Preface
In the sub-economic dynamics, the prefix "sub" comes from subatomic. In physics, the subatomic dynamics mainly studies the interactions between quarks and gluons, which is currently the lowest level of material structure in scientific cognition. In economic dynamics, sub-economic dynamics mainly studies the interactions between impulses and consciousness, which is the deepest level of mental structure. In the standard model of theoretical physics, subatomic dynamics is called quantum chromodynamics (QCD). In the standard model of economic dynamics, sub-economic dynamics uses quantum chromodynamics as its theoretical model, and both share the mathematical SU(3) symmetry group.
In "Economic Dynamics and the Standard Model (I, II)" (hereinafter referred to as previous papers I and II), we introduced market dynamics. Within the framework of economic dynamics, the levels of market dynamics and sub-economic dynamics are different. The former analyzes buying and selling intentions, which carry integer market charges and are fully sensitive to price. The latter analyzes desires and impulses, which carry fractional market charges and are only partially sensitive to price. These distinctions will be elaborated in detail in the paper.
At the same time, the sub-economic dynamics and the market dynamics are interrelated, with the bridge between them being the fractional market charges carried by economic impulses. The mystery lies in the fact that any single economic impulse is confined and can only appear in bound states of multiple impulses, with the bound states possessing integer market charges. These connections will also be explained in detail in the paper.
In short, the relationship between sub-economic dynamics and market dynamics is analogous to that between quantum chromodynamics and quantum electrodynamics. This structural consistency is achieved because the standard model of economic dynamics is constructed within the framework of the theoretical physics standard model. This research approach embodies the structuralism advocated by the Bourbaki school, which has created brilliance in mathematics and had widespread influence in social sciences (e.g., Piaget’s developmental psychology). It is foreseeable that the structuralist approach of economic dynamics will provide a more efficient option for the methodology of social sciences.
The constructive orientation of economic dynamics is not simply for the sake of structuring, but more importantly, to revisit and reshape economic topics more clearly. For example, economic rationality, the invisible hand, and the free market are the three fundamental concepts of contemporary economics. We discussed economic rationality in previous paper I, the invisible hand in previous paper II, and this paper will discuss the topic of the free market and its psychological origins.
1. Free Market and Impulse Flavor
1.1. The Fate of the Free Market
The Sub-economic dynamics originated from a rethinking of the free market concept in economics. This section aims to understand and explain the economic impulse mechanism behind the free market puzzle. Since Adam Smith’s classic work "The Wealth of Nations" was published in 1776, the concept of the free market has wandered around the world like a ghost, from Scotland to the European continent, from the West to the East, for nearly 250 years. People have paid more attention to the utilitarian aspect of the free market: if it works well, they believe in it and praise it; if it doesn’t, they doubt and criticize it. Has anyone ever asked, free market, are you okay? Has anyone ever cared about the personality and inner feelings of the free market? Do you know that the free market has a dual personality: on one hand, it is deeply fearful and self-abased; on the other hand, it is stubborn and proud. Modern economics has three cornerstone concepts: economic rationality, the invisible hand, and the free market. We interpreted the first two in previous papers I and II, and this paper interprets the human nature foundation of the free market.
Many people know that the Chicago School of economic thought has always maintained a strong free market stance. Even when the free market is questioned and criticized, it has not fundamentally shaken the mainstream position of the free market school of economics. This is not only because the charm of the market itself fascinates people. In practice, the performance of a perfect free market is sometimes disappointing or even unsatisfactory. The strongest argument for the free market concept comes from the Austrian School of economic thought. Among them, F. A. von Hayek’s politically charged classic "The Road to Serfdom" has also failed to achieve complete success. The most robust theoretical argument for the free market concept is provided by Ludwig von Mises. In his book "Human Action: A Treatise on Economics," he argues that the foundation of the free market is self-regard, and self-regard is the primary essence of human impulse. This anthropological reasoning has touched the bottom of social science, providing an extreme defense for the free market, seemingly beyond rebuttal. Mises was a profound economic thinker and a key representative of the resurgence of the Austrian School of Economics. However, he erred in examining and depicting human impulses.
1.2. The Food-Chain and Psychology
Providing an anthropological argument for free market economics is a typical theoretical dimensionality reduction argument. Dimensionality reduction arguments often produce reasonable and profound effects, as they can trigger deeper thinking and understanding, undoubtedly an effective way for the evolution of knowledge. Now, we can make a further dimensionality reduction argument. Mises’ mistake lies in forgetting the food chain principle in evolutionary theory. The food chain principle for animals states that any animal must prey on downstream animals for survival while guarding against being preyed upon by upstream animals. This is similar to how an investor in a speculative financial market must try to make money from others while guarding against others making money from them. The food chain argument tells us that predatory impulses and anti-predatory impulses are primary animal instincts, two sides of the same coin. Discussing only one side in theory is logically inconsistent.
Karl Menger, the founder of the Austrian School of Economics, emphasized the role of subjective value in economic life. However, Mises seemed to selectively inherit Menger’s original intention and the tradition of the Austrian School. From the title of his book, it can be seen that Mises’ line of thought was influenced by the behaviorist research paradigm prevalent at the time; he ignored the progress of psychological research. In social psychology, there are two most basic human motives, called achieving motivator and fear-of-failure motivator. Predatory impulses can be attributed to the achieving motivator, while anti-predatory impulses can be attributed to the fear-of-failure motivator. We call the former Impulse I and the latter Impulse II.
Here, a note is needed. Some authors refer the terms self-regards and others-regards as self-interest and others-interest. In classical economics, self-interesting is considered as primary because considering oneself is regarded as the first nature. While others-interesting is considered as secondary. We disagree with this view. By the food-chain argument, we view both the self-regard and the others-regard as primary. Thus, from a psychological perspective, considering oneself refers to Impulse I (achieving oneself), and considering others refers to Impulse II (preventing others out of fear), both naturally being primary instincts. This avoids misunderstanding and ambiguity.
1.3. The Flavor Charge of Economic Impulses
The physical model of economic impulses is the quark. Quarks carry flavor charges, for example, the up quark and the down quark carry different flavor charges, with up and down indicating different flavor charges. Similarly, we say that economic impulses carry flavor charges; we stipulate that the achieving impulse, Impulse I, is depicted by the up quark, and the fear impulse, Impulse II, is depicted by the down quark. For convenience, we call Impulse I the up impulse and Impulse II the down impulse. This step takes us out of translating economic language into physical language.
To help readers adapt to and further understand and appreciate the narrative style of this paper, it is necessary to clarify the methodological path when applying physical models to construct theoretical frameworks in social sciences. Taking the first step mentioned as an example, this is a considerable leap, involving several steps. First, when you realize that the deepest impulses in the mental world correspond to the quark structure at the lowest level of the material world, there will be a sense of excitement brought by insightful achievement. Following this will be a sense of awe, fearing how to technically conceptualize and model it. This is an indispensable prelude to any scientific discovery. Secondly, when arguing that the considering others impulse is also a primary essence, you need to merge the considering others impulse and the considering oneself impulse into one, as two sides of the same coin. Then, after establishing the equal primary status of the considering others impulse and the considering oneself impulse, perform an orthogonalization process as called in mathematics, separating the two into pseudo-particles. Finally, embedding the quark model allows for the natural attribution of flavor charges to impulses, creating the concepts of up impulse and down impulse, and starting to enter the framework of quantum chromodynamics. After going through approximately four conceptualization and modeling processes mentioned above, you still have to face self-doubt: Is this a coincidence? Is this just an analogy? You must be convinced that this is an analogy but not just an analogy. A single-point analogy may be a coincidence, but when systematic analogies and large-scale conceptual analogies are all established, it indicates the inevitability of isomorphism between two systems, further leading us to explore deeper reasons for the emergence of this inevitability between systems. This is the correct path to scientific progress. In the following sections, we will embed sub-economic dynamics extensively into the framework of quantum chromodynamics until the two coincide mathematically under the SU(3) symmetry group.
2. Properties of Economic Impulses
2.1. The Flavors and Generations of Impulses and Anti-Impulses
In the physical world, every elementary particle has its antiparticle, such as electrons and positrons; specifically, the photon’s antiparticle is itself. Physically, the photon’s rest mass is zero; logically, its mass needs to be zero. In quantum chromodynamics, each quark has its antiquark. The same type of quark can have different masses, divided into three generations. The second generation of the same type of quark with a greater mass than the up quark is called the charm quark, and the third generation with a greater mass is called the top quark. Similarly, the upward generation of the down quark is the strange quark, and the further upward is the bottom quark. Thus, quarks and antiquarks have three generations and twelve flavors. We will see later when introducing the color charge concept that quarks have 72 flavors. Additionally, a bound state composed of a quark and its antiquark is called a meson.
These properties are naturally applicable to economic impulses in the mental world. Hesitation is a psychological meson, where the impulse to act and the impulse to refrain from acting pair up, generating and annihilating repeatedly, appearing as a series of market mesons in economic life. This pairing of impulse and counter-impulse is a common phenomenon in daily life and especially in economic life. However, have we psychologists or social scientists considered how to model it? In fact, the more common a phenomenon is, the harder it is to model, and the more easily it is overlooked, a kind of "under the lamp black" in academic observation. Applying physical models in social sciences helps us notice many overlooked phenomena. Experimental support exists for the three-generation nature of human impulses in psychology. Here, we briefly introduce an experiment. The mental logic theory posits that people reason by activating inference schemas. For quantified predicate reasoning, mental logic theory proposes ten core inference schemas. This is a scientific hypothesis requiring experimental verification. The experiment involves systematically designed language reasoning tasks, where subjects report the perceived difficulty of each task immediately after solving it. Linear regression analysis on the raw data generates a weight for each parameter (inference schema). The distribution of the 10 schema weights are given below
Statistical results show the distribution of the ten weights, seemingly falling into three clusters. This suggests combining weights within each cluster into a new parameter, resulting in a three-parameter model. Statistical analysis shows that using the new three-parameter model results in the same correlation coefficient as the original ten-parameter model, while a two-parameter model significantly lowers the correlation. This result indicates that within the effective range of perception, without additional stimuli, people can distinguish and are accustomed to distinguishing three and only three levels of perception. This three-level perception law is general.
In daily life, people can solve many problems but can distinguish which are easy, somewhat difficult, or particularly difficult within those solvable problems. Similarly, in economic life, especially in market experiences, under conditions of affordability, we can distinguish which products are cheap, intermediate expensive, or very expensive. For impulses, the three-level law is clearer. For example, when you are slightly hungry, you feel the impulse to eat but resist. After a while, you become hungrier, the impulse to eat strengthens, but you have things to do and resist again. Eventually, when you are starving, the strong impulse drives you to eat immediately.
Whether quarks have emotions or physicists have empathy, the three-generation model of quarks fits the impulse family perfectly. Thus, impulses and anti-impulses develop into three generations with twelve flavors. Considering various possibilities, quarks and impulses have 72 flavor charges each.
2.2. Bound States of Impulses and Fractional Market Charges
Quantum chromodynamics posits that quarks are confined because individual quarks have not been observed so far. Quarks can only exist in bound states of multiple quarks. As mentioned earlier, the simplest bound state is a meson composed of a quark and its antiquark. Additionally, the most well-known bound states are protons and neutrons. Protons consist of two up quarks and one down quark (uud), while neutrons consist of two down quarks and one up quark (ddu). Furthermore, the up-quarks carry a fractional charge of , and the down quarks carry a fractional charge of . It is evident that protons carry an integer charge of 1e while neutrons carry a charge of 0e. This is the path linking quark bound states to electric charges. The corresponding economic version will be discussed below.
Using market participants’ impulses and actions as the discussion background, active accounts in the financial market can be considered proton-like accounts. In the economic dynamics framework, an active account implies it carries at least one integer market charge, allowing it to engage in market dynamics. In contrast, in sub-economic dynamics, understanding active accounts’ actions requires understanding the deep impulse structure of market charges. Quantum chromodynamics tells us this impulse structure can be depicted by the proton’s quark bound state (uud). This proton-like impulse bound state indicates that the intention to carry market charges is mainly driven by two achieving impulses, accompanied by one fear-of-failure impulse. Reflecting on our market experiences, this model is quite fitting. Who has not experienced inner fear while striving in competitive markets?
Non-active accounts have always been challenging to model yet are crucial market participants because they could be either capital-rich major players or retail investors with potential market entry capabilities. These participants in non-active periods can be considered neutron-like accounts, carrying zero market charges, with a sub-economic impulse structure of (ddu). This structure is dominated by two fear-of-failure impulses, accompanied by one achieving impulse. Essentially, when mainly fearing risks and not acting, they still harbor the desire for a comeback.
Additionally, protons have a relatively stable quark bound state structure, essential for our material lives, similar to how proton-like impulse bound states stabilize market vitality. Neutrons, however, have an average lifespan of only a few minutes before decaying. If neutron-like impulse bound states persisted indefinitely, non-active accounts would remain on the sidelines, leading to market depression and eventual disappearance.
Fortunately, in physics, under weak force interactions, neutrons quickly decay into protons, an electron, and a neutrino. The corresponding economic version is termed economic externality dynamics, to be discussed in subsequent articles.
3. Freudian Space of Flavor Charge and Spin
3.1. The Pauli Exclusion Principle and Flavor Charge
The Pauli exclusion principle states that identical particles cannot coexist in the same bound state. However, both the proton bound state (uud) and neutron bound state (ddu) contain two identical particles. How is this contradiction resolved? Physics adopts Murray Gell-Mann’s solution, introducing a three-dimensional internal flavor charge space for quarks. Quarks are thus treated as carrying three possible flavor charges, named red, blue, and green (r, b, g). For example, in the proton bound state, the two up quarks can now carry different flavor charges, thus no longer being identical particles, achieving logical consistency with the Pauli exclusion principle.
Notably, Gell-Mann’s initial introduction of the flavor charge space concept was purely for theoretical consistency, a scaffold approach. It later proved essential in constructing quantum chromodynamics. Additionally, each flavor charge has its anti-flavor charge, such as anti-red, anti-blue, and anti-green, necessary for quark-gluon interactions to form bound states.
3.2. Freud’s Personality Theory
Now we establish the internal flavor charge space of impulses using Freud’s personality theory. Sub-economic dynamics studies economic impulses, essentially what people desire. What do people want? A child’s cry could mean hunger, needing the toilet, wanting a new toy, or seeking adult attention. Freud’s personality theory categorizes desires into three categories:
Category 1: Id (Identification), covering basic survival needs like food, shelter, reproduction, disaster prevention, health, and longevity.
Category 2: Self, covering social needs like education, employment, income, and social status.
Category 3: Superego, covering spiritual needs like honor, heroism, faith, afterlife care, love, etc.
These three sub-economic domains can be depicted by three flavor charges, termed Freud’s three charges, forming the three-dimensional internal space of impulses. We assign green to Id, red to Self, and blue to Superego. Each impulse’s Freud flavor charge has its anti-flavor charge, economically meaning not wanting food, money, or fame.
Thus, impulses are endowed with a three-dimensional internal flavor charge space, their sub-economic desire space. Impulses’ internal Freud flavor charge space is not static but rotates, having momentum termed spin. Spin is an intrinsic property of the internal space of impulses. Later, we will explain how spin causes internal space’s dynamic phase changes, necessitating gauge transformations for sub-economic impulse wave functions transitioning between states.
4. Consciousness and Gluons
Like quarks, impulses are confined and can only exist in certain bound states, bound by a force called strong force. The particle carrying the strong force is called a gluon, metaphorically sticking multiple quarks together to form bound states. Scientifically, gluons interact with multiple quarks to form bound states. Gluons have three main characteristics below.
First, gluons, as strong force carriers, are bosons with no mass.
Second, gluons carry two flavor charges to interact with two quarks simultaneously, needing opposite flavor charges to interact.
Third, asymptotic freedom: the further apart quarks are, the stronger the force, meaning stronger quark-gluon interactions.
In sub-economic dynamics, consciousness acts as gluons. Many definitions and debates about consciousness exist, but here we need a working definition. John Searle stated that any discussion of the mind must mention subjectivity, causality, intentionality, and consciousness. Note, consciousness differs from intentionality; intentionality’s English suffix "ty" indicates intrinsic nature, while consciousness’ suffix "ness" indicates a philosophically flexible concept. Given our current understanding of consciousness, this flexibility is necessary. Intentionality always carries content, called intentional content, defined by the elements of a set in mathematical language. However, consciousness, though related to content, does not carry content.
Here, we use Austrian philosopher Alexius Meinong’s definition: consciousness is an irreducible directedness through intentional content toward a possible object without requiring the object’s existence. This definition aligns with the three characteristics of gluons but requires justification.
Directedness, throughness, and towardness can be inferred from Meinong’s definition of consciousness. This directedness through content without bearing content can be interpreted as contentlessness, which is crucial because contentlessness can be seen as masslessness. In this sense, consciousness can be treated conceptually as a boson, like a gluon. This is necessary because bosons like photons and gluons move at the speed of light, which requires them to be massless. According to Einstein’s mass-energy equivalence formula, a particle with rest mass would require infinite energy to move at the speed of light.
Secondly, gluons carry color charges, and in the context of sub-economic dynamics, consciousness carries what Freud referred to as sub-economic desire charges, which we also call color charges. For a gluon to interact with quarks, if a quark carries a red color charge, the gluon must carry an anti-red color charge. In a bound state, gluons must interact with two quarks simultaneously, carrying two different color charges. In this sense, we say consciousness simultaneously recognizes two impulses. For example, if you are starving and cold, desiring food and shelter (carrying the id green charge), while also feeling lonely and longing for social interaction (carrying the ego red charge), consciousness must carry anti-green and anti-red charges simultaneously. Or, if you are secure in food and shelter but desire a more interesting and free job (carrying the ego red charge) while experiencing a psychological crisis, feeling low and needing recognition (carrying the superego blue charge), consciousness must carry anti-red and anti-blue charges simultaneously. Similarly, if you are in class and suddenly feel the urge to go to the bathroom (carrying the id green charge) but the teacher is explaining key points for the exam, you hold back (carrying the id anti-green charge), and consciousness must carry both green and anti-green charges simultaneously.
Thirdly, asymptotic freedom is a unique property caused by gluons carrying color charges. Intuitively, the further apart the quarks in a bound state, the stronger the force between them, making their separation harder, reflecting the saying "the more you try to pull them apart, the stronger the connection." This phenomenon is frequently experienced in daily life. For instance, during a weekend reunion, you may feel the urge to go but also have an exam on Monday, making you hesitate repeatedly. The more consciously you try to separate these urges, the stronger your consciousness feels. Conversely, if you decide not to think about it, the consciousness weakens. In sub-economic dynamics, the more you try to separate two bound impulses, the stronger the consciousness, and vice versa. Asymptotic freedom is a crucial feature of strong interactions.
The physical properties of gluons are highly enlightening for understanding the mental properties of consciousness. Since gluons carry color charges, they also interact with each other. Similarly, one sub-economic consciousness can interact with another. In quantum chromodynamics, quark interactions within a bound state involve color charges, exchanging color charges through gluons, a process known as color charge conservation. Physically, there are eight possible combinations of quarks and antiquarks. Correspondingly, gluons can carry eight possible color-conserving charges. Thus, there can be eight different types of gluons, implying eight different types of sub-economic consciousness. This is both insightful and unexpected. The eight gluon color configurations are:
This complete set of color configurations forms the octet model of color spin, providing a rich structure for understanding the dynamic mechanisms of sub-economic impulses and consciousness.
5. Gauge Transformations and SU(3) Symmetry Group
Market dynamics is a single-charge dynamic system, where one demand or supply only carries one market charge, so its internal space is one-dimensional. Sub-economic dynamics discussed in this paper is a three-charge dynamic system, where one impulse may carry one of three color charges, so its internal space is three-dimensional, represented as:
This color space is a complex space, where elements
are Dirac spinors. In this internal space, the gauge transformation from one state
to another state
needs parameter, which is a unitary matrix
,
This is a 3×3 complex matrix,which contains 9 complex members, hence it concerns 18 real parameters. The gauge transformation requires this matrix be unitary. To satisfy this requirement needs to fix 9 real parameters. It also requires the matrix be Hermitian that needs to fix another real parameter. Thus, 8 independent real parameters remain. Thus, the transformation matrix can be represented as linear superpositions of 8 independent Hermitian matrixes, which are called Gell-Mann matrixes(Peskin & Schroeder, 1995). These matrixes are given below.
The Gell-Mann matrixes satisfy the following properties,
where
is the trace of matrix
,where
. Now, we define:
Hence, the transformation matrixes can be represented as,
where
follows the Einstein convention,
Thus,the transformation of the gauge potential can be written as,
If we want to keep the Lagrangian with the consistent form before and after the transformation; i.e.,
,we should have
where
and
. In order to keep the gauge transformation conformal, it needs to introduced the covariate derivative
and the gauge field
below,
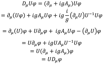
These enable us to have the following derivation,

We can see from the above, from the potential transformation to the transformation of field strength ,the transformation matrixes are kept on the left. This is what we mean by conformal.
There are two reasons why the gauge transformations must be conformal. One is to keep the form of Lagrangian density function consistent. This is crucial because the notion of action is defined as the minimum of the integral of the Lagrangian density function. The other reason is for the gauge symmetry. The Gauge field theory is the basic language for the standard model of modern particle physics. In the dynamic systems of the standard model, gauge symmetries are essential. In the quantum chromodynamics, quark has a three-dimensional internal color space, which satisfies the SU(3) symmetry. In the group SU(3), it has three basic representatives. This is shows that the quantum chromodynamics is a triple-charge system. By the formula we know that SU(3) has 8 generators. This explains why the gluon isospin is octet from the group theoretic perspective. It also means the corresponding gauge transformations require 8 transformation matrixes, which can be represented as, 。In other words, there are 8 possible ways to do the gauge transformations. For each way, we must introduce a different gauge field, each for one of the 8 SU(3) generators. Thus, the Lagrangian density function becomes more complex. It is also need to mention that SU(3) is a non-Abelian group because the multiplication of matrixes are non-commutative.
We have seen that from introducing the three-dimensional internal color space to establish SU(3) symmetry, the quantum chromodynamics experienced a non-trivial theoretical path. We strictly followed this path, from introducing Freud’s personality theory to achieve SU(3) symmetry. Eventually, as a result, the sub-econ dynamics and quantum chromodynamics meet at the mathematical gauge group SU(3). This is what we mean by integration science.
Finally, embedding the quark model, we can naturally assign flavor charges to impulses, constructing the concepts of up impulse and down impulse, entering the framework of quantum chromodynamics. After undergoing approximately four conceptualization and modeling processes, you might still face self-doubt: Is this a coincidence? Is this just an analogy? You must be convinced that it is an analogy, which is important to scientific thinking, but not just an analogy. A single-point analogy might be a coincidence, but when systematic analogies and large-scale conceptual analogies are all established, it indicates the inevitability of isomorphism between two systems, leading us to explore deeper reasons for this inevitability. This is the correct path to scientific progress.
6. General Discussion
The sub-economic dynamics is the psychological basis of market dynamics, reflected in the conceptualization and modeling of a series of topics, including the duality of impulses and quark flavor charges, Freud’s personality theory and color charges, gluons and consciousness, gauge transformations and symmetry groups.
Broadly speaking, the standard model of particle physics consists of four parts. Correspondingly, the standard model of economic dynamics also consists of four parts. Summarized in the language structure of their respective symmetry groups, market dynamics shares the U(1) symmetry group with quantum electrodynamics (as discussed in previous paper II); this paper argues that sub-economic dynamics shares the SU(3) symmetry group with quantum chromodynamics. In subsequent articles, we will attempt to argue that economic externality dynamics shares the SU(2) symmetry group with the isospin weak force model, the electroweak model of market dynamics and sub-economic dynamics, and the Higgs mechanism model of ordinary rational mechanisms. These research directions, collectively referred to as integrative science, can be seen as a new paradigm of interdisciplinary research.
Acknowledgments
The author has taught the content of this paper for many years and is especially grateful to the American and Chinese students who participated in his courses. They not only witnessed the development of economic dynamics and provided encouragement but were also the earliest readers of this series of articles.
References
- Peskin, D. and Schroeder, M. (1995). An Introduction to Quantum Field Theory. Westview Press.
- Veltman, M. (2003). Facts and Mysteries in Elementary Particle Physics. World Scientific Publishing, Singapore.
- Von. Mises, L. (1966). Human Action: A Treatise on Economics. Henery Regnery Company, 3rd revised edition.
- Watson, A. (2004). The Quantum Quark. Cambridge University Press. Cambridge, UK.
- Yang, Y. (2015). Gauge field theory of market dynamics. June, Munich Personal RePEc Archive (MPRA) paper, No. 65274. Preprint at http//mpra.ub.uni-muenchen.de/6527.
- Yang, Y. (2013). Modern Principles of Economic Mechanics: A qualitative integration of economics, cognitive science, and theoretical physics. Xlibris, USA.
- Yang, Y., Braine, M.D.S., and O’Brien, D. (1998). Some empirical justifications of a mental predicate logic. In Brain, M.D.S. and O’Brien, D. (Eds.), Lawrence Erlbaum Associates, NJ.
- 杨英锐 (2022) 。经济动力学的内容、方法和意义:经济动力学与标准模型(I).《科学 经济 社会》第40卷,第5期。.
- (Yang, Y. (2022). Contents, methods, and significance of the econ-dynamics: The econ-dynamics and the standard model (I). SCIENCE ∙ ECONOMY ∙ SOCIETY, Vol. 40, No. 5).
- 杨英锐 (2023) 。市场动力学原理:经济动力学与标准模型(II)。《科学 经济 社会》第 41卷,第1期。.
- (Yang, Y (2022). Principles of market dynamics: The econ-dynamics and the standard model (II). SCIENCE ∙ ECONOMY ∙ SOCIETY, Vol. 41, No. 1).
- Zee, A. (2010). Quantum Field Theory in a Nutshell. Princeton University Press.
|
Disclaimer/Publisher’s Note: The statements, opinions and data contained in all publications are solely those of the individual author(s) and contributor(s) and not of MDPI and/or the editor(s). MDPI and/or the editor(s) disclaim responsibility for any injury to people or property resulting from any ideas, methods, instructions or products referred to in the content. |
© 2024 by the authors. Licensee MDPI, Basel, Switzerland. This article is an open access article distributed under the terms and conditions of the Creative Commons Attribution (CC BY) license (http://creativecommons.org/licenses/by/4.0/).