Preprint
Article

This version is not peer-reviewed.

Assessing the Limit of CO2 Storage in Seawater as Bicarbonate-Enriched Solutions

A peer-reviewed article of this preprint also exists.

Submitted:

26 July 2024

Posted:

29 July 2024

You are already at the latest version

Abstract
The dissolution of CO2 in seawater in the form of bicarbonate ions is an attractive alternative to the storage in geological formations, on the conditions that the storage is stable over long times and does not harm the marine environment. In this work, we focus on the long-term chemical stability of CO2 absorbed in seawater as bicarbonate, by monitoring the physico-chemical properties of the solutions (pH, dissolved inorganic carbon and alkalinity), in six different sets of experiments on both natural and artificial seawater lasting up to three months. The bicarbonate treatment of natural seawater consists in pouring pre-equilibrated solutions obtained from the reaction of CO2 and Ca(OH)2. If the pre-equilibrated mixture does not exceed a critical threshold (ca. 1000-1500 mmol/L), the resulting bicarbonate-rich solutions can be stable for over three months.
Keywords: 
;  ;  ;  ;  

1. Introduction

The permanent storage of carbon dioxide (CO2) is vital in virtually all mitigation scenarios compatible with ambitious climate targets. CO2 storage could be used, both for the CO2 captured from the flue gas of industrial processes and for the CO2 sequestrated from the atmosphere through artificial processes.[1]
The most developed approach for storing CO2 is the geological storage, namely the injection of CO2 in geological formations, e.g. in deep saline aquifers.[2] Because the pace and scaling of geological CO2 storage deployment have fallen short of expectations, and considering that this approach is unfeasible in many geographical areas, [3,4,5] there is an increasing interest in alternative solutions that could provide permanent storage of large quantities of CO2.
Many authors have proposed and studied the storage of carbon dioxide in seawater, which already contains 98% of the overall CO2 in the combined ocean-atmosphere system.[6] The large majority of this (86.5%) is actually in the form of bicarbonate ions (HCO3-).[6] Marine storage of CO2 in the form of bicarbonate ions has the potential to last for geologic times, on the order of 10,000 years.[7,8,9] Rau and Caldeira [10,11] proposed a method called Accelerated Weathering of Limestone (AWL), consisting of the reaction of CO2 from power plants exhaust gas with seawater and calcium carbonate minerals (CaCO3), namely calcite or aragonite, with a final discharge in the ocean of an ionic solution rich in bicarbonates. The overall “weathering” reaction may be summarized as follows:
CaCO3(s) + CO2(g) + H2O(l) → Ca2+(aq) + 2HCO3-(aq)
This method has progressed from the laboratory level[12] to the feasibility case study[13] and to a pilot-scale reactor,[14] as well as with modelling of local impacts on seawater carbonate chemistry. [15] An improvement of this method, named buffered accelerated weathering of limestone (BAWL), has been proposed by Caserini et al.[16] With this approach, CO2 is used in stoichiometric excess with respect to the carbonate minerals, but calcium hydroxide [Ca(OH)2, also known as slaked lime, SL] is added in the final stages of the process to produce a buffered ionic solution at the same pH of the seawater. De Marco et al.[17] investigated mass and energy balances and the costs of applying BAWL to the capture and storage of CO2 from the flue gas of an existing industrial source, and concluded that the process is technically feasible and economically viable.
One intrinsic shortcoming of the AWL and BAWL is the slow rate of the reaction between aqueous CO2 and limestone. As a consequence, big plants treating large amounts of seawater would be necessary for marine storage of CO2. The Limenet® [18] process is an evolution of BAWL that attempts to overcome this problem by the direct combination of CO2 with Ca(OH)2, to induce the overall reaction:
2CO2(aq) + Ca(OH)2(s) + H2O(l) → Ca2+(aq) + 2HCO3-(aq)
The reaction is carried out in specially designed reactors, where CO2 is first dissolved in seawater, and then Ca(OH)2 is added to give a bicarbonate-enriched solution with a pH equal to that of natural seawater. As an additional benefit, the solution has a large alkalinity, thus increasing the buffer capacity of seawater against acidification.[19] For this reason, those technologies are classified as Ocean Alkalinity Enhancement (OAE) processes. The SL employed in reaction (2) is typically produced by calcination of limestone, an energy-intensive process, that produces one mol of CO2 per mol of CaCO3. Any additional CO2 emission can be avoided by using renewable energies for the calcination and by sequestering the CO2 with one half of the produced Ca(OH)2. Therefore, ideally this process enables the net sequestration of one mol of CO2 per mol of CaCO3.
The fundamental question which inspired this research is whether the increased amount of bicarbonate in seawater remains stable over time and therefore fulfils the requirements for permanent storage. The aim is also to identify the optimal relative amounts of seawater, CO2 and Ca(OH)2 that avoid CO2 degassing as well as abiotic or biotic precipitation of carbonate minerals. These are two of the strongest pitfalls of such approaches, because carbonate precipitation would lead to the re-emission of CO2 in the atmosphere, by a reaction that is essentially the reverse of (1):
Ca2+(aq) + 2HCO3-(aq) → CaCO3(s) + CO2(g) + H2O(l).
These questions were prompted, amongst other things, by analogous studies of the stability of seawater treated by ocean liming (OL) operations.[7,20,21] OL consists in the direct dispersion of Ca(OH)2 on the surface of seawater, to induce an additional absorption of atmospheric CO2.[7] Those studies demonstrated that, apart from causing potentially harmful spikes of the seawater pH, such OAE operations may also be ineffective because they trigger unwanted side reactions like (3). While the classical ocean liming is an unequilibrated process, the injection of a bicarbonate solution has the inherent advantage of leaving the seawater pH unaltered. In fact, the dissolution of calcium hydroxide occurs in a closed system and with the exact amount of water needed. Only afterwards, the bicarbonate-enriched marine solution is released into the sea, at the same pH. This pH-equilibrated marine solution implies fewer serendipities and unpredictable behaviours than ocean liming, especially pH pikes and possible precipitation of carbonates.
In this respect it is important to stress that ocean surface is heavily supersaturated in carbonate minerals, which implies a high risk of precipitation. A sudden and uncontrolled increase of the local concentration of carbonate ions may trigger the nucleation and therefore the precipitation of the carbonate minerals. In particular, the aragonite saturation state:
Ω A r = C a 2 + C O 3 2 K S P
(where [X] is the molar concentration and KSP is the stoichiometric solubility product of aragonite in seawater) ranges between 2.7 and 3.7 in the Mediterranean Sea.[22] The aragonite saturation state is considered a useful indicator of the risk of precipitation, even though it is more soluble than calcite, because precipitation of the latter is inhibited by the high concentration of magnesium in seawater.
Having this in mind, we have tested the stability of seawater solutions containing an enhanced concentration of bicarbonate ions, in two distinct sets of experiments:
(a)
natural seawater treated with the Limenet® process at a site located in the harbour of La Spezia (Italy), and subsequently transferred to our laboratory at the Politecnico di Milano for long-term monitoring;
(b)
artificial seawater prepared and treated in the laboratory with controlled additions of sodium bicarbonate.
Furthermore, we have evaluated the durability of CO2 stored in the form of dissolved bicarbonates through measurements of the pH, Dissolved Inorganic Carbon (DIC) and Total Alkalinity (TA).
Within the scope of our study, it is important to stress that DIC approximately coincides with the sum of C contained in HCO3- and CO32- because the smaller contribution of CO2 can be ignored in seawater and no other inorganic C is present. On the other hand, TA is approximately the sum of quantities of HCO3- and 2 times CO32-. Both indicators are therefore useful to monitor the C content in seawater. Our observations have been correlated with the calculated saturation states (Ω) of calcite and aragonite [equation (4)]. We have monitored these parameters over long time periods, ranging from a few days up to three months. This allowed us to assess the stability of the treated solutions.

2. Results

Table 1 summarizes the series of experiments that we carried out to test the stability of bicarbonate-enriched seawater solutions. The first column contains labels used throughout the manuscript to indicate a series of samples and experimental conditions. These can be classified according to the following variables (see Materials and Methods for more details):
1)
Mode: carbon was added to the solutions either in a single step or by multiple additions over a period of several days.
2)
Seawater: we used either natural seawater (collected from the Mediterranean Sea at La Spezia) or artificial seawater (prepared from purified water and inorganic salts).
3)
Environment: we measured the evolution of the treated solutions either in an open atmosphere or otherwise in closed cabinets with a fixed volume of enclosed air (ca. 300 L). We call “mixed” the experiments where we have temporarily opened the cabinet to perform the addition of sodium bicarbonate.
4)
Treatment: the alkalinization of seawater was obtained either with a concentrated solution of sodium bicarbonate or through the Limenet® process. The latter implies the formation of calcium bicarbonate from the neutralization of carbon dioxide and calcium hydroxide, as described in the Introduction and in Materials and Methods. These treatments are indicated in the table as NaHCO3 and Ca(HCO3)2, respectively.
5)
MaxΔDIC: the largest theoretical amount of added carbon (in µmol/L), for a series of experiments. It is a theoretical value because it represents the expected increase of the DIC, assuming an ideal addition without degassing or precipitation.
6)
Initial DIC: in the experiments with natural seawater, the measured initial DIC was 2370 µmol/L for SN1/SN2 and 2470 µmol/L for MN. In the experiments with artificial seawater (MA and SA), the initial DIC was set to 2000 µmol/L[23] or to 2800 µmol/L obtained from the dissolution of NaHCO3.
7)
Duration: it refers to the longest duration of a set of experiments. Measurements were carried out in the laboratory for up to 90 days.
In Figure 1, we report results from the experiments of types SN1 and SN2, which are characterized by different values of MaxΔDIC. The measurements lasted up to 90 days, which is one of the longest periods ever reported in the literature for this kind of studies. The numbers next to each code (e.g., 70 in “SN1 - 70”) indicate the theoretical added DIC, in µmol/L. We measured the pH, DIC and TA, with variable frequency. We also report the results of concomitant control experiments on untreated natural seawater (SW) used as reference. The average starting pH of the SW samples we analysed is ca. 8.1, close to the values reported in the literature for the Mediterranean.[22]
A few minutes after the initial dissolution (“day 0”), all the samples share the same pH as SW, apart from the two solutions with the highest ΔDIC (7510 μmol/L for SN1 and 5650 μmol/L for SN2), which feature a lower pH. This is probably caused by a partial precipitation of carbonate minerals occurring in the initial stages of the treatment, before the first pH measurement. Nonetheless, even in these two solutions the pH grows until day 18, when the gap with the other solutions is greatly reduced, even though it remains below that of SW. The pH of the solutions with an added DIC below 270 μmol/L does not show a systematic trend compared to SW, although the differences with respect to SW are always below 0.04, well within the precision limits of the measurements. For solutions with carbon addition between 360 and 1500 μmol/L, the pH is consistently higher than in SW, proportionally to the theoretical concentration. Note that a small increase in pH is expected to be beneficial for the marine environment, considering that the oceans have already undegone significant acidification (the average pH has decreased from 8.11 in 1985 to 8.05 in 2021) due the enhanced absorption of CO2 from the atmosphere,[24] and that a surface ocean pH as low as recent times is uncommon in the last two million years. [25]
The rest of Figure 1 reports results for the DIC [panels (b) and (e)] and the TA [panels (c) and (f)]. The measurements of these quantities started on “day 1”, immediately after the arrival of the seawater samples at our laboratory. The overall behaviour of these quantities is consistent with our pH measurements. In both the SN1 and SN2 series of experiments, the two solutions treated with the largest additions show a decrease of DIC and TA to levels lower than in SW, within approximately 30 days. Note that, for most of the samples, the measurements of DIC indicate values already lower than the sum of the initial DIC and the theoretical ΔDIC (see again Table 1). This will be taken into account in the formulation of the process efficiency, below. On the other hand, untreated SW and the solutions with ΔDIC equal to 1500 µmol/L or lower show a slight increase of TA and DIC for the entire duration of the monitoring.
The precipitation of carbonates from the most concentrated solutions is not surprising, considering the natural supersaturation of seawater.[22] The saturation states Ω of all solutions under examination can be computed from the measured pH, TA and DIC values,[6] and it shows some variation. We should consider that the samples were not stored in a temperature-controlled ambient, therefore also the Ω of untreated natural seawater had fluctuations during the control period: the initial Ω was 6.45 and 4.20 for calcite and aragonite, respectively, and the two quantities varied in the ranges 5.15-8.84 (calcite) and 3.34-5.69 (aragonite) without the occurrence of precipitation (Table A1). Of course, analogous oscillations have also affected the treated solutions. Therefore, for each measurement, we focus on the saturation of the treated solutions (Ωi) relative to the saturation of the control SW measured on the same day (ΩSW), using the ratio:
rΩ = ΩiSW.
Calcite and aragonite share the same rΩ because the solubility products disappear from the denominators, when computing equation (5).
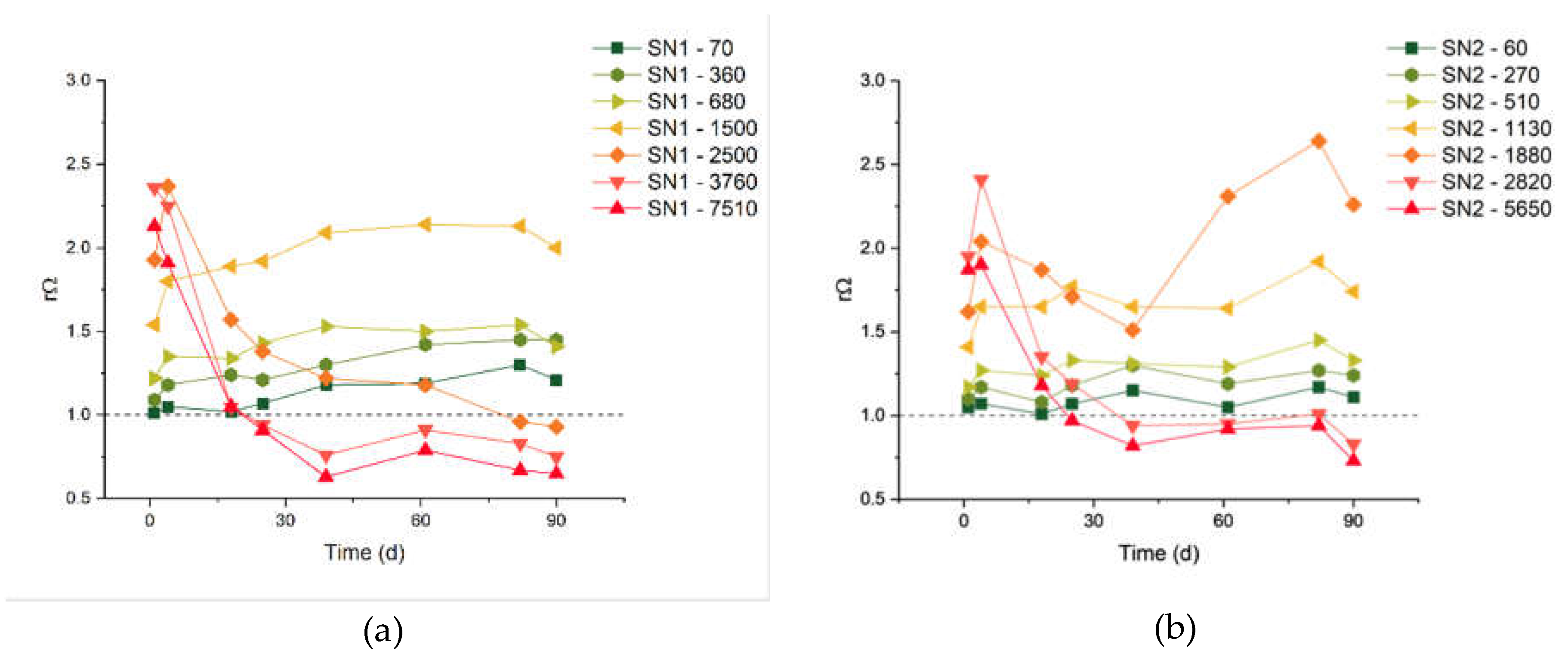
The results are reported in Figure 2. The samples with carbon additions of 5650 μmol/L and 2820 μmol/L are those with the largest rΩ at day 1, which rapidly decreases due to observed massive precipitation. The samples with carbon additions of 1500 μmol/L (for the SN1 experiments) and 1130 μmol/L (for the SN2 experiments) have the largest stable rΩ values, respectively equal to 1.94 and 1.68 (average values). These could be considered safe threshold values, below which precipitation of carbonate minerals does not occur in our samples.
Figure 3 reports results from the SA experiments on artificial seawater with a single addition of alkalinity in the form of NaHCO3 powder. Namely, we tested carbon concentrations of 2000, 2400 and 2800 µmol/L. Each experiment was repeated twice. Considering the value of 2000 µmol/L as a baseline close to untreated natural seawater (see again Table 1), these experiments are labelled as ΔDIC = 0, 400 and 800, respectively. The SA experiments were monitored in a sealed cabinet, which allowed to measure also the CO2 concentration in the atmosphere. The variation of CO2 over time should reflect the degassing from the solution.
The pH stabilizes in all the SA experiments, from 7.93 to 8.03. Instead the TA shows sizeable fluctuations, which however are largely due to the technical difficulty of these measurements. As shown in Figure 3, in all the three additions, the DIC measured just after the dosage decreases at the end of the experiment to about 100-150 µmol/L, depending on the dosage (values reported as DICf - DICi). This gap increases with the DIC addition, suggesting a degassing of CO2. This hypothesis is confirmed by the measured increase of atmospheric CO2 (CO2,f - CO2,i), although not consistent with the DIC addition. Overall, we can define ΔC,tot as the sum of DICf - DICi and CO2,f - CO2,i. We see that all the experiments show a loss of carbon which is not present either in solution or in air. The missing carbon is likely due to minor precipitation of carbonates. We were not able to retrieve the expected quantities in the form of powder after filtration, precisely because these were very small.
Another laboratory experiment (MAM in Table 1) was carried out with eight regular additions, again starting from 2000 µmol/L up to a theoretical DIC of 5200 µmol/L (hence, a ΔDIC of 3200 µmol/L).
The results of the MAM experiment are reported in Figure 4. The measured DIC increases, but it is progressively lower than the expected one. It is noteworthy that the last addition did not produce any increase in DIC. The total alkalinity, also shown in Figure 4, reflects the same behavior of DIC, though with a pair of outliers at day 6, possibly due to a calibration pitfall. It should be considered, in fact, that the precision of DIC measurement (repeated 3-4 times for each sampling) is much superior to that of TA (single measurement for each sampling).
Even accounting for the lower precision, the drop of TA (compared to the theoretical value) seems to be delayed with respect to the drop of DIC. For example, after the third addition on day 8, the TA still matches the theoretical value, while the DIC does not. This may be ascribed to some CO2 degassing occurring already after the first additions, while the loss of carbon by precipitation (with a concurrent decrease of DIC and TA) would be triggered only subsequently. Indeed, the formation of a few particles was visually observed at two stages of the MAM experiments:
1) a few days after the third injection of NaHCO3 (with a theoretical DIC of 3200 µmol/L) some precipitates floated on the surface of the solution;
2) at the endpoint of the experiment (theoretical DIC = 5200 µmol/L), a significant number of precipitates stuck on the wall and bottom of the beaker were observed.
The first episode of precipitation occurred during the longest shift at a fixed concentration, enough to allow precipitation. This is the point where the differences between the measured and the theoretical DIC and TA start to increase significantly. Calculated ΩAr rises from 0.88 (at day 0) to 6.37 (at day 22) and then drops due to precipitation.
The precipitates from the MAM experiment were collected and analyzed by XRD. The diffraction pattern, shown in Figure 5, has clear signatures for the presence of aragonite. The large bump at low diffraction angles is mainly due to scattering from the sample holder and air, while the second one at higher angles is likely due to an amorphous carbonate phase and small precipitation nuclei.[26] From the diffraction pattern it is not possible to recognize any other crystal form than aragonite (and certainly exclude the presence of calcite), despite of the fact that aragonite is more soluble (it has a higher KSP) than calcite. It is well-known that kinetic factors may dominate over thermodynamic ones in the precipitation of carbonates from seawater.[27]
Finally, we describe the MAC and MN experiments. They were carried out to compare the response of artificial and natural seawater against alkalinity addition. These experiments lasted 16 and 52 days, respectively, with an NaHCO3 addition one week after the start of the experiments. The final theoretical DIC concentration was chosen in both cases to be greater or equal to 3200 µmol/L, which triggered the precipitation of aragonite in the MAM experiments (Figure 4). The environment was sealed for the entire duration of these experiments. As shown in Figure 6, continuous decreases of DIC and TA are observed since the start of the MAC experiment, indicating continuous degassing and precipitation, consistent with the measured increase in CO2 concentration in the surrounding atmosphere (Figure 7). The results from the MN experiment in Figure 8 show a similar trend in DIC, while the measurements of TA are more erratic but stable, which may indicate degassing and, to a lesser extent, some precipitation.

3. Discussion

The experiments described in the previous section enable us to widen the perspective on the processes for treating seawater with buffered solutions enriched with CO2. The overall purpose of the experiments was to assess the efficiency of the alkalinity enhancement process (i.e., the fraction of CO2 that is actually introduced in seawater, mainly as bicarbonates) and its efficacy (i.e., the stability over time of the solutions, without precipitation of minerals or degassing of CO2). Here we concentrate on the discussion of the SN experiments, that are based on the application of the revised BAWL technology implemented by Limenet® on natural seawater.
The hypotheses underlying the BAWL technology that we wanted to test are:
  • by injecting a CO2 solution pre-equilibrated at the same pH as natural seawater, one induces the least perturbation to the chemical equilibria of the carbonate system and to the natural environment. In particular, pH should remain constant both after the initial treatment and over longer times;
  • CO2 remains in the seawater solution mainly in the form of bicarbonate, so that the alkalinity and carbon content should increase, without precipitation of mineral phases or degassing of CO2;
  • the efficiency is high , meaning that the measured increase of DIC matches the added quantity, over a long time.
One major concern for marine sequestration approaches is that seawater is already oversaturated for calcium carbonates, therefore any further addition increases the risk of precipitation and degassing. All results indicate that there is indeed an upper limit, above which it is not possible to increase the carbon content of seawater. This affects the CO2 storage and the method efficiency, i.e. hypotheses b) and c). Below the critical concentration, all the previous interrelated hypotheses are simulatenously verified.
The natural seawater solutions treated with the Limenet® process had a stable pH around the natural value of 8.1, up to DIC additions of 1500 µmol/L (Figure 1). Therefore there are no special concerns about hypothesis a). Also the DIC and TA are stable when seawater is treated within this concentration limit, as they show an average variation of 3 to 4%, the same observed for untreated natural seawater.
The DIC and TA drop by more than 60% when seawater is treated with the most concentrated solutions (see more details in Table A4, Table A5 and Table A6). The decrease of carbon content observed for DIC additions > 1500 µmol/L is probably due to a combination of CO2 degassing and precipitation of carbonate minerals. Once nucleation triggers the precipitation of carbonates, it can quickly proceed to significantly reduce Ω, in addition or in synergy with degasification.
The critical Ω of aragonite and calcite were recognized as important indicators of the likelihood of precipitation.[20,21] Marion et al. [28] suggested 18.8 and 12.3 for ΩCa and ΩAr, respectively. In more specific experiments on OAE, Moras et al. [20] reported aragonite formation at much lower supersaturations and suggested a safe threshold of ΩAr=5 to avoid the “runaway” precipitation. In our SN1-1500 samples, there is no evidence of precipitation even if the ΩAr has an average value of 7.7. Such discrepancies among the defined thresholds may originate from a number of factors. First of all, we point out that the supersaturation states are not measured directly, but they are calculated by geochemical softwares that may apply different models. Secondly, one should take into account the specific technologies and chemicals used in the OAE operations, as well as the origin of the seawater (location, temperature, salinity, etc.). Finally, there are factors such as the presence of organic matter, pollutants, colloidal particles and marine organisms that are not taken into account in the evaluation of ΩAr, but they can certainly affect precipitation reactions.[29,30,31] For these reasons, here we suggest the increase of Ω relative to that of the starting SW [rΩ, see eq. (5)] as a possible indicator for defining a safe OAE application.
Notwithstanding the different approaches to define the threshold, when the limit is reached, the carbon storage efficiency drops significantly. The efficiency [η(t)] can be defined as the ratio between the observed increase in the carbon content of seawater, and the theoretical one (ΔDIC). Our notation indicates that it is a time-dependent quantity.
Let DIC(t) and DICSW(t) be the measured values of DIC for a given treatment and for untreated natural seawater, measured in the laboratory at the same time t. These two concentrations change in time, also due to processes that are unrelated to the loss of carbon, such as water evaporation and biological activity (the samples were kept in the lab at room temperature, in open glass bottles).
We obtain the efficiency as the product of two factors. The first ( η 0 ) depends on phenomena occurring during the initial addition of carbon, the second one ( η S t ) during the subsequent stability tests:
η t = η 0 × η S t t .
These are given by:
η 0 = D I C 0 D I C S W 0 Δ D I C
and:
η S t ( t ) = 1 r ( t ) × D I C t D I C S W t D I C 0 D I C S W 0
where:
r t = D I C S W t D I C S W 0   .
The value of ƞ0 takes into account non-idealities that may occur in the reactor and in the line from the reactor to the delivery point, that reduce the amount of carbon taken up by the seawater solutions before discharge. Our estimates, based on the extrapolation of DIC data measured at day 1 (see Figure 9), lead to η 0   80% for Δ D I C 360 μmol/L. This value could be increased by optimizing the process parameters. The efficiency of stability includes a correction factor r ( t ) that takes into account the already mentioned phenomena, which also occur in natural seawater under our laboratory conditions and affect all the DIC values, even though there are unrelated to the loss of carbon.
Figure 10 shows the ƞSt trends for samples with ΔDIC higher than 270 µmol/L. The data for lower concentrations are not reported here because they are subject to very large errors. All samples with carbon addition between 510 and 1500 µmol/L share a similar trend: an average stability efficiency between 88% and 94%, and a standard deviation of 8%-9% (but for the 510 µmol/L theoretical DIC addition, for which the standard deviation was 16%). This implies an overall process efficiency of the order of 70%.
The sample with ΔDIC equal to 360 µmol/L shows an efficiency that grows far above the 100% limit. This anomalous behaviour is likely due to a contamination of the sample after day 39, as it is not observed in all the other samples.
On the other hand, for the samples with a ΔDIC higher than 1500 µmol/L, the efficiency drops dramatically within a few days. For the highest concentrations, the efficiency is actually close to zero or even negative. A negative efficiency indicates a final DIC content lower than in untreated seawater. This agrees with the observed decrease of DIC in Figure 1 and the runaway precipitation of carbonate minerals, similar to the discussion by Moras et al.,[20] Hartmann et al. [21] and Varliero et al.[32]
A final remark on efficiency is related to CO2 equilibrium with the atmosphere. Figure 1(a) and 1(d) show a small increase of pH from day 1 to 4, for all the samples, including seawater. This is likely due to the equilibration of the solution with the atmosphere, by degassing. The importance of degassing is also highlighted by the experiments with small ΔDIC in artificial seawater (SA and MAC, see Figure 3, Figure 6 and Figure 7). In those experiments, atmospheric CO2 increased without precipitation. Indeed, the pH of artificial seawater is generally lower than that of natural one, so it is understandable that degassing is more prominent.

4. Materials and Methods

4.1. Natural Seawater

Natural seawater has been used for two experiment configurations: single and multiple alkalinity dosages. The seawater has been sampled in two different occasions. Seawater sampling for SN1 and SN2 experiments occurred in September and October 2022 in La Spezia (Liguria, Italy) at CSSN (Naval Support and Experimentation Center coordinates: 44.095863, 9.862471). The MN experiment used water collected in February 2024 always in La Spezia bay (44.1013006, 9.8280323), and stored in glass or polycarbonate Nalgene containers.

4.2. Artificial Seawater

The artificial seawater was prepared by dissolving NaCl, Na2SO4, KCl, MgCl2·6H2O, and CaCl2 salts in purified water, with the relative abundances proposed by Roy et al.[33] Then, it was stored in polycarbonate Nalgene tanks. All salts were Labkem products, purchased from Labbox, and used without further purification.

4.3. Treatment with Ca(HCO3)2

Figure 11 shows a schematic block diagram of the Limenet® system as implemented in La Spezia. Using a draft pump, about 25 L/s, seawater was collected at a depth of 2 meters. After about 10 seconds, a gaseous stream of 100% CO2 was injected. After about 180 seconds, a slurry of Ca(OH)2 was dosed into the acidic stream of seawater and CO2 to reach the same pH as fresh seawater (i.e., about pH 8.1). The slurry was made of 30 parts of seawater and 1 part of Ca(OH)2 in weight. Table 3 summarizes the proportion of seawater, CO2 and Ca(OH)2.
pHSense 5-381 and TurbSense SN—TSIR—9667 probes were used to monitor pH and turbidity in the system. CO2 was provided by AirLiquide, while Ca(OH)2 powder by Unicalce.
Three sets of samples were collected: SN1 with a ratio of 3000 m3/ton between seawater and CO2; SN2 and SN3 with a ratio of 4000 m3/ton (see Table A6 for SN3). The bicarbonate-enriched solutions produced were diluted with fresh seawater, using variable proportions, namely 1:0, 1:1, 1:4, 1:10, 1:20 and 1:100 mass rations between the alkaline solution and the fresh seawater (see Table 4 for the corresponding ΔDIC).
After preparation, the containers were capped and transported on the same day to the laboratory of the Department of Chemistry, Politecnico di Milano, without any thermostatic storage device or other conditioning.
DIC and TA analysis was carried out within 24 hours after the collection. It was repeated once a week for one month and then twice a week for the last two months, for a total of 90 days.
Each sample was stored in two 500-mL borosilicate glass bottles and uncapped to allow them to reach equilibrium with CO2 of the laboratory conditions. On day 1, pH and conductivity measurements were carried out to check the consistency between the two containers. We excluded from the result section the measurements on day 53 because the first bottles of each sample were almost empty and therefore more affected by evaporation. Anyway, in Figure 1, for some solutions (especially SN2-1880) there is a visible gap between day 39 (last measurement from first bottle) and day 61 (first measurement from second bottle).

4.4. Treatment with NaHCO3

Experiments SA, MAM, MAC and MN took place at the Politecnico di Milano. In these experiments, powdered sodium bicarbonate (NaHCO3) was added to 4.5 L of natural seawater.
NaHCO3 was a Labkem product from Labbox, and used without further purification.
In the SA experiments, sodium bicarbonate was added in a single dosage (2.0, 2.4 and 2.8 mmol/L). 2 mmol/L is the value of NaHCO3 suggested by Millero[23] for artificial seawater to mimic the natural seawater pH and alkalinity. These experiments have been repeated twice. Furthermore, a control test, without NaHCO3 addition, was carried out.
After NaHCO3 addition, the beaker was confined inside a sealed poly(methylmetracrilate) plexiglas cabinet with a volume of 0.335 m3 to avoid exchanges of air with the external environment of the laboratory, having an air/water volumetric ratio equal to 74.3. The windows were opened approximately two hours before the analysis to keep the concentration of CO2 similar among different experiments and to allow the CO2 equilibration.
Probes were placed inside the cabinet to measure continuously pH, conductivity, and temperature of the artificial seawater. A CO2 sensor was used to measure concentration (ppm) of CO2 in the atmosphere inside the cabinet. DIC and alkalinity were analysed before and immediately after the NaHCO3 addition. At the end of the experiment, i.e., after about 48-72 hours, the cabinet was opened, and all the measurements were repeated.
The MAM experiments were performed in artificial seawater. Sodium bicarbonate was dosed in multiple stages, opening the cabinet for dosages and samplings. The addition was done step by step over 24 days, from 2000 to 5200 µmol/L.
MN and MAC experiment were performed with 4L of solution instead of 4.5 L, thus with air/water volumetric ratio of 83.35. The cabinet was closed for the entire duration of the experiments, and sample suction and alkalinity injection were done through a 150 ml syringe by piping from the inside to the outside of the cabinet and controlled by a manually driven valve. NaHCO3 was pre-dissolved in a treated solution sampled by the syringe and then re-injected in the solution. To maintain the volume of the solution, treated seawater samples were kept outside the cabinet and added to replace the seawater sampled for measuring the DIC and TA. Before the first injection, the artificial and natural seawater were equilibrated with air inside the closed cabinet for three and one day, respectively. TA, DIC, pH, and conductivity were measured by periodic sampling, and CO2 concentration in the air was continuously recorded.
For all experiments, temperature was not controlled; the maximum and minimum values recorded during the entire duration of the experiments were about 21 and 16°C, respectively.

4.4. Measurements

Before the first measurements of a new bottle, each sample is vacuum filtrated with sieves of 2-3 μm cut-off to remove large particles that could affect the subsequent analyses. Moreover, filtration allows identification of the precipitates' nature and composition by X-ray diffraction analysis (XRD) using a Rigaku-Synergy-S single-crystal diffractometer. This equipment was necessary given the small amount of precipitate that did not allow a classical powder XRD measurement.
pH and conductivity are measured using electrode sensors of MATTLER TOLEDO Seven excellence. The pH probe was calibrated every two weeks according to the NIST scale, then the values were corrected on the total scale, as suggested by Badocco et al.[34]
Total alkalinity was measured by automatic titration (Hanna Instruments HI84531). The pH probe was calibrated every two weeks while the pumping system was every day.
Dissolved Inorganic Carbon was measured by acidification and non-dispersive infrared absorbance (Analytik Jena multi NC 2100S). The machine calculates DIC concentration as the average of three measurements. If the average has a variation coefficient higher than 2%, a fourth measurement is provided, and one is discarded. We verified the calibration by measuring a 2500 µmol/L standard.
Atmospheric CO2 was measured using a sensor (ITSENSOR RCO2-W) located inside the cabinet.

4.5. Speciation and Phase Equilibria Simulation

The supersaturation Ω of aragonite has been calculated with CO2Sys Excel Macro,[35] version 2.5, using salinity, temperature, DIC and pH as input data to characterize the carbonate system. The software was set on pH total scale, using constants from Mehrbach[36] refit by Dickson and Millero[37] for the carbonate system, Dickson[38] for KHSO4, and Uppström[39] for BT. Practical salinity was calculated from the measured conductivity.[40] The calculation of Ω in CO2Sys does not consider the variation of Ca+2 due to the dissolution of Ca(OH)2 and precipitation of CaCO3, so the value was corrected as suggested by Moras et al.[20]
For the experiments in artificial seawater, a set of simulations was performed to determine the concentrations of NaHCO3. The aim was to ensure that Ω of aragonite did not exceed 5, i.e., the threshold value above which seawater is so oversaturated to cause the precipitation of carbonates and the consequent release of CO2 in the atmosphere.[21] These simulations were performed with PHREEQC software version 3.7.0,[41] with the dataset “phreeqc.dat”.

5. Conclusions

We have presented a series of experiments on bicarbonate-enriched seawater, including both its natural and artificial variants. The aim was to assess the factors affecting the stability and overall efficiency of the storage process, against adverse mechanisms such as CO2 degassing and precipitation of carbonate minerals [see e.g. Equation (3)].
The experiments on natural seawater presented in this work enable us to conclude that, for carbon additions up to 1500 µmol/L, the carbonate system and the carbon storage efficiency are stable over time. In fact, mixing seawater with calcium bicarbonate solutions prepared with the Limenet® process results in a stable preservation of CO2 for over three months. Noteworthy, the duration of these experiments is almost unprecedented for this kind of studies. On the other hand, higher concentrations (with total DIC of ca. 4100 µmol/L, equivalent to a carbon addition of about 1800 µmol/L) may lead to precipitation and loss of efficiency. Experiments on artificial seawater, treated with solid NaHCO3, show precipitation and degassing for an increase of carbon content of ca. 1200 µmol/L, corresponding to a total DIC of 3200 µmol/L.
Considering the uncertainties of our measurements and the environmental variance, we may conclude that a safe limit for the increase of carbon content in our seawater samples is about 1000 µmol/L. It is also important to consider that the precipitation observed above this threshold occurs only after several days. In a real-world application in a marine environment, this delay is likely sufficient to achieve a significant dilution and avoid this pitfall, also for higher DIC additions.

Supplementary Materials

The following supporting information can be downloaded at the website of this paper posted on Preprints.org.

Author Contributions

Conceptualization, G.C., S.Cap., S.Cas., P.M. and G.R.; data curation, F.C., S.J.A. and S.V.; formal analysis, G.R. and S.V.; investigation G.C., S.Cap., F.C., S.J.A. and S.V.; methodology, S.J.A., P.M., S.V.; supervision, P.M. and G.R.; writing—original draft preparation, F.P.C., F.C., S.J.A and S.V.; writing—review and editing, S.Cas, P.M. and G.R.; All authors have read and agreed to the published version of the manuscript.

Funding

The experiments: whose results are presented in this paper, are funded partly by Limenet®, partly by a contract of Hyrogas SIA (Latvia) with the Politecnico di Milano. The work of S.J.A. is funded by MUR with a DM117 scholarship. .

Institutional Review Board Statement

Not applicable.

Informed Consent Statement

Not applicable.

Data Availability Statement

One Excel file containing the data related to this study is included within the supporting information.

Acknowledgments

The authors thank CSSN - Centro di Supporto e Sperimentazione Navale that host the experimental facility in La Spezia.

Conflicts of Interest

Some authors (Francesco Pietro Campo, Giovanni Cappello, Stefano Cappello, Federico Comazzi) are affiliated with Limenet®, which owns the patent (PCT/IB2022/051464) of the process producing the marine bicarbonate solution analysed in this study. The remaining authors have no conflicts of interest to declare.

Appendix A

Table A1. Saturation state (Ω) of aragonite for SN1 set of samples in time.
Table A1. Saturation state (Ω) of aragonite for SN1 set of samples in time.
Time (d) SW SN1 - 7510 SN1 - 3760 SN1 - 2500 SN1 - 1500 SN1 - 680 SN1 - 360 SN1 - 70
1 4.21 8.94 9.91 8.11 6.46 5.12 4.60 4.25
4 4.30 8.21 9.67 10.20 7.73 5.82 5.08 4.53
18 4.03 4.25 4.22 6.33 7.61 5.41 5.01 4.10
25 4.20 3.82 3.96 5.80 8.05 6.03 5.09 4.51
39 3.69 2.33 2.81 4.49 7.72 5.65 4.81 4.34
61 3.34 2.65 3.05 3.95 7.14 5.01 4.76 3.99
82 3.69 2.48 3.05 3.53 7.88 5.68 5.37 4.81
90 4.60 2.99 3.44 4.26 9.18 6.50 6.68 5.57
Table A2. Saturation state (Ω) of aragonite for SN2 set of samples in time.
Table A2. Saturation state (Ω) of aragonite for SN2 set of samples in time.
Time (d) SW SN2 - 5650 SN2 - 2820 SN2 - 1880 SN2 - 1130 SN2 - 510 SN2 - 270 SN2 - 60
1 4.21 7.88 8.21 6.83 5.93 4.92 4.61 4.42
4 4.30 8.20 10.39 8.79 7.11 5.45 5.03 4.58
18 4.03 4.75 5.45 7.53 6.64 5.01 4.36 4.07
25 4.20 4.07 4.99 7.17 7.45 5.58 4.97 4.50
39 3.69 3.03 3.46 5.58 6.08 4.84 4.78 4.23
61 3.34 3.09 3.19 7.72 5.48 4.31 3.99 3.50
82 3.69 3.48 3.73 9.76 7.09 5.35 4.69 4.32
90 4.60 3.37 3.80 10.39 8.00 6.12 5.71 5.10
Table A3. Data from SA experiments. Each row refers to a single experiment. ΔDIC is the addition of NaHCO3. pHf is the final pH. (TAf - TAi) and (DICf - DICi) are the differences between the final values of TA, DIC or and those referred to measurements taken just after the addition of bicarbonate. CO2,f - CO2,i indicates the variation of CO2 in the gas phase, expressed as µmol of gaseous CO2 per L of solution volume. ΔC,tot is the total variation of carbon in the system, considering the atmosphere and the solution contribution. Ωar is the calculated aragonite saturation state, at the beginning of each experiment, right after the bicarbonate addition.
Table A3. Data from SA experiments. Each row refers to a single experiment. ΔDIC is the addition of NaHCO3. pHf is the final pH. (TAf - TAi) and (DICf - DICi) are the differences between the final values of TA, DIC or and those referred to measurements taken just after the addition of bicarbonate. CO2,f - CO2,i indicates the variation of CO2 in the gas phase, expressed as µmol of gaseous CO2 per L of solution volume. ΔC,tot is the total variation of carbon in the system, considering the atmosphere and the solution contribution. Ωar is the calculated aragonite saturation state, at the beginning of each experiment, right after the bicarbonate addition.
ΔDIC (µmol/L) pHf TAf - TAi (µeq/L) CO2,f - CO2,i (µmol/L) DICf - DICi (µmol/L) ΔC,tot (µmol/L) Ωar
0 8.03 18 70 -92 -22 2.58
0 7.93 68 57 -94 -37 2.28
400 7.98 116 105 -122 -17 2.96
400 7.96 -16 149 -129 20 2.53
800 8.00 112 66 -169 -103 3.37
800 8.01 -4 66 -143 -77 3.71
Table A4. Average, standard deviation and averaged percentage variation (AV%) for SN1 of DIC and TA during the three months of samples analysis.
Table A4. Average, standard deviation and averaged percentage variation (AV%) for SN1 of DIC and TA during the three months of samples analysis.
ΔDIC DIC (µmol/L) AV% TA (µmol/L) AV%
0 2483 ± 87 4% 2661 ± 92 3%
7510 3294 ± 2035 62% 3373 ± 1950 58%
3760 2935 ± 1106 38% 3079 ± 1120 36%
2500 3135 ± 644 21% 3348 ± 652 19%
1500 3633 ± 169 5% 3910 ± 199 5%
680 3036 ± 116 4% 3237 ± 193 6%
360 2915 ± 206 7% 3085 ± 239 8%
70 2705 ± 199 7% 2883 ± 241 8%
Table A5. Average, standard deviation and averaged percentage variation (AV%) for SN2 of DIC and TA during the three months of samples analysis.
Table A5. Average, standard deviation and averaged percentage variation (AV%) for SN2 of DIC and TA during the three months of samples analysis.
ΔDIC DIC (µmol/L) AV% TA (µmol/L) AV%
0 2483 ± 87 4% 2661 ± 92 3%
5650 3245 ± 1637 50% 3371 ± 1552 46%
2820 3021 ± 864 29% 3131 ± 928 30%
1880 3576 ± 471 13% 3842 ± 434 11%
1130 3358 ± 109 3% 3547 ± 155 4%
510 2888 ± 108 4% 3030 ± 95 3%
270 2751 ± 97 4% 2844 ± 106 4%
60 2594 ± 99 4% 2694 ± 118 4%
Table A6. Average, standard deviation and averaged percentage variation (AV%) for SN3 of DIC and TA during the three months of samples analysis.
Table A6. Average, standard deviation and averaged percentage variation (AV%) for SN3 of DIC and TA during the three months of samples analysis.
ΔDIC DIC (µmol/L) AV% TA (µmol/L) AV%
0 2472 ± 77 3% 2686 ± 102 4%
2820 2645 ± 1003 38% 2789 ± 1081 39%
1130 3417 ± 110 3% 3758 ± 226 6%
510 2904 ± 94 3% 3134 ± 148 5%
270 2773 ± 88 3% 2936 ± 175 6%
60 2556 ± 91 4% 2756 ± 121 4%

References

  1. Technical Summary. In Climate Change 2022 - Mitigation of Climate Change; Cambridge University Press, 2023; pp. 51–148.
  2. Celia, M.A.; Bachu, S.; Nordbotten, J.M.; Bandilla, K.W. Status of CO 2 Storage in Deep Saline Aquifers with Emphasis on Modeling Approaches and Practical Simulations. Water Resour Res 2015, 51, 6846–6892. [Google Scholar] [CrossRef]
  3. Wang, N.; Akimoto, K.; Nemet, G.F. What Went Wrong? Learning from Three Decades of Carbon Capture, Utilization and Sequestration (CCUS) Pilot and Demonstration Projects. Energy Policy 2021, 158, 112546. [Google Scholar] [CrossRef]
  4. Lane, J.; Greig, C.; Garnett, A. Uncertain Storage Prospects Create a Conundrum for Carbon Capture and Storage Ambitions. Nat Clim Chang 2021, 11, 925–936. [Google Scholar] [CrossRef]
  5. Global CCS Institute Global Status of CCS 2023.
  6. Zeebe, R.E.; Wolf-Gladrow, D.A. CO2 in Seawater: Equilibrium, Kinetics, Isotopes; Gulf Professional Publishing, 2001. [Google Scholar]
  7. Renforth, P.; Henderson, G. Assessing Ocean Alkalinity for Carbon Sequestration. Reviews of Geophysics 2017, 55, 636–674. [Google Scholar] [CrossRef]
  8. Middelburg, J.J.; Soetaert, K.; Hagens, M. Ocean Alkalinity, Buffering and Biogeochemical Processes. Reviews of Geophysics 2020, 58. [Google Scholar] [CrossRef]
  9. Eisaman, M.D.; Geilert, S.; Renforth, P.; Bastianini, L.; Campbell, J.; Dale, A.W.; Foteinis, S.; Grasse, P.; Hawrot, O.; Löscher, C.R.; et al. Assessing the Technical Aspects of Ocean-Alkalinity-Enhancement Approaches. State of the Planet 2023, 2-oae2023, 1–29. [Google Scholar] [CrossRef]
  10. Rau, G.H.; Caldeira, K. Enhanced Carbonate Dissolution: Energy Convers Manag 1999, 40, 1803–1813. [CrossRef]
  11. Caldeira, K.; Rau, G.H. Accelerating Carbonate Dissolution to Sequester Carbon Dioxide in the Ocean: Geochemical Implications. Geophys Res Lett 2000, 27, 225–228. [Google Scholar] [CrossRef]
  12. Rau, G.H. CO 2 Mitigation via Capture and Chemical Conversion in Seawater. Environ Sci Technol 2011, 45, 1088–1092. [Google Scholar] [CrossRef]
  13. Chou, W.-C.; Gong, G.-C.; Hsieh, P.-S.; Chang, M.-H.; Chen, H.-Y.; Yang, C.-Y.; Syu, R.-W. Potential Impacts of Effluent from Accelerated Weathering of Limestone on Seawater Carbon Chemistry: A Case Study for the Hoping Power Plant in Northeastern Taiwan. Mar Chem 2015, 168, 27–36. [Google Scholar] [CrossRef]
  14. Kirchner, J.S.; Berry, A.; Ohnemüller, F.; Schnetger, B.; Erich, E.; Brumsack, H.-J.; Lettmann, K.A. Reducing CO 2 Emissions of a Coal-Fired Power Plant via Accelerated Weathering of Limestone: Carbon Capture Efficiency and Environmental Safety. Environ Sci Technol 2020, 54, 4528–4535. [Google Scholar] [CrossRef]
  15. Kirchner, J.S.; Lettmann, K.A.; Schnetger, B.; Wolff, J.-O.; Brumsack, H.-J. Carbon Capture via Accelerated Weathering of Limestone: Modeling Local Impacts on the Carbonate Chemistry of the Southern North Sea. International Journal of Greenhouse Gas Control 2020, 92, 102855. [Google Scholar] [CrossRef]
  16. Caserini, S.; Cappello, G.; Righi, D.; Raos, G.; Campo, F.; De Marco, S.; Renforth, P.; Varliero, S.; Grosso, M. Buffered Accelerated Weathering of Limestone for Storing CO2: Chemical Background. International Journal of Greenhouse Gas Control 2021, 112, 103517. [Google Scholar] [CrossRef]
  17. De Marco, S.; Varliero, S.; Caserini, S.; Cappello, G.; Raos, G.; Campo, F.; Grosso, M. Techno-Economic Evaluation of Buffered Accelerated Weathering of Limestone as a CO2 Capture and Storage Option. Mitig Adapt Strateg Glob Chang 2023, 28, 17. [Google Scholar] [CrossRef]
  18. PCT/IB2022/051464. WO2022175885 – APPARATUS AND METHOD FOR ACCELERATED DISSOLUTION OF CARBONATES WITH BUFFERED PH.
  19. Gattuso, J.-P.; Hansson, L. Acidification: Background and History; Oxford University Press.
  20. Moras, C.A.; Bach, L.T.; Cyronak, T.; Joannes-Boyau, R.; Schulz, K.G. Ocean Alkalinity Enhancement - Avoiding Runaway CaCO3 Precipitation during Quick and Hydrated Lime Dissolution. Biogeosciences 2022, 19, 3537–3557. [Google Scholar] [CrossRef]
  21. Hartmann, J.; Suitner, N.; Lim, C.; Schneider, J.; Marín-Samper, L.; Arístegui, J.; Renforth, P.; Taucher, J.; Riebesell, U. Stability of Alkalinity in Ocean Alkalinity Enhancement (OAE) Approaches – Consequences for Durability of CO 2 Storage. Biogeosciences 2023, 20, 781–802. [Google Scholar] [CrossRef]
  22. Álvarez, M.; Sanleón-Bartolomé, H.; Tanhua, T.; Mintrop, L.; Luchetta, A.; Cantoni, C.; Schroeder, K.; Civitarese, G. The CO2 System in the Mediterranean Sea: A Basin Wide Perspective. Ocean Science 2014, 10, 69–92. [Google Scholar] [CrossRef]
  23. Millero, F.J. The Marine Inorganic Carbon Cycle. Chem Rev 2007, 107, 308–341. [Google Scholar] [CrossRef]
  24. Https://Www.Eea.Europa.Eu/En/Analysis/Indicators/Ocean-Acidification.
  25. Technical Summary. In Climate Change 2021 – The Physical Science Basis; Cambridge University Press, 2023; pp. 35–144.
  26. Zhang, Z.; Xie, Y.; Xu, X.; Pan, H.; Tang, R. Transformation of Amorphous Calcium Carbonate into Aragonite. J Cryst Growth 2012, 343, 62–67. [Google Scholar] [CrossRef]
  27. Morse, J.W.; Arvidson, R.S.; Lüttge, A. Calcium Carbonate Formation and Dissolution. Chem Rev 2007, 107, 342–381. [Google Scholar] [CrossRef] [PubMed]
  28. Marion, G.M.; Millero, F.J.; Feistel, R. Precipitation of Solid Phase Calcium Carbonates and Their Effect on Application of Seawater S A-T-P Models; 2009; Vol. 5;
  29. Jiang, L.; Feely, R.A.; Carter, B.R.; Greeley, D.J.; Gledhill, D.K.; Arzayus, K.M. Climatological Distribution of Aragonite Saturation State in the Global Oceans. Global Biogeochem Cycles 2015, 29, 1656–1673. [Google Scholar] [CrossRef]
  30. Zhang, D.; Lin, Q.; Xue, N.; Zhu, P.; Wang, Z.; Wang, W.; Ji, Q.; Dong, L.; Yan, K.; Wu, J.; et al. The Kinetics, Thermodynamics and Mineral Crystallography of CaCO3 Precipitation by Dissolved Organic Matter and Salinity. Science of The Total Environment 2019, 673, 546–552. [Google Scholar] [CrossRef] [PubMed]
  31. Cyronak, T.; Schulz, K.G.; Jokiel, P.L. The Omega Myth: What Really Drives Lower Calcification Rates in an Acidifying Ocean. ICES Journal of Marine Science 2016, 73, 558–562. [Google Scholar] [CrossRef]
  32. Varliero, S.; Buono, A.; Caserini, S.; Raos, G.; Macchi, P. Chemical Aspect of Ocean Liming for CO 2 Removal: Dissolution Kinetics of Calcium Hydroxide in Seawater. ACS Engineering Au 2024. [Google Scholar] [CrossRef]
  33. Roy, R.N.; Roy, L.N.; Vogel, K.M.; Porter-Moore, C.; Pearson, T.; Good, C.E.; Millero, F.J.; Campbell, D.M. The Dissociation Constants of Carbonic Acid in Seawater at Salinities 5 to 45 and Temperatures 0 to 45°C. Mar Chem 1993, 44, 249–267. [Google Scholar] [CrossRef]
  34. Badocco, D.; Pedrini, F.; Pastore, A.; di Marco, V.; Marin, M.G.; Bogialli, S.; Roverso, M.; Pastore, P. Use of a Simple Empirical Model for the Accurate Conversion of the Seawater PH Value Measured with NIST Calibration into Seawater PH Scales. Talanta 2021, 225, 122051. [Google Scholar] [CrossRef] [PubMed]
  35. Lewis, E.; Wallace, D. MS Excel Program Developed for CO2 System Calculations ORNL/CDIAC- 593 105a (Co2sys_v2.5) [code].
  36. Mehrbach, C.; Culberson, C.H.; Hawley, J.E.; Pytkowicx, R.M. .. Measurement of the Apparent Dissociation Constants of Carbonic Acid in Seawater at Atmospheric Pressure. Limnol Oceanogr 1973, 18, 897–907. [Google Scholar] [CrossRef]
  37. Dickson, A.G.; Millero, F.J. A Comparison of the Equilibrium Constants for the Dissociation of Carbonic Acid in Seawater Media. Deep Sea Research Part A. Oceanographic Research Papers 1987, 34, 1733–1743. [Google Scholar] [CrossRef]
  38. Dickson, A.G. Standard Potential of the Reaction:, And and the Standard Acidity Constant of the Ion HSO4− in Synthetic Sea Water from 273.15 to 318.15 K. J Chem Thermodyn 1990, 22, 113–127. [Google Scholar] [CrossRef]
  39. Uppström, L.R. The Boron/Chlorinity Ratio of Deep-Sea Water from the Pacific Ocean. Deep Sea Research and Oceanographic Abstracts 1974, 21, 161–162. [Google Scholar] [CrossRef]
  40. Lewis, E.L.; Perkin, R.G. The Practical Salinity Scale 1978: Conversion of Existing Data. Deep Sea Research Part A. Oceanographic Research Papers 1981, 28, 307–328. [Google Scholar] [CrossRef]
  41. Parkhurst, D.; Appelo, C. Description of Input and Examples for PHREEQC Version 3: A Computer Program for Speciation, Batch-Reaction, One-Dimensional Transport, and Inverse Geochemical Calculations 2013.
Figure 1. Measured pH, alkalinity and DIC values over 90 days. Graphs (a) to (c) refers to the SN1, and graphs from (d) to (f) refers to SN2.
Figure 1. Measured pH, alkalinity and DIC values over 90 days. Graphs (a) to (c) refers to the SN1, and graphs from (d) to (f) refers to SN2.
Preprints 113413 g001aPreprints 113413 g001b
Figure 2. Relative supersaturation rΩ of aragonite and calcite for SN1 (a) and SN2 (b) experiments.
Figure 2. Relative supersaturation rΩ of aragonite and calcite for SN1 (a) and SN2 (b) experiments.
Preprints 113413 g002
Figure 3. Results of the SA experiments; the error bars refer to the individual measurements. Complete data in Table A3.
Figure 3. Results of the SA experiments; the error bars refer to the individual measurements. Complete data in Table A3.
Preprints 113413 g003
Figure 4. Measured DIC and TA from the MAM experiment on artificial seawater with multiple bi-carbonate dosages over 24 days.
Figure 4. Measured DIC and TA from the MAM experiment on artificial seawater with multiple bi-carbonate dosages over 24 days.
Preprints 113413 g004
Figure 5. The XRD pattern of the precipitate collected at the end of the MAM experiment (black curve). Simulated diffraction patterns of calcite (red) and aragonite (blue) are also displayed.
Figure 5. The XRD pattern of the precipitate collected at the end of the MAM experiment (black curve). Simulated diffraction patterns of calcite (red) and aragonite (blue) are also displayed.
Preprints 113413 g005
Figure 6. DIC and TA from the MAC experiment in artificial seawater with two-step bicarbonate dosage. Initial TA is assumed as 0 because it was below the detection limit of the instrument, while for DIC the starting point was measurable from the instrument.
Figure 6. DIC and TA from the MAC experiment in artificial seawater with two-step bicarbonate dosage. Initial TA is assumed as 0 because it was below the detection limit of the instrument, while for DIC the starting point was measurable from the instrument.
Preprints 113413 g006
Figure 7. Measured pressure of CO2 (in atm) from a MAC experiment in artificial seawater with two-step bicarbonate dosage. Dashed lines indicate the additions of NaHCO3 at days 0 and 7.
Figure 7. Measured pressure of CO2 (in atm) from a MAC experiment in artificial seawater with two-step bicarbonate dosage. Dashed lines indicate the additions of NaHCO3 at days 0 and 7.
Preprints 113413 g007
Figure 8. DIC and TA from the MN experiment on natural seawater with two-step bicarbonate dosage.
Figure 8. DIC and TA from the MN experiment on natural seawater with two-step bicarbonate dosage.
Preprints 113413 g008
Figure 9. Process efficiency on day 1, as a function of DIC addition (ΔDIC).
Figure 9. Process efficiency on day 1, as a function of DIC addition (ΔDIC).
Preprints 113413 g009
Figure 10. Stability efficiency during time. The efficiency of SN1 and SN2 samples are represented together, the name of the series represents the µmol/L of carbon theoretically added to the solution (ΔDIC).
Figure 10. Stability efficiency during time. The efficiency of SN1 and SN2 samples are represented together, the name of the series represents the µmol/L of carbon theoretically added to the solution (ΔDIC).
Preprints 113413 g010
Figure 11. Scheme of the Limenet® process applied to produce a high alkaline solution with natural seawater, and the sensors used to control the system.
Figure 11. Scheme of the Limenet® process applied to produce a high alkaline solution with natural seawater, and the sensors used to control the system.
Preprints 113413 g011
Table 1. Series of seawater samples and experiments. Each row represents a set of experiments conducted with different DIC additions.
Table 1. Series of seawater samples and experiments. Each row represents a set of experiments conducted with different DIC additions.
Code Mod Seawater Environment Treatment MaxΔDIC
(µmol/L)
Initial DIC
(µmol/L)
Duration
(days)
SN1 Single Natural Open Ca(HCO3)2 7510 2370 90
SN2 Single Natural Open Ca(HCO3)2 5650 2370 90
SA Single Artificial Closed NaHCO3 800 2000 3
MAM Multiple Artificial Mixed NaHCO3 3200 2000 24
MAC Multiple Artificial Closed NaHCO3 400 2800 16
MN Multiple Natural Closed NaHCO3 1000 2470 52
Table 2. Concentration of salts in artificial seawater.[33] Amount expressed as grams in each liter of distilled water added.
Table 2. Concentration of salts in artificial seawater.[33] Amount expressed as grams in each liter of distilled water added.
Salts Concentration (g/L)
NaCl 25.14
Na2SO4 4.18
KCl 0.79
MgCl2 · 6H2O 11.19
CaCl2 1.20
Table 3. Seawater and calcium hydroxide used to produce samples SN1 and SN2.
Table 3. Seawater and calcium hydroxide used to produce samples SN1 and SN2.
SN1 SN2
Seawater (m3) 3000 4000
Ca(OH)2 (ton) 0.874 0.874
CO2 (ton) 1.000 1.000
Table 4. Conversion from dilution ratios to Dissolved Inorganic Carbon added initially to the solution (ΔDIC).
Table 4. Conversion from dilution ratios to Dissolved Inorganic Carbon added initially to the solution (ΔDIC).
Dilution ratio SN1
ΔDIC (µmol/L)
SN2
ΔDIC (µmol/L)
SW 0 0
1:0 7510 5650
1:1 3760 2820
1:2 2500 1880
1:4 1500 1130
1:10 680 510
1:20 360 270
1:100 70 60
Disclaimer/Publisher’s Note: The statements, opinions and data contained in all publications are solely those of the individual author(s) and contributor(s) and not of MDPI and/or the editor(s). MDPI and/or the editor(s) disclaim responsibility for any injury to people or property resulting from any ideas, methods, instructions or products referred to in the content.
Copyright: This open access article is published under a Creative Commons CC BY 4.0 license, which permit the free download, distribution, and reuse, provided that the author and preprint are cited in any reuse.
Prerpints.org logo

Preprints.org is a free preprint server supported by MDPI in Basel, Switzerland.

Subscribe

Disclaimer

Terms of Use

Privacy Policy

Privacy Settings

© 2026 MDPI (Basel, Switzerland) unless otherwise stated