Submitted:
12 July 2024
Posted:
17 July 2024
You are already at the latest version
Abstract
Keywords:
1. Introduction
2. Materials and Methods
2.1. Participants
2.1. Experimental Design
2.2. EEG Signal Recording
2.3. EEG Signal Preprocessing
2.4. ERP Processing
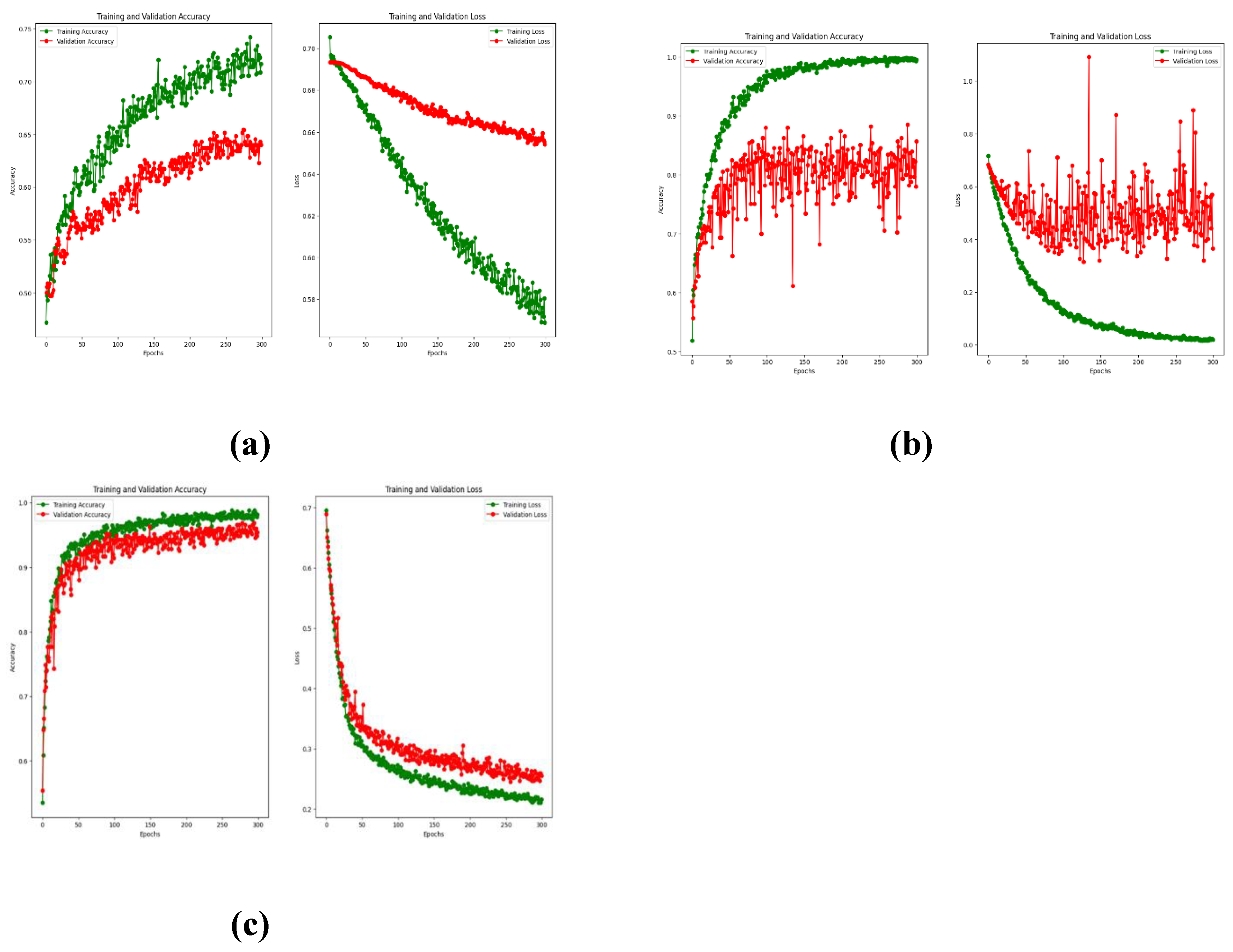
2.5. CNN Architectures Description
2.5.1. EEGNet
2.5.2. Deep Convolutional Neural Network (DeepConvNet)
2.5.3. Shallow Convolutional Neural Network (ShallowConvNet)
2.6. Pretraining of the Models
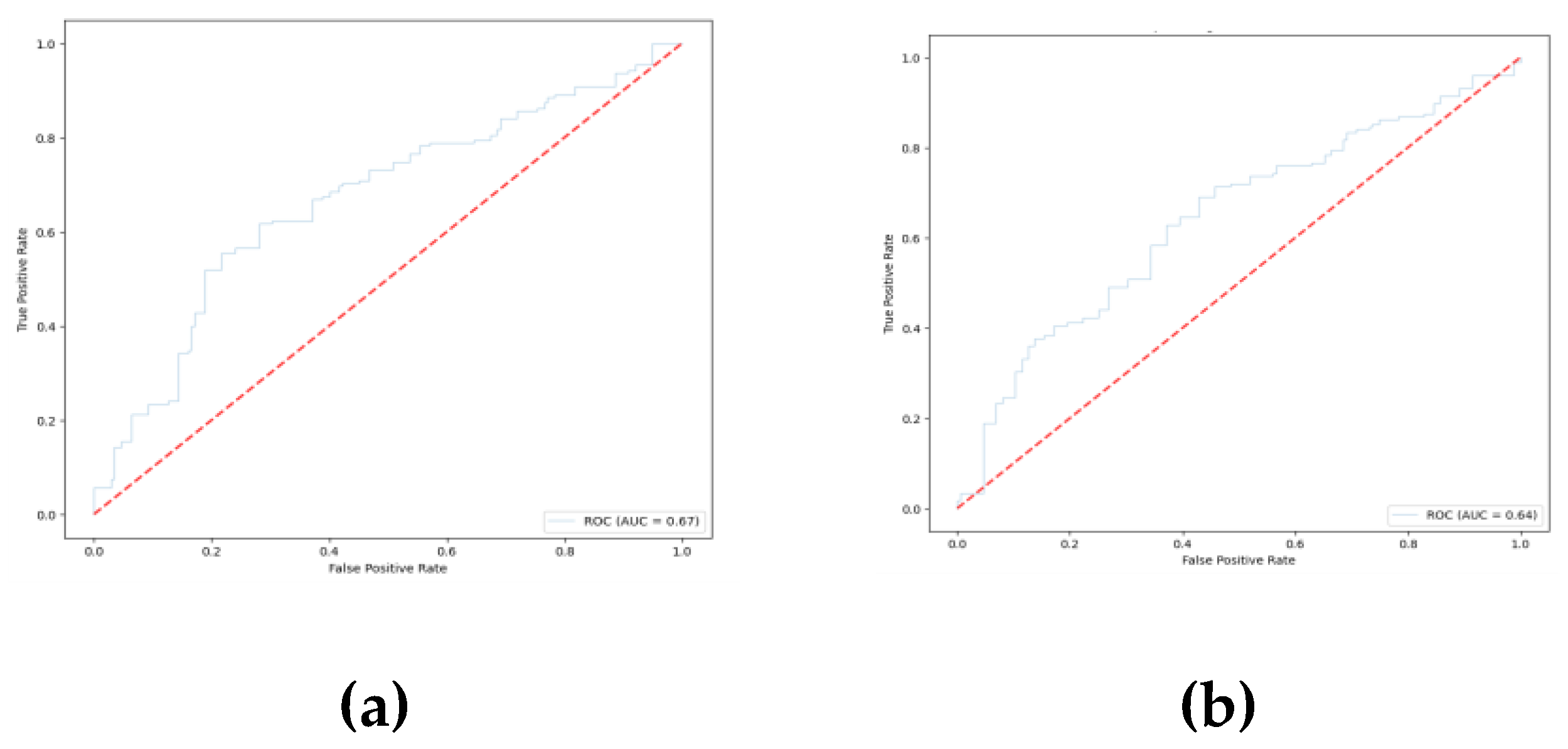
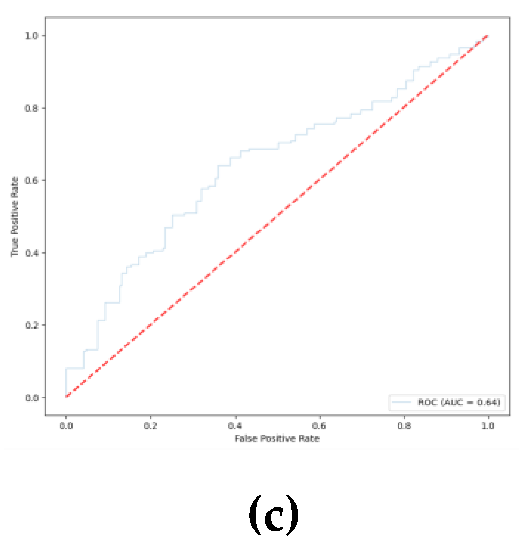
2.7. Model Assessment
3. Results
3.1. Pretraining Results
3.2. Cross Validation Results
4. Discussion
5. Conclusion
Author Contributions
Funding
Institutional Review Board Statement
Informed Consent Statement
Data Availability Statement
Acknowledgments
Conflicts of Interest
References
- Schacter, D. Implicit memory: History and current status. J. Exp. Psychol. Learn. Mem. Cogn. 1987, 13, 501–518. [Google Scholar] [CrossRef]
- Cherry, K. (n.d.). Implicit Memory vs. Explicit Memory How the different types of long-term memory work. Available online: https://www.verywellmind.com/implicit-and-explicit-memory-2795346 (Accessed on 24.05.2024).
- Yonelinas, A.P. The nature of recollection and familiarity: A review of 30 years of research. J. Mem. Lang. 2002, 46, 441–517. [Google Scholar] [CrossRef]
- Paller, K.A.; Voss, J.L.; Boehm, S.G. Validating neural correlates of familiarity. Trends Cogn. Sci 2007, 11, 243–250. [Google Scholar] [CrossRef]
- Wagner, A.D.; Koutstaal, W.; Schacter, D.L. When encoding yields remembering: insights from event-related neuroimaging. Philosophical Transactions of the Royal Society of London. Series B: Biol. Sci. 1999, 354, 1307–1324. [Google Scholar] [CrossRef]
- Friedman, D.; & Johnson, R. Event-related potential (ERP) studies of memory encoding and retrieval: a selective review. Microsc. Res. Tech. 2000, 51, 6–28. [Google Scholar] [CrossRef]
- Curran, T. Effects of attention and confidence on the hypothesized ERP correlates of recollection and familiarity. Neuropsychologia 2004, 42, 1088–1106. [Google Scholar] [CrossRef]
- Diana, R.A.; van den Boom, W.; Yonelinas, A.P.; Ranganath, C. ERP correlates of source memory: Unitized source information increases familiarity-based retrieval. Brain Res. 2011, 1367, 278–286. [Google Scholar] [CrossRef]
- Strózak, P.; Abedzadeh, D.; Curran, T. Separating the FN400 and N400 potentials across recognition memory experiments. Brain Res 2016, 1635, 41–60. [Google Scholar] [CrossRef] [PubMed]
- Leynes, P.; Upadhyay, T. Context dissociations of the FN400 and N400 are evidence for recognition based on relative or absolute familiarity. Brain Cogn. 2022, 162. [CrossRef]
- Addante, R.J.; Ranganath, C.; Yonelinas, A.P. Examining ERP correlates of recognition memory: Evidence of accurate source recognition without recollection. NeuroImage 2012, 62, 439–450. [Google Scholar] [CrossRef]
- Dimsdale-Zucker, H.R.; Maciejewska, K.; Kim, K.; Yonelinas, A.P.; Ranganath, C. Individual differences in behavioral and electrophysiological signatures of familiarity- and recollection-based recognition memory. Neuropsychologia 2022, 173. [CrossRef]
- Fukuda, K.; Woodman, G.F. Predicting and Improving Recognition Memory Using Multiple Electrophysiological Signals in Real Time. Psychol. Sci. 2015, 26, 1026–1037. [Google Scholar] [CrossRef]
- Khurana, V.; Kumar, P.; Saini, R.; Roy, P.P. EEG based word familiarity using features and frequency bands combination. Cogn. Syst. Res. 2018, 49, 33–48. [Google Scholar] [CrossRef]
- Luck, S.J. An introduction to the event-related potential technique, 2nd ed, The MIT Press USA, 2014.
- Luck, S.J. (n.d.). Virtual ERP Boot Camp: Introduction to ERPs. Available online: https://courses.erpinfo.org/courses/take/Intro-to-ERPs/texts/14727771-chapter-1-overview (Accessed on 15.08.2023).
- Wilding, E.; Ranganath, C. Electrophysiological Correlates of Episodic Memory Processes In The Oxford Handbook of Event-Related Potential Components, Kappenman, E., Luck, S. J. Oxford Handbooks. USA, 2012.
- Bandt, C.; Weymar, M.; Samaga, D.; Hamm, A.O. A simple classification tool for single-trial analysis of ERP components. Psychophysiology 2009, 46, 747–757. [Google Scholar] [CrossRef]
- Stober, S.; Cameron, D.J.; Grahn, J.A. Using Convolutional Neural Networks to Recognize Rhythm Stimuli from Electroencephalography Recordings. In NIPS’14: Proceedings of the 27th International Conference on Neural Information Processing Systems. Canada Date of Conference (08.12.2014).
- Oh, S.L.; Vicnesh, J.; Ciaccio, E.J.; Yuvaraj, R.; Acharya, U.R. Deep convolutional neural network model for automated diagnosis of Schizophrenia using EEG signals. Appl. Sci. 2019, 9, 2870. [Google Scholar] [CrossRef]
- Borra, D.; Magosso, E. Deep learning-based EEG analysis: investigating P3 ERP components. J. Integr. Neurosci. 2021, 20, 791–811. [Google Scholar] [CrossRef] [PubMed]
- Komolovaitė, D.; Maskeliūnas, R.; Damaševičius, R. Deep Convolutional Neural Network-Based Visual Stimuli Classification Using Electroencephalography Signals of Healthy and Alzheimer’s Disease Subjects. Life 2022, 12, 374. [Google Scholar] [CrossRef]
- Craik, A.; He, Y.; Contreras-Vidal, J.L. Deep learning for electroencephalogram (EEG) classification tasks: A review. J. Neural Eng. 2019 (Vol. 16, Issue 3). Institute of Physics Publishing. [CrossRef]
- Depuydt, E.; Criel, Y.; de Letter, M.; van Mierlo, P. Single-trial ERP Quantification Using Neural Networks. Brain Topogr. 2023. [CrossRef]
- Alimardani, M.; Kaba, M. Deep Learning for Neuromarketing: Classification of User Preference using EEG Signals. In The 12th Augmented Human International Conference (AH2021), Switzerland, Date of Conference (27.05.2021).
- Atilla, F.; Alimardani, M. EEG-based Classification of Drivers Attention using Convolutional Neural Network. In Proceedings of the 2021 IEEE International Conference on Human-Machine Systems(ICHMS 2021), Germany, Conference (08.09.2021).
- jsPsych. (n.d.). Available Online: https://www.jspsych.org/7.3/ (Accessed on 24.02.2023).
- de Leeuw, J.R. jsPsych: A JavaScript library for creating behavioral experiments in a Web browser. Behavior Research Methods 2015, 47, 1–12. [Google Scholar] [CrossRef] [PubMed]
- Delorme, A.; Makeig, S. EEGLAB: an open source toolbox for analysis of single-trial EEG dynamics including independent component analysis. J. Neurosci. Methods 2004, 134, 9–21. [Google Scholar] [CrossRef]
- Calbi, M.; Siri, F.; Heimann, K.; Barratt, D.; Gallese, V.; Kolesnikov, A.; Umiltà, M.A. How context influences the interpretation of facial expressions: a source localization high-density EEG study on the “Kuleshov effect”. Sci. Rep. 2019, 9. [Google Scholar] [CrossRef]
- Herzmann, G.; Curran, T. Experts’ memory: An ERP study of perceptual expertise effects on encoding and recognition. Mem. Cogn 2011, 39, 412–432. [Google Scholar] [CrossRef] [PubMed]
- Bailey, K.; Chapman, P. When can we choose to forget? An ERP study into item-method directed forgetting of emotional words. Brain Cogn. 2012, 78, 133–147. [Google Scholar] [CrossRef]
- Lopez-Calderon, J.; Luck, S.J. ERPLAB: An open-source toolbox for the analysis of event-related potentials. Front. Hum. Neurosci. 2014, 8. [Google Scholar] [CrossRef] [PubMed]
- Luck, S.J.; Stewart, A.X.; Simmons, A.M.; Rhemtulla, M. Standardized measurement error: A universal metric of data quality for averaged event-related potentials. Psychophysiology 2021, 58. [Google Scholar] [CrossRef] [PubMed]
- Schirrmeister, R.T.; Springenberg, J.T.; Fiederer, L.D.J.; Glasstetter, M.; Eggensperger, K.; Tangermann, M.; Hutter, F.; Burgard, W.; Ball, T. Deep learning with convolutional neural networks for EEG decoding and visualization. Hum. Brain Mapp. 2017, 38, 5391–5420. [Google Scholar] [CrossRef]
- Lawhern, V.J.; Solon, A.J.; Waytowich, N.R.; Gordon, S.M.; Hung, C.P.; Lance, B.J. EEGNet: A compact convolutional neural network for EEG-based brain-computer interfaces. J. Neural Eng. 2018, 15. [Google Scholar] [CrossRef] [PubMed]
- Lawhern, V. (n.d.). Army Research Laboratory (ARL) EEGModels. Available online: https://github.com/vlawhern/arl-eegmodels (Accessed on 24.02.2024).











| Model. | Overall Accuracy | ROC AOC | Precision | Recall | Specificity |
| EEGNET | 0.660 | 0.670 | 0.673 | 0.623 | 0.697 |
| DeepConvNet | 0.550 | 0.640 | 0.517 | 0.869 | 0.189 |
| ShallowConvNet | 0.610 | 0.640 | 0.570 | 0.720 | 0.620 |
| Model | Fold | Overall Accuracy | ROC- AOC | Precision | Recall | Specificity |
| EEGNET | 0 | 0.68 | 0.67 | 0.60 | 0.64 | 0.57 |
| 1 | 0.65 | 0.65 | 0.59 | 0.65 | 0.55 | |
| 2 | 0.72 | 0.65 | 0.61 | 0.63 | 0.61 | |
| 3 | 0.77 | 0.66 | 0.63 | 0.6 | 0.64 | |
| 4 | 0.72 | 0.66 | 0.61 | 0.55 | 0.65 | |
| 5 | 0.72 | 0.66 | 0.59 | 0.66 | 0.54 | |
| 6 | 0.76 | 0.66 | 0.62 | 0.59 | 0.63 | |
| 7 | 0.71 | 0.66 | 0.59 | 0.6 | 0.59 | |
| 8 | 0.77 | 0.66 | 0.59 | 0.66 | 0.54 | |
| 9 | 0.65 | 0.66 | 0.62 | 0.62 | 0.62 | |
| Mean | 0.71 | 0.66 | 0.60 | 0.62 | 0.59 | |
| SD | 0.04 | 0.01 | 0.01 | 0.03 | 0.04 | |
| DeepConvNet | 0 | 0.96 | 0.64 | 0.54 | 0.9 | 0.22 |
| 1 | 0.97 | 0.63 | 0.52 | 0.87 | 0.19 | |
| 2 | 0.98 | 0.62 | 0.51 | 0.89 | 0.16 | |
| 3 | 0.96 | 0.63 | 0.52 | 0.86 | 0.22 | |
| 4 | 0.99 | 0.64 | 0.52 | 0.9 | 0.18 | |
| 5 | 0.97 | 0.64 | 0.55 | 0.79 | 0.34 | |
| 6 | 0.99 | 0.65 | 0.52 | 0.88 | 0.19 | |
| 7 | 0.99 | 0.64 | 0.52 | 0.87 | 0.19 | |
| 8 | 0.94 | 0.64 | 0.53 | 0.87 | 0.22 | |
| 9 | 0.96 | 0.62 | 0.53 | 0.83 | 0.25 | |
| Mean | 0.97 | 0.63 | 0.53 | 0.87 | 0.22 | |
| SD | 0.02 | 0.01 | 0.01 | 0.03 | 0.05 | |
| ShallowConvNet | 0 | 0.94 | 0.64 | 0.58 | 0.76 | 0.46 |
| 1 | 0.9 | 0.65 | 0.58 | 0.77 | 0.44 | |
| 2 | 0.96 | 0.64 | 0.54 | 0.78 | 0.34 | |
| 3 | 0.92 | 0.61 | 0.54 | 0.82 | 0.30 | |
| 4 | 0.97 | 0.61 | 0.55 | 0.79 | 0.37 | |
| 5 | 0.96 | 0.63 | 0.57 | 0.75 | 0.43 | |
| 6 | 0.94 | 0.62 | 0.55 | 0.79 | 0.34 | |
| 7 | 0.91 | 0.64 | 0.58 | 0.77 | 0.44 | |
| 8 | 0.96 | 0.63 | 0.56 | 0.78 | 0.39 | |
| 9 | 0.93 | 0.64 | 0.56 | 0.78 | 0.38 | |
| Mean | 0.94 | 0.63 | 0.56 | 0.78 | 0.39 | |
| SD | 0.02 | 0.01 | 0.02 | 0.02 | 0.05 |
Disclaimer/Publisher’s Note: The statements, opinions and data contained in all publications are solely those of the individual author(s) and contributor(s) and not of MDPI and/or the editor(s). MDPI and/or the editor(s) disclaim responsibility for any injury to people or property resulting from any ideas, methods, instructions or products referred to in the content. |
© 2024 by the authors. Licensee MDPI, Basel, Switzerland. This article is an open access article distributed under the terms and conditions of the Creative Commons Attribution (CC BY) license (http://creativecommons.org/licenses/by/4.0/).