Submitted:
16 July 2024
Posted:
16 July 2024
You are already at the latest version
Abstract
Keywords:
1. Introduction
2. Characteristics of rural building envelopes
2.1. Investigations and measurements
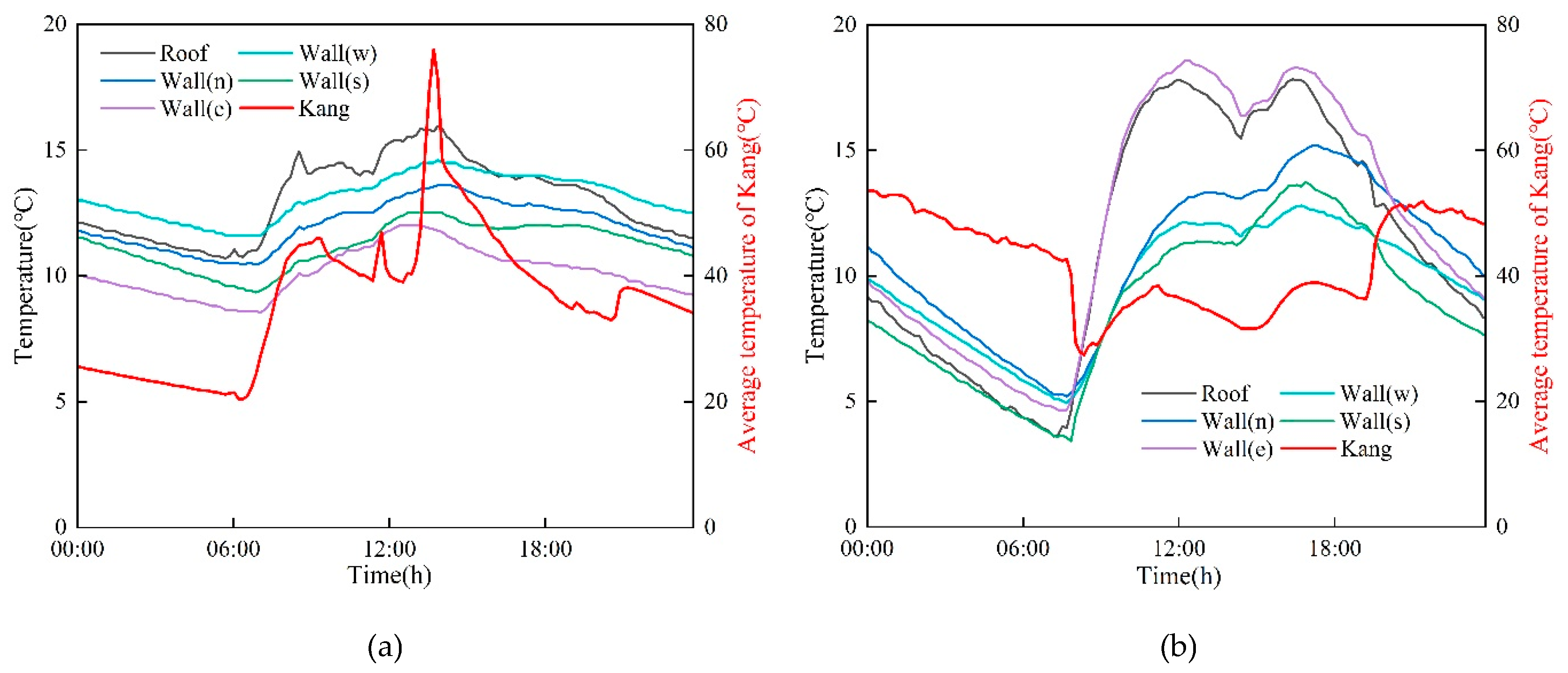
2.2. Heat Transfer Characteristics of Kang-Heated Dwelling
3. Multi-Objective Optimization Model
3.1. Calculation Process
3.2. Model Establishment
3.2.1. Objective Function
3.2.2. Decision Variable
3.2.3. Constraint Condition
3.2.4. Mathematical Model
3.3. Boundary Condition
3.4. Verification of Model Accuracy
4. Analysis of Results
4.1. Verification of Model Accuracy
4.1. Preferred Solution
5. Conclusions
Author Contributions
Funding
Acknowledgments
Conflicts of Interest
References
- Jiang, Y.; Peng, C. , Shan, H. Classification of building energy consumption in China. Construction Science and Technology 2015, 19, 22–26. [Google Scholar]
- Liu, K.C. Energy consumption testing and analysis of existing brick residential envelope in severe cold regions. Petroleum and Petrochemical Energy Conservation, 2013, 3, 18–19. [Google Scholar]
- Wang, H.W.; Chen, S.; Guo, J.X. A study on the current situation and influencing factors of farm household income. Cooperative Economics and Technology, 2020, 24, 54–56. [Google Scholar]
- David, A. Coleya, Stefan, Schukatb. Low-energy design: combining computer-based optimisation and human judgement[J]. Building and environment, 2002, 37, 1241–1247. [Google Scholar]
- Ehsan Asadi, Manuel Gameiro da Silva,Carlos Henggeler Antunes, et al. Multi-objective optimization for building retrofit strategies: A model and an application[J]. Energy and Buildings, 2012, 44, 81–87.
- Yu, W.; Wang, D.; Li, B.Z. A multi-objective design approach for the creation of low energy consumption in indoor thermal environment of residential buildings. Civil Architecture and Environmental Engineering, 2016, 38, 13–19. [Google Scholar]
- ZHUL; WANGB; SUNY Multi-objective optimization for energy consumption, daylighting and thermal comfort performance of rural tourism buildings in north China[J]. BUILDING AND ENVIRONMENT, 2020, 176, 106841. [CrossRef]
- Zhu, D.D.; Yan, D.; Wang, B.; Hong, T.Z. Comparison of building energy simulation software: DeST, EnergyPlus and DOE-2[J]. Building Science, 2012, 28, 213–222. [Google Scholar]
- Ministry of Housing and Urban-Rural Development of the People's Republic of China. GB/T 50785-2012. Evaluation standard for indoor thermal environment in civil buildings. Beijing: China Construction Industry Press, 2012.
- General Administration of Quality Supervision, Inspection and Quarantine of the People& Republic of China. GB/T 15405-2006. Thermal specifications and testing method for passive solar houses. Beijing: China Construction Industry Press, 2006.
- Ministry of Housing and Urban-Rural Development of the People's Republic of China. JGJ/T 358-2015. Technical specification for rural Kang system. Beijing: China Construction Industry Press, 2015.
- Fan, X.Y.; Chen, B.; Zhang, X.Y. Field study on heat transfer and pollutant diffusion paths characteristics of overall rural houses based on stove Kang in northern china [J]. Building Science, 2019, 35, 9–15. [Google Scholar]
- Ministry of Housing and Urban-Rural Development of the People's Republic of China. JGJ 26-2018. Energy-saving design standards for residential buildings in severe cold and cold regions [S]. Beijing: China Construction Industry Press, 2019.
- SC I T. ISO 52016-1:2017.. Energy performance of buildings - Energy needs for heating and cooling, internal temperatures and sensible and latent heat loads - Part 1: Calculation procedures [S], 2017.
- Zhao, J.Y. Research on the Low-Cost Energy-Effcient Optimization of Rural House in Central Liaoning to Meet Indoor Thermal Requirements, 2021.
- Qi, M.W. Discussion on Measuring Ventilation Rates of Dorms through Tracer Gas Method with Human Body as CO Release Source [J]. Building Science, 2013, 29, 50–57. [Google Scholar]
- Zhang, X.; Chen, W.-L.; Yu, W.-J.; Ma, Y.-X.; Yang, R.-Q. Experimental study of radiation-convection heat release ratio of commonly used heating radiators. 1994, HVAC (06).
- Jin, X.; Tan, Y.F.; Yu, K.C. Test and analysis of the thermal performance of combined elevated Kang and radiator heating system in northern rural areas. [J]. Journal of Harbin Institute of Technology. 2019, 51, 179–186. [Google Scholar]








| Content | Record photos |
|---|---|
| Architectural appearances as examples | ![]() |
| Investigation process | |
| Measurement process |
| Characteristics | Unit | Feature proportion statistics | ||||
|---|---|---|---|---|---|---|
| Areas | (m2)(%) | ≤50 | 50-80 | 80-100 | 100-110 | >110 |
| 2 | 13 | 33 | 37 | 17 | ||
| Architectural form | (%) | Monolayer | Bilayer | |||
| 80.3 | 19.7 | |||||
| Plan layout | (%) | Three bays | Four bays | Others | ||
| 65.8 | 13.9 | 20.3 | ||||
| Buffer space | (%) | Only on the South | Only on the North | Both North and South | Neither north nor south | |
| 37 | 12 | 33 | 18 | |||
| Construction year | (%) | 1980~2000 | 2000~2010 | After 2010 | ||
| 68 | 25 | 7 | ||||
| Insulation type | (%) | External insulation | Intermediate insulation | Internal insulation | No insulation | |
| 6 | 2 | 6 | 86 | |||
| Ground insulation | (%) | Yes | No | |||
| 2 | 98 | |||||
| Roof insulation | (%) | Yes | No | |||
| 6 | 94 | |||||
| Annual income | RMB(Yuan)(%) | <20000 | 20000~32000 | 32000~44000 | 44000~56000 | >56000 |
| 12 | 21 | 24 | 22 | 21 | ||
| Test Parameters | Testing Instruments | Instrument Accuracy |
| Surface temperature/ heat flow | JTNT-A multi-channel temperature and heat flow test system | ±0.1℃/±0.1W/m2 |
| Air temperature and humidity | WSZY-2 temperature and humidity recorder | ±0.1℃/±0.1%RH |
| CO2 concentration | WEZY-1 Carbon Dioxide Recorder | 0~5000ppm (±75ppm) |
| opening and closing frequency of door and window | CKJM-1 type magnetic switch recorder | Maximum magnetic field induction distance 30mm |
| Insulation layer location | Type | Minimum value (m) | Maximum value (m) | Step length (m) |
Initial value (m) |
|---|---|---|---|---|---|
| Bedroom and living room exterior walls | Continuous Variables | 0.001 | 0.100 | 0.001 | 0.001 |
| Kitchen and utility room exterior walls | Continuous Variables | 0.001 | 0.100 | 0.001 | 0.001 |
| Internal walls in direct contact with the Kang | Continuous Variables | 0.001 | 0.100 | 0.001 | 0.001 |
| Bedroom and living room ceiling | Continuous Variables | 0.001 | 0.100 | 0.001 | 0.001 |
| Kitchen and utility room ceiling | Continuous Variables | 0.001 | 0.100 | 0.001 | 0.001 |
| Bedroom and living room floors | Continuous Variables | 0.001 | 0.100 | 0.001 | 0.001 |
| Kitchen and utility room floor | Continuous Variables | 0.001 | 0.100 | 0.001 | 0.001 |
| South side window to wall ratio | Continuous Variables | 1% | 45% | 1% | 1% |
| North side window to wall ratio | Continuous Variles | 1% | 30% | 1% | 1% |
| Room | Time | Number of personnel |
| Master Bedroom | 17:00~next day 8:00 | 2 |
| Living room | 9:00~17:00 | 2 |
| Kitchen | 7:00~8:00, 11:00~12:00, 16:00~18:00 | 1 |
| Month | 11 | 12 | 1 | 2 | 3 |
| Average temperature | 0.2 | -9.3 | -12.6 | -8.1 | 1 |
| Mutation probability | Crossover probability | Population size | |
| Recommended scope | 0.005~0.10 | 0.75~0.95 | 20~200 |
| Value | 0.10 | 0.90 | 100 |
Disclaimer/Publisher’s Note: The statements, opinions and data contained in all publications are solely those of the individual author(s) and contributor(s) and not of MDPI and/or the editor(s). MDPI and/or the editor(s) disclaim responsibility for any injury to people or property resulting from any ideas, methods, instructions or products referred to in the content. |
© 2024 by the authors. Licensee MDPI, Basel, Switzerland. This article is an open access article distributed under the terms and conditions of the Creative Commons Attribution (CC BY) license (http://creativecommons.org/licenses/by/4.0/).
