Preprint
Article

This version is not peer-reviewed.

Environmental Concern and Eco-Entrepreneurial Intention: The Mediating Effects of Nature-Based Solutions and Self-Efficacy

A peer-reviewed article of this preprint also exists.

Submitted:

19 July 2024

Posted:

22 July 2024

You are already at the latest version

Abstract
Environmental responsibility is crucial in both consumption and production processes. Increasing environmental concerns of societies require eco-innovative and nature-based solutions (NBS) for entrepreneurs. Young people's intentions as potential innovators and entrepreneurs on eco-entrepreneurship with mediating effects have not been investigated is a shortcoming in the literature. This study was conducted with 920 respondents from a public university (Düzce University) students to determine the underlying motivations of eco-entrepreneurship intentions using structural equation modeling (SEM) and bootstrap methodology. SEM results show that environmental concerns have a positive direct effect (β=0.62) on students’ eco-entrepreneurship intention. This study can serve the several sustainable development goals (SDGs) making suggestions for the efficient and effective use of production factors in terms of environmentally responsible behavior. Study results provide data for sustainable business applications and eco-innovative thinking. Study results intend the direction of modern environmental governance, policy makers and SEM developers.
Keywords: 
;  ;  ;  ;  

Introduction

The increasing effects of climate change have started to make people's consumption habits more sensitive to the environment in a complex and rapidly changing world. Environmentally conscious individuals prefer more environmentally friendly products that component of these products is not harmful to the environment (Sun et al. 2021). The certificate programs (recyclable products, eco-labeling, FSC, PEFC etc.) and social responsibility projects (global green trends, zero waste, reduce, recycling, re-use, sustainable design, etc.) indicate that increasing environmental awareness is reflected in entrepreneurship (Khan et al. 2021; Deniz 2023). The emergence of ecological entrepreneurship approaches, spanning from production to marketing strategies, has become apparent as a consequence of these endeavors. This situation brings new opportunities and eco-friendly ideas for eco-entrepreneurs and new entrepreneurs (Bağış et al. 2022; Rosario et al., 2022).
The concept of entrepreneurship has a globally important role in economic activities because it requires the productive and effective combination of production factors (Elnadi and Gheith 2021). Environmental concerns and responsible production have begun to increase after the first definition of ecological entrepreneurship concept in the past 50 years in different industries (Koch-weser 2015). Eco-entrepreneurship concept evolved behind the sustainability and green economy approaches in the production process (epitomized the early ecological entrepreneurship). Eco-entrepreneurship initiatives need to find environmental market opportunities (Lober 1998). Entrepreneurship approaches need to be changed for several SDGs (SDG8, SDG9, SDG12, SDG13, SDG14, SDG15), which are of crucial importance for achieving environmental sustainability in the UN 2030 agenda (Brentnall and Lever 2023).
Eco-entrepreneurship is a critical area of research and a powerful response to the challenges of sustainable development. Evaluating the future success of eco-entrepreneurship can be possible by determining the perspectives, perceptions and awareness levels of potential entrepreneur candidates. In this context, university students can be considered as potential entrepreneurs of the near future (Saeid 2020). While contemporary studies have significant findings on students’ entrepreneurship intention there is limited focus on eco-entrepreneurship intention (Ambad and Damid 2016; Bağış et al. 2022). Lack of studies on the eco-entrepreneurship intention of university students are also important in Türkiye (Aydın and Çakar 2013; Ertürk et al. 2017). The increasing unemployment rate in Türkiye, the difficulties in finding a job show that young people need to develop their entrepreneurial potential and new initiatives.
This study aims to bring policy suggestions for eco-entrepreneurial intentions by modeling the perceptions and attitudes of the young people while explaining the mediating effects. The research questions considered were:
-
Do young people’s environmental concerns have an impact on eco-entrepreneurial intentions in Türkiye?
-
What are the mediating effects between perceived environmental concerns and eco-entrepreneurial intention?

Conceptual Framework

The concept of eco-entrepreneurship is defined as entrepreneurial activities that minimize environmental impacts (Kotchen 2009; Koch-weser 2015). In the literature, it is emphasized that entrepreneurial intention has two main components (personal and environmental factors) (Wagner 2009; Maheshwari 2021). In addition to increasing environmental concerns (ECs) in understanding eco-entrepreneurship intention, it is also necessary to understand the factors underlying entrepreneurial intention, which is conceptually the first step in the entrepreneurial process (Worku et al. 2020). The sub-factors of these components are defined as attitudes towards entrepreneurship (AE), entrepreneurial self-efficacy (ESE), risk propensity (RP), need of power (NP), educational support (ES) structural support (SS), perceived behavioral control (PBC), perceived subjective norms (PSN), entrepreneurship education (EE), and personality trait (PT) (Armitage and Conner 2001; Maes et al. 2014; Karabulut 2014; Wedayanti and dan Giantari 2016; Elnadi and Gheith 2021; Ruiz-Rosa et al. 2020; Issa and Tesfaye 2020; Maheshwari 2021; Yanxia et al. 2021).
The barriers to eco-entrepreneurship intention can be summarized as perceived barriers, gender, finding qualified job expectations, socioeconomic status, education level and profession, social exclusion, household income, professional involvement, training opportunities, negative perceptions (heavy and risky works, low income, lack of knowledge on ecological production, masculinization), lack of knowledge about entrepreneurship, positive perception like motivation, family support to involvement in agriculture and forestry sector, career development concerns, ability to create their own job, improving entrepreneurship thinking skills (Worku et al. 2020; Valenrie and Nuringsih 2021). SEM and bootstrap methodologies are used together (Gültekin 2022) and simultaneously in contemporary studies in order to reveal the eco-entrepreneurship intentions of university students as young individuals together with causal relationships and mediating effects (Valenrie and Nuringsih 2021).
Environmental and economic goals in sustainability, emphasizing the importance of aligning environmental and business strategies (Schlaepfer and Templer 2021). Emphasizing the role of educational background in shaping entrepreneurial aspirations, it assesses the factors that influence eco-entrepreneurial intentions among university students (Santos et al. 2019). Recent research suggests a potential positive relationship between environmental concerns and eco-entrepreneurial intentions. This underscores the potential importance of green innovation, risk taking, and self-efficacy as mediating effects in promoting eco-entrepreneurial behavior (Hussain et al. 2021). The first hypothesis of the study was determined as given as follows:
H1. 
Perceived environmental concerns (ENVC) positively associated with perceived eco-entrepreneurial intention (EcoInt).
Eco-entrepreneurs often integrate nature-based solutions into their business models. This integration allows them to offer sustainable products or services that make use of natural resources or processes (Kooijman et al. 2021). Awareness of environmental issues grows, there is an increasing demand for products and services that promote sustainability and biodiversity conservation. Eco-entrepreneurs capitalize on these opportunities by developing innovative solutions that align with environmental goals (Liu et al. 2021). NBS related hypotheses are defined:
H2. 
ENVC positively associated with Perceived Nature-based Solutions (NBS).
H3. 
NBS positive effects positively associated with EcoInt.
One of the aims of this study is to reveal root problems between ENVC and EcoInt. There are several studies showing the mediating effect in the literature (Gültekin 2022; Sair et al. 2023; Asad et al. 2024). However, it is understood that there is a lack of studies investigating the mediating effects in the relationship between ENVC and EcoInt. It is necessary to examine indirect effects to explain these key relationships. This hypothesis is related to test mediating effects:
H4 (Mediation).
ENVC plays a mediating role in the effect of EcoInt.
Recent studies have investigated the mediating effect of entrepreneurial self-efficacy (ESE) in the relationship between ENVC and EcoInt (Hussein et al., 2021; Sair et al., 2023). The studies suggest that ESE serves as a pathway through which environmental concerns are translated into intentions to engage in eco-entrepreneurship. In other words, heightened ENVC may enhance ESE, which in turn drives EcoInt. Within the scope of the study, ESE as a latent variable and mediating effect need to be tested in the following hypotheses:
H5. 
ENVC is positively associated with ESE.
H6. 
ESE has positive effects on EcoInt.
H7 (Mediation).
ESE positively mediates the relationship between ENVC and EcoInt.
Finally, group comparison in terms of gender was also tested in the structural model analysis mediated by latent variables:
H8 (Multigroup).
The positive effect of ENVC on EcoInt is stronger for females than for males.

Material and Methods

Study Area

The research was carried out at Düzce University, which is close to big cities such as Istanbul, Ankara, Bursa, Sakarya, Kocaeli and the majority of its students come from big and metropol cities. Düzce University has been chosen as a research area because it supports the giving of entrepreneurship courses in all undergraduate departments and there is "Düzce Technopark", which is effectively used in the training of young entrepreneurs within the scope of the technology development zone. The target audience of the study is the youth studying in Düzce University, which has a large amount of training activities and potential destinations. There are a total of 18.019 undergraduate students at Düzce University (DU, 2023).

Questionnaire Design and Analysis

Research population consisted of Düzce University students who are studying in Düzce city of Türkiye. There are 18.019 students studying undergraduate level at Düzce University (DU 2023). Entrepreneurship and eco-entrepreneurship related scales and factors (Maloney and Ward 1973; Schwarzer and Jerusalem 1995; Tafli and Ates 2016; Gültekin 2018; Gültekin, 2019; Valenrie and Nuringsih 2021) were adopted to university students' understanding in Düzce city and used to analyze the relationships between ENVC, EcoInt, ESE, NBS and mediating effects. Survey studies were carried out in the main campus of Düzce University. The developed questionnaire forms were applied both online and face to face between October and December 2023. The 5-point Likert questionnaire ensures that respondents can easily understand and complete the questionnaire in 10-15 minutes. Therefore, 920 questionnaire forms were obtained from different students who are studying at different departments in Düzce University as a result of the study.
Drawing upon the theoretical model and aiming to elucidate the mediating roles among latent variables, this study employed structural equation modeling (SEM) in conjunction with bootstrap methodologies. Both techniques afford the capacity to simultaneously examine all interrelationships, direct effects, and indirect effects, while also statistically controlling for the hypotheses posited in the models (Efron and Tibshirani 1985; Danielsson et al. 2001; Byrne 2010).
In evaluating SEM models, essential measurement criteria include CMIN, DF, GFI, CFI, NFI, TLI, RFI, RMR, RMSEA, and IFI. These indexes determine acceptable goodness-of-fit (GOF) values and serve as cutoff criteria in structural models (Hu and Bentler 1999; Kline 2015). Error terms were correlated within the same latent variable to improve goodness-of-fit (GOF) values, following SEM theory. Each scale achieved reliability values (Cronbach’s α) above 0.60. Factor loadings indicated valid scales exceeding acceptable lower limits. Maximum Likelihood (ML) estimation was used for CFA to assess the multidimensionality of ENVC, EcoInt, ESE and NBS (Byrne 2010; Kline 2015). A comparison was made between SEM models of females and males, with χ 2 different tests employed.
The mediation model and indirect effect were computed using β bootstrap samples from the original sample. With 5000 samples within the original sample size and a 95% confidence interval (CI), upper and lower bounds were obtained for improved results (Efron and Tibshirani 1985; Danielsson et al. 2001). The data were analyzed using SPSS 22 and AMOS 22.

Results

In our study, we examined respondents’ characteristics and features (Table 1). During the initial analysis, we rigorously assessed the reliability and validity of each measurement scale. The results of the CFA, including details on the scales and their constituent items, are presented in Table 2. Notably, the Cronbach’s α coefficients for the ENVC, EcoInt, ESE, and NBS scales were 0.839, 0.608, 0.628, and 0.658, respectively. These values indicate that each scale demonstrates sufficient reliability and validity based on the available data (de Leeuw et al. 2019).
The interaction between ENVC and EcoInt is visually depicted in Figure 1. In this path diagram, we represent indicator variables as rectangles and latent variables as ovals. Arrows connecting observed or latent variables signify regression coefficients, while ovals with arrows to observed or latent variables denote error terms (Kline 2015). Specifically, our model includes observed/endogenous variables (ENVC1-ENVC6 (6 observed variables) and EcoInt1-EcoInt3 (3 observed variables), totaling 9, unobserved/endogenous variable (EcoInt) and unobserved, exogenous variables: ENVC, e2-e7 (8 unobserved variables). The overall model comprises 13 variables. Hypothesized path model aligns well with the data, as evidenced by acceptable goodness-of-fit values (CMIN=126,449, DF=26, p<0,001, CMIN/DF=4,863, RMSEA=0,065, RMR=0,030, CFI=0,949, GFI=0,970, NFI=0,937, IFI=0,949, TLI=0,929). These metrics collectively confirm the model’s reliability and validity (Yung 2015).
According to the SEM model “H1: ENVC is positively associated with EcoInt” hypothesis is supported by the data (β=0.62, p<0,001). Hypothesis 1 predicted that ENVC has a positive direct effect on EcoInt. In other words, students’ perceived ENVC has a significant effect on their perceived EcoInt. ENVC scale items mention that students’ perception is highly related to their high concerns about the activities of businesses that harm the environment and ecosystem. The answers given to questions show that students are highly anxious with environmental concerns.
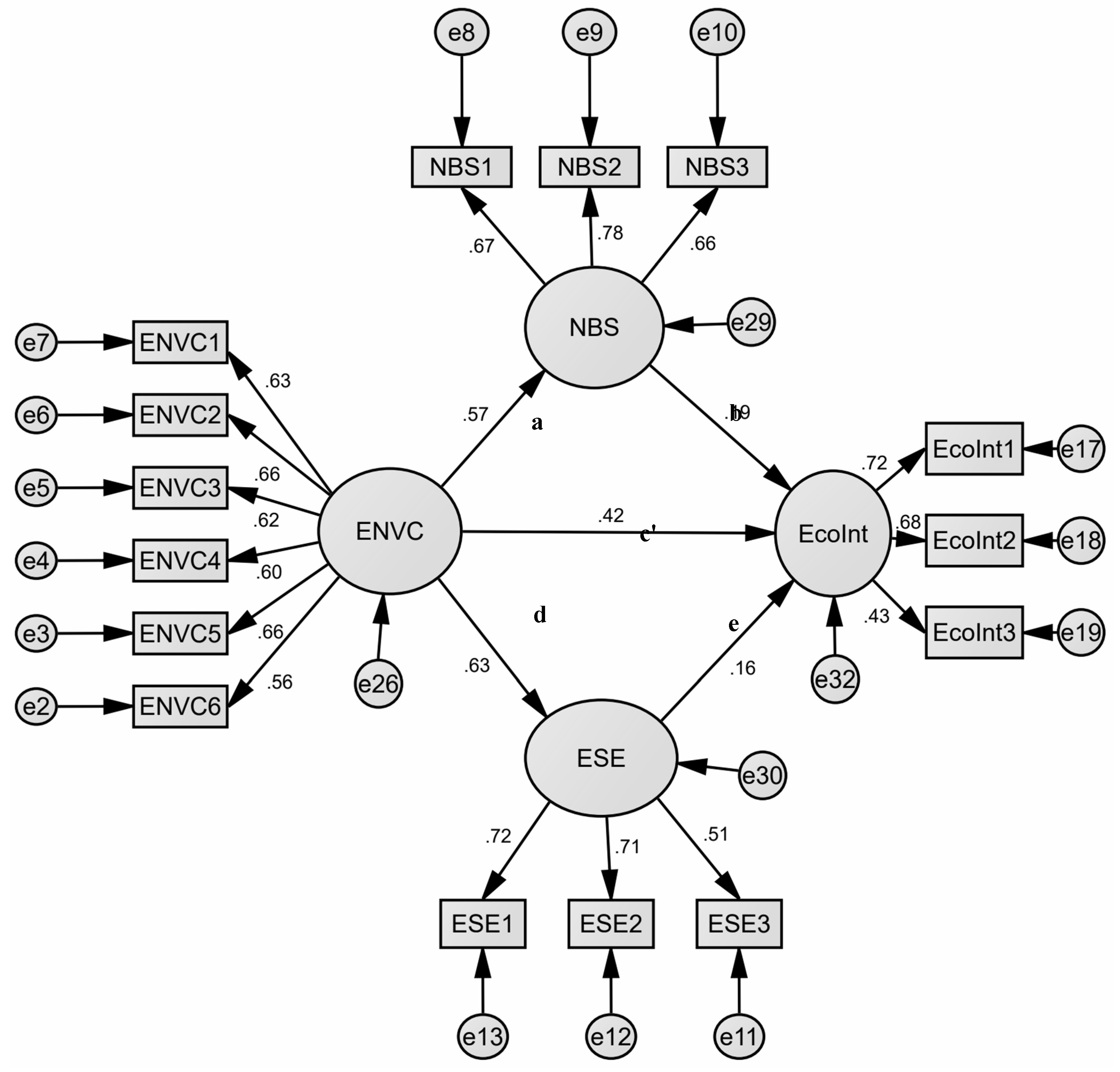
After the first structural model was found to be statistically significant, a multidimensional fully mediated structural model was constructed to calculate the direct, indirect and total effects between ENVC, EcoInt, NBS and ESE in order to measure the mediation effects in the relationship between ENVC and EcoInt. Figure 2 shows the complete structural model. The criteria for the fit of the model for the full structured model have the following values: CMIN=313,509, DF=85, p<0,001, CMIN/DF=3,688, RMSEA=0,065, RMR=0,054, CFI=0,937, GFI=0,956, NFI=0,916, IFI=0,937, TLI=0,922. The use of these indices provides guidance in deciding the competence of structural models. The hypothesized path model that fits the data is acceptable (Byrne 2010). This structural model shows that the relationship between ENVC and EcoInt differs with the regression coefficient when NBS and ESE are considered and included in structural models as mediators. In addition, there is an addressed suppression effect and a decrease in the regression coefficient from 0.62 to 0.42 (Agler and De Boeck 2017). This means that NBS and ESE perceptions are highly effective when the full model is considered significant on ENVC and EcoInt perceptions of university students. The fully mediated multidimensional model and the indirect effects of NBS and ESE, total effects between ENVC and EcoInt (path c) are presented in Table 3. Using bias-corrected 95% confidence intervals (CIs) for the estimates of the indirect effects, the relationship between ENVC and EcoInt, NBS and ESE have significant mediating effects (β=0.515, lower bound=0.337, upper bound=0.716). There are also significant relationships between ENVC and EcoInt, NBS and ESE (path a, b, d and e). Considering the answers given by university students to the statements on the ENVC scale, it is seen that there are expressions that will positively affect the NBS of students such as environmental problems, degradation of ecosystems, unsustainable use of energy, environmental pollution. Nevertheless, ESE scale has positive perceptions for university students such as being solution oriented and being able to generate solutions to problems. ENVC-ESE-NBS-EcoInt models indicate that university students are quite attached to eco-entrepreneurial intention components with some positive perception on their ENVC and EcoInt. For instance, EcoInt scale suggests that “When thinking of new business ideas, I prioritize ideas that do not damage nature”. These expressions are conspicuously effective to understand students’ EcoInt level.
According to the NBS model “H2: ENVC positively associated with Perceived Nature-based Solutions (NBS)” is supported by the data (β =0.57, p<0,001). Hypothesis 2 predicted that ENVC has a positive direct effect with NBS. This can be explained as university students’ perceived ENVC increases their perceived NBS. Following hypotheses are also supported according to NBS and ESE models: “H3: NBS positive effects positively associated with EcoInt.”, “H4: ENVC plays a mediating role in the effect of EcoInt. H5: ENVC is positively associated with ESE. H6: ESE has positive effects on EcoInt. H7: ESE positively mediates the relationship between ENVC and EcoInt. In other words, indirect effect estimation is 0,261 with %95 CIs, 0,143-0,389 between ENVC and EcoInt, this effect is significant. Hypothesis 3 predicted that NBS has a positive direct effect with EcoInt. Hypothesis 4 predicted that ENVC has a positive indirect effect with NBS and ESE. Hypothesis 4 predicted that ENVC has a positive indirect effect with EcoInt. Hypothesis 7 predicted that ESE has a positive indirect effect with EcoInt. These indirect effects imply that students have positive dimensions with their EcoInt.
According to the multigroup analysis result “H8: The positive effect of ENVC on EcoInt is stronger for females than for males.” is supported by the data. χ 2 different tests of the SEM model between females and males it is found that the P value (0,043) is significant (P<0,05) with 95% CIs (females, 0,43>males: 0,40). The positive effect of ENVC on EcoInt is stronger for females than for males. Hypothesis 8 posits that female students are more aware of their environmental impact.
Table 3 presents the fully mediated multidimensional model and the indirect effects of ESE and NBS. Together with the parameter estimates of the β bootstrap samples, the mediation model and the indirect effect of the original sample were calculated. The original sample size was 5000, and a 95% confidence interval was used to obtain upper and lower bounds. As a result, the fully mediated multidimensional model is robust.
The total effects between ENVC and EcoInt can be seen in Table 3 (path c). In examining the relationship between ENVC and EcoInt , the ESE and NBS have a mediating effect and are statistically significant (β=0,261, lower bound= 0,143, upper bound=0,389). There are also significant relationships between ENVC and ESE, ENVC and NBS, ESE and EcoInt , NBS and EcoInt (path a, b, d and e).

Discussion

By measuring university students' perceptions, this study identified direct, indirect and total effects on eco-entrepreneurial intention. With the mediating latent variables (ESE and NBS) used in the study, the full multidimensional model was validated and confirmed with significant and robust model values.
Eco-entrepreneurship plays a vital role in scaling up NBS by bringing innovative ideas to the market, attracting investment, and driving widespread adoption of sustainable solutions (Allen and Malin 2008; Nguyen and Smith 2017; Davies et al. 2017). Recent studies have investigated the relationship between nature-based solutions and eco-entrepreneurship intentions. They explore how entrepreneurial activities can leverage nature-based approaches for sustainable development (Kooijman et al. 2021; Watson et al. 2023). The behaviors and attitudes of young people in relation to the effective action they take on environmental issues and the ecological practices they are willing to adopt in their eco-friendly ideas can contribute to their eco-entrepreneurial intentions (Huang and Sam Liu 2017; Piscitelli and D’Uggento 2022). The findings of the study indicate that young people’s environmental concerns have a significant impact on their intentions to engage in eco-entrepreneurial activities in Türkiye. In light of the considerations previously outlined, it is apparent that undergraduate students would benefit from exposure to sustainability design projects and nature-based design approaches.
It is crucial to distinguish between eco-entrepreneurship initiatives that are merely greenwashing and those that genuinely contribute to sustainability (Asad et al. 2024). For this purpose, it is necessary to determine the international standards of eco-entrepreneurship, which can be considered as one of the important indicators of corporate social responsibility (CSR) (Bretnall and Lever 2023). In addition to government policies, it may be beneficial to consider promoting the use of clean and renewable energy sources, as well as organizing training in this area. These efforts could potentially encourage young eco-entrepreneurship among university graduates in the future (Santos et al. 2019; Yang et al. 2020). Encouraging entrepreneurship models that take into account environmental and socio-economic conditions to eco-entrepreneurship can be considered as examples of good practices that can be considered as new business ideas for young people (Salem 2021).
The provision of eco-agricultural training opportunities and courses, the enhancement of ecotourism knowledge, and the development of sectoral niches such as honey production and flower production in rural areas are all examples of the ways in which the programme is contributing to the advancement of the local economy. Former trainees have been observed to proactively identify and pursue employment opportunities (Anderson 1998). The integration of ecological and economic considerations into sustainable entrepreneurship practices can facilitate the development of eco-entrepreneurship (Schlaepfer and Templer, 2021). The results of SEM models indicate that the younger generation perceives nature-based solutions as an important factor in achieving a sustainable future. It is recommended that young farmers be visited in order to ascertain their intentions with regard to ecological production and eco-entrepreneurship. This would serve to enhance the knowledge and awareness of the younger generation. It is evident that there is a necessity for universities to enhance their training processes.
The results of the study indicated that students with higher self-efficacy were more likely to take action, exhibit effort, and persistently pursue their goals. Young students' confidence in their abilities drove them to take on new challenges, cope with obstacles, and persevere in the face of hindrances. The relationship between entrepreneurial optimism and engagement was found to be stronger when problem-solving efficacy was higher. In other words, entrepreneurs who feel confident in their problem-solving abilities are more likely to maintain a positive outlook and actively tackle problems (Lin 2023).
The environmental concerns of female students were found to be stronger than male students. In a study on the determinants of pro-environmental behaviors by university students, it was found that the level of concern of females was higher than that of males (Hansmann et al. 2020). The structural model comparison analyses of this study reached similar results.

Conclusion

To promote eco-entrepreneurship among university students, several key actions are necessary. These include raising knowledge and awareness levels through targeted courses at all educational levels, with a focus on environmental issues and the impact of climate change. By implementing these measures, it can create a more sustainable future. Non-formal activities also play an important role in raising young people's social awareness. Businesses play a crucial role in addressing environmental challenges by adopting environmentally friendly production designs. Eco-innovation can drive eco-entrepreneurial intentions, especially when designing innovative products and services that emphasize sustainability, reduce the use of fossil fuels and renewable energy sources.
A holistic approach that considers both consumer behavior and environmental concerns is essential. To improve understanding of the relationship between consumer behavior and eco-entrepreneurship intentions, this connection can be modeled in future studies. Ecologically conscious products produced by eco-entrepreneurs can make significant contributions to environmental sustainability. Sharing successful examples of eco-entrepreneurship with young people in entrepreneurship courses can empower them to develop nature-based solutions. The high environmental sensitivity of female students suggests that they may be well-suited to pursue careers in eco-entrepreneurship in the future. The programmes for female students at the university will facilitate the adaptation of students to eco-entrepreneurship. Including course programs at universities that support eco-entrepreneurship can have a positive impact on both the entrepreneurial ecosystem and the SDGs. University managers should consider prioritizing these programmes in order to contribute to a sustainable future.

Author Contributions

PG performed conceptualization, the methodology and formal analysis, data collection, curation and the calculation of the model, and original draft preparation. Author read and approved the final manuscript.

Funding

The author did not receive support from any organization for the submitted work.

Data Availability

The entire dataset was presented in the manuscript.

Competing Interests

The author declares that he has no competing interests.

Ethics Approval and Consent to Participate

This research study is an original work and has not been published elsewhere in any language. Informed consent was obtained from the participants.

Consent for publication

Consent was obtained from the individuals who participated in this study.

References

  1. Agler R, De Boeck P (2017) On the interpretation and use of mediation: multiple perspectives on mediation analysis. Frontiers in Psychology. 8:1984. [CrossRef]
  2. Anderson, AR (1998) Cultivating the Garden of Eden: environmental entrepreneuring. Journal of Organizational Change Management 11.2: 135-144.
  3. Allen JC. Malin S (2008) Green Entrepreneurship: A Method for Managing Natural Resources? Society and Natural Resources, 21, 828-844.
  4. Ambad SNA, Damit DHD (2016) Determinants of Entrepreneurial Intention Among Undergraduate Students in Malaysia, Procedia Economics and Finance. 37: 108-114. [CrossRef]
  5. Asad M, Aledeinat M, Majali T, Almajali DA, Shrafat FD (2024). Mediating role of green innovation and moderating role of resource acquisition with firm age between green entrepreneurial orientation and performance of entrepreneurial firms, Cogent Business & Management, 11:1. [CrossRef]
  6. Aydın E, Çakar U (2013) Integration of Ecology and Entrepreneurship: Ecopreneurship. Journal of Finance, Political and Economic Comments, 50:581 , 53-61.
  7. Bağış M, Kryeziu L, Kurutkan MN, Krasniqi BA, Hernik J, Karagüzel ES, Karaca V, Ateş Ç (2022) "Youth entrepreneurial intentions: a cross-cultural comparison", Journal of Enterprising Communities: People and Places in the Global Economy, Vol. ahead-of-print No. ahead-of-print. [CrossRef]
  8. Brentnall C, Lever J (2023) Thinking with The Doughnut - Introducing Planetary Boundaries to Enterprise Education, Full paper presented at the Institute of Small Business and Entrepreneurship conference, Aston, 8-10th November.
  9. Byrne B (2010) Structural equation modeling with AMOS: basic concepts, applications and programming. 2nd ed. New Jersey (NJ): Routhledge Taylor & Francis Group.
  10. Danielsson J, Haan L, Peng L, Vries CG (2001) Using a bootstrap method to choose the sample fraction in tail ındex estimation. Journal of Multivariate Analysis. 76(2):226-248.
  11. Davies C, Chen WY, Sanesi G, Lafortezza R, (2021) The European Union roadmap for implementing nature-based solutions: A review. Environmental Science & Policy. (121):49-67. [CrossRef]
  12. de Leeuw E, Hox J, Silber H, et al. (2019) Development of an international survey attitude scale: measurement equivalence, reliability, and predictive validity. Meas Instrum Soc Sci 1, 9 . [CrossRef]
  13. Deniz T. (2023) The Effect of Forest Certification on Log Sale Prices: A Case Study in Northwestern Turkey. Forests. 14(3):596. [CrossRef]
  14. DU (2023) Düzce University official website: www.duzce.edu.tr.
  15. Efron B, Tibshirani R (1985) The Bootstrap method for assessing statistical accuracy. Behaviormetrika. 12:1–35.
  16. Elnadi M, Gheith MH (2021) Entrepreneurial ecosystem, entrepreneurial self-efficacy, and entrepreneurial intention in higher education: Evidence from Saudi Arabia. The International Journal of Management Education. 19(1): 100458. [CrossRef]
  17. Gültekin YS (2018) Determination of Factors Affecting Perception of Entrepreneurship by Structural Equation Modeling: Case of Düzce University, Faculty of Forestry. In: Science, Ecology and Engineering Research in the Globalizing World. St. Kliment Ohridski University Press. ISBN 978-954-07-4526-8.
  18. Gültekin YS (2019) Evaluation of Yığılca local honey bee within the frames of rural development and eco-entrepreneurship. Düzce Univ J Sci Technol 7(1):911–921.
  19. Gültekin YS (2022) Ecotourism through the perception of forest villagers: understanding via mediator effects using structural equation modeling. Environ Sci Pollut Res 29, 70899–70908. [CrossRef]
  20. Hansmann R, Laurenti R, Mehdi T, Binder CR (2020) Determinants of pro-environmental behavior: A comparison of university students and staff from diverse faculties at a Swiss University, Journal of Cleaner Production, 268, 121864, . [CrossRef]
  21. Hu L, Bentler PM (1999) Cutoff criteria for fit indexes in covariance structure analysis: Conventional criteria versus new alternatives. Structural Equation Modeling: A Multidisciplinary Journal. 6 (1): 1–55. [CrossRef]
  22. Huang YC, Sam Liu C-H (2017) Moderating and mediating roles of environmental concern and ecotourism experience for revisit intention. International Journal of Contemporary Hospitality Management. 29(7):1854-1872. [CrossRef]
  23. Hussain I, Nazir M, Hashmi SB, Shaheen I, Akram S, Waseem MA, Arshad A. (2021). Linking Green and Sustainable Entrepreneurial Intentions and Social Networking Sites; The Mediating Role of Self-Efficacy and Risk Propensity. Sustainability. 13(13):7050. [CrossRef]
  24. Issa EH, Tesfaye ZZ (2020) Entrepreneurial intent among prospective graduates of higher education institution: an exploratory investigation in Kafa, Sheka, and Bench-Maji Zones, SNNPR, Ethiopia. J Innov Entrep 9, 26 . [CrossRef]
  25. Khan EA, Royhan P, Rahman MA, Rahman MM, Mostafa A. The Impact of Enviropreneurial Orientation on Small Firms’ Business Performance: The Mediation of Green Marketing Mix and Eco-Labeling Strategies. Sustainability. 2020; 12(1):221. [CrossRef]
  26. Kline RB (2015) Principles and practice structural equation modeling. 4th ed. New Jersey (NJ): Routhledge Taylor & Francis Group.
  27. Koch-Weser M (2015) Ecological Entrepreneurship. In: Faltin G. (eds) Handbuch Entrepreneurship. Springer Gabler, Wiesbaden. [CrossRef]
  28. Kooijman ED, McQuaid S, Rhodes M-L, Collier MJ, (2021). Pilla F. Innovating with Nature: From Nature-Based Solutions to Nature-Based Enterprises. Sustainability. 13(3):1263. [CrossRef]
  29. Kotchen MJ (2009). Advances in the study of entrepreneurship innovation and economic growth, Emerald Group Publishing Limited.
  30. Lin CP (2023). Motivating entrepreneurial learning: moderation of problem-solving efficacy. Int J Educ Vocat Guidance . [CrossRef]
  31. Liu H-Y, Jay M, Chen X (2021). The Role of Nature-Based Solutions for Improving Environmental Quality, Health and Well-Being. Sustainability. 13(19):10950. [CrossRef]
  32. Lober DJ (1998) Pollution prevention as corporate entrepreneurship. Journal of Organizational Change Management. 11(1):26-37. [CrossRef]
  33. Maheshwari G (2021) "Factors influencing entrepreneurial intentions the most for university students in Vietnam: educational support, personality traits or TPB components?", Education + Training, Vol. 63 No. 7/8, pp. 1138-1153. [CrossRef]
  34. Maloney MP, Ward MP (1973) Ecology: Let's hear from the people: An objective scale for the measurement of ecological attitudes and knowledge. American Psychologist, 28(7), 583–586. [CrossRef]
  35. Nguyen T, Smith J (2017) Scaling Up Nature-Based Solutions through Eco-Entrepreneurship: Lessons from Successful Case Studies. Journal of Sustainable Development, 22(3), 210-225.
  36. Piscitelli A, D’Uggento AM (2022) Do young people really engage in sustainable behaviors in their lifestyles?. Soc Indic Res 163, 1467–1485. [CrossRef]
  37. Rosário AT, Raimundo RJ, Cruz SP (2022) Sustainable Entrepreneurship: A Literature Review. Sustainability. 14(9):5556. [CrossRef]
  38. Ruiz-Rosa I, Gutiérrez-Taño D, García-Rodríguez FJ (2020) Social Entrepreneurial Intention and the Impact of COVID-19 Pandemic: A Structural Model. Sustainability, 12, 6970. [CrossRef]
  39. Saeid K (2020) The role of entrepreneurial passion in the formation of students’ entrepreneurial intentions, Applied Economics, 52:3, 331-344. [CrossRef]
  40. Sair SA, Sohail A, Sabir SA (2023) Assessing the Influence of Attitude Toward Ecopreneurship and Subjective Norms on Ecopreneurship Intention: Moderated Mediation of Self-Efficacy and Entrepreneurial Resilience. (2023). International Journal of Management Research and Emerging Sciences, 13(4). [CrossRef]
  41. Salem HS (2021) Evaluation of the stone and marble industry in Palestine: environmental, geological, health, socioeconomic, cultural, and legal perspectives, in view of sustainable development. Environ Sci Pollut Res. 28:28058–28080. [CrossRef]
  42. Santos F, Do Paco A, Ferreira J (2019) Assessing the drivers of eco-entrepreneurship intentions among university students: A cross-cultural study. Journal of Cleaner Production, 211, 1078-1087.
  43. Schlaepfer R, Templer A (2021) The interplay between ecological and economic goals in sustainable entrepreneurship. Journal of Business Venturing Insights, 16, e00230.
  44. Schwarzer R, Jerusalem M (1995) Generalized Self-Efficacy scale. In J. Weinman, S. Wright, & M. Johnston, Measures in health psychology: A user’s portfolio. Causal and control beliefs (pp. 35-37). Windsor, UK: NFER-NELSON.
  45. Sun X, Su W, Guo X, Tian Z (2021) The Impact of Awe Induced by COVID-19 Pandemic on Green Consumption Behavior in China. International Journal of Environmental Research and Public Health. 18(2):543. [CrossRef]
  46. Tafli T, Ates A (2016) Development of Environmental Attitude Scale towards Pre-Service Biology Teachers. Journal of Education and Practice, 7(32), 33-40.
  47. Valenrie V, Nuringsih K (2021) Fostering Eco-Entrepreneurial Intention Among Students, Proceedings of the International Conference on Economics, Business, Social, and Humanities (ICEBSH 2021), Atlantis Press, 985-992.
  48. Wagner M (2009) Eco-entrepreneurship: An empirical perspective based on survey data, Libecap GD (Ed.) Frontiers in Eco-Entrepreneurship Research (Advances in the Study of Entrepreneurship, Innovation and Economic Growth, Vol. 20), Emerald Group Publishing Limited, Leeds, pp. 127-152.
  49. Watson, R, Nielsen KR, Wilson HN, Macdonald EK, Mera C, Reisch L (2023) Policy for sustainable entrepreneurship: A crowdsourced framework. Journal of Cleaner Production. 383, 135234. [CrossRef]
  50. Worku M (2020) Factors Affecting Entrepreneurial Intention among Graduating Students at Mizan Tepi University, Ethiopia. Journal of Economics and Economic Education Research. 21(5): 1-12.
  51. Yang J, Chen ML, Fu CY et al. (2020) Environmental policy, tax, and the target of sustainable development. Environ Sci Pollut Res. 27:12889–12898. [CrossRef]
  52. Yanxia Y, Xinyu C, Xing H (2021) The Psychometric Properties of Translating Self-Efficacy Belief: Perspectives From Chinese Learners of Translation. Frontiers in Psychology. 12:1103. [CrossRef]
  53. Yung YF (2015) Path Diagrams: Layout Algorithms, Styles, and Views. In: van der Ark L, Bolt D, Wang WC, Douglas J, Chow SM (eds) Quantitative Psychology Research. Springer Proceedings in Mathematics & Statistics, vol 140. Springer, Cham. [CrossRef]
Figure 1. Hypothesized model (ENVC-EcoInt model).
Figure 1. Hypothesized model (ENVC-EcoInt model).
Preprints 112717 g001
Figure 2. Complete mediated model (ENVC-ESE-NBS-EcoInt model).
Figure 2. Complete mediated model (ENVC-ESE-NBS-EcoInt model).
Preprints 112717 g002
Table 1. Socioeconomic properties of the student respondents (N=920).
Table 1. Socioeconomic properties of the student respondents (N=920).
Variables Frequency (%) Variables Frequency (%)
Gender
Male
Female

541 (58,8)
379 (41,2)
Monthly income (US$)
500 and below
501-1000

447 (48,6)
279 (30,3)
Classes (years)
Class 1
Class 2
Class 3
Class 4

223 (24,2)
231 (25,1)
225 (24,5)
241 (26,2)
1001-2000
More than 2001

Family occupation
Farmer
165 (17,9)
29 (3,2)


207 (22,5)
Attendance of entrepreneurship courses
Yes
No


277 (30,1)
643 (69,9)
Private sector-employed
Public-employed
Self-employed
Retired
247 (26,8)
114 (12,4)
328 (35,6)
24 (2,7)
Table 2. The results of the confirmatory factor analysis with scales and items.
Table 2. The results of the confirmatory factor analysis with scales and items.
Scales and Items Factor Load t-Value Cronbach’s α
Environmental Concerns (ENVC) Scale (Maloney and Ward 1973; Tafli and Ates 2016) 0.839
ENVC1: I think environmental problems are one of the biggest challenges facing our society. 0.617 12.822
ENVC2: I try not to harm any living creature in the environment while doing my job. 0.667 13.378
ENVC3: While some factors work with dangerous energy for the environment, it makes me anxious. 0.669 13.391
ENVC4: Spending our country's energy sources insensibly makes me anxious. 0.616 12.819
ENVC5: Degradation of ecosystems makes me anxious. 0.634 13.026
ENVC6: I'm anxious because of environmental pollution. 0.532 -
Eco-entrepreneurship Intention (EcoInt) Scale (Gültekin 2018; Gültekin 2019) 0.608
EcoInt1: When thinking of new business ideas, I prioritize ideas that do not damage nature. 0.737 -
EcoInt2: I try to protect nature while doing my job. 0.679 8.659
EcoInt3: I prioritize the use of renewable energy sources. 0.405 8.449
Entrepreneurial Self-efficacy (ESE) Scale (Schwarzer and Jerusalem 1995) 0.628
ESE1: I am confident that I could deal efficiently with unexpected events. 0.652 -
ESE2: I can solve most problems if I invest the necessary effort.
ESE3: When I am confronted with a problem, I can usually find several solutions.
0.810
0.476
9.963
11.254
Perceived Nature-based Solutions (NBS) Scale (Gültekin 2018; Gültekin 2019) 0.658
NBS1: When I think of new business ideas, I am inspired by nature.
NBS2: I consider the protection of nature when solving problems.
NBS3: I support nature-based solutions.
0.624
0.858
0.618
-
13.483
14.564

Table 3. Fully mediated multidimensional model results.
Table 3. Fully mediated multidimensional model results.
Result variables
EcoInt NBS ESE
β SE β SE β SE
ENVC (path c) 0,840** 0,076
R2 0,618
ENVC (path a) 0,730** 0,068
R2 0,572
ENVC (path d) 0,631** 0,064
R2 0,630
NBS (path b)
ESE (path e)
0,183**
0,202*
0,053
0,076
ENVC (path c') 0,515** 0,092
R2 0,416**
Indirect effect 0,261** (0,143-0,389)
*<0,05, **<0,001, SE: Standard error.
Disclaimer/Publisher’s Note: The statements, opinions and data contained in all publications are solely those of the individual author(s) and contributor(s) and not of MDPI and/or the editor(s). MDPI and/or the editor(s) disclaim responsibility for any injury to people or property resulting from any ideas, methods, instructions or products referred to in the content.
Copyright: This open access article is published under a Creative Commons CC BY 4.0 license, which permit the free download, distribution, and reuse, provided that the author and preprint are cited in any reuse.
Prerpints.org logo

Preprints.org is a free preprint server supported by MDPI in Basel, Switzerland.

Subscribe

Disclaimer

Terms of Use

Privacy Policy

Privacy Settings

© 2026 MDPI (Basel, Switzerland) unless otherwise stated