Artificial Intelligence Review 2021, 54, 6391–6438. [Google Scholar] [CrossRef]
- Hastie, T.; Tibshirani, R.; Friedman, J.H. The elements of statistical learning : data mining, inference, and prediction : with 200 full-color illustrations; Springer series in statistics; Springer: New York, 2001. [Google Scholar]
- Smirnov, N.V. Estimate of deviation between empirical distribution functions in two independent samples. Bulletin Moscow University 1939, 2, 3–16. [Google Scholar]
- Fitzenberger, B. The moving blocks bootstrap and robust inference for linear least squares and quantile regressions. Journal of Econometrics 1998, 82, 235–287. [Google Scholar] [CrossRef]













| Properties | Value | ||
| Number of layers | 8 | ||
| Hidden size | 128 | ||
| Initial learning rate | 0.005 | ||
| Learning rate schedule | StepLR (=0.9) | ||
| Optimizer | Adam | ||
| Loss function | MSELoss | ||
| Sequence length | 80 | ||
| Epochs | 30 |
Disclaimer/Publisher’s Note: The statements, opinions and data contained in all publications are solely those of the individual author(s) and contributor(s) and not of MDPI and/or the editor(s). MDPI and/or the editor(s) disclaim responsibility for any injury to people or property resulting from any ideas, methods, instructions or products referred to in the content. |
© 2024 by the authors. Licensee MDPI, Basel, Switzerland. This article is an open access article distributed under the terms and conditions of the Creative Commons Attribution (CC BY) license (https://creativecommons.org/licenses/by/4.0/).