Submitted:
04 July 2024
Posted:
12 July 2024
You are already at the latest version
Abstract
Keywords:
Introduction
Material and Methods
Patients
Clinical Assessment
Image Acquisition
Imaging Evaluation
Statistical Analysis
Results
Discussion
Impact on Treatment Response and OS of 223Ra Therapeutic Line
Diagnostic Imaging in Patient Selection
Response Assessment
Skeletal Events
Therapeutic Failure
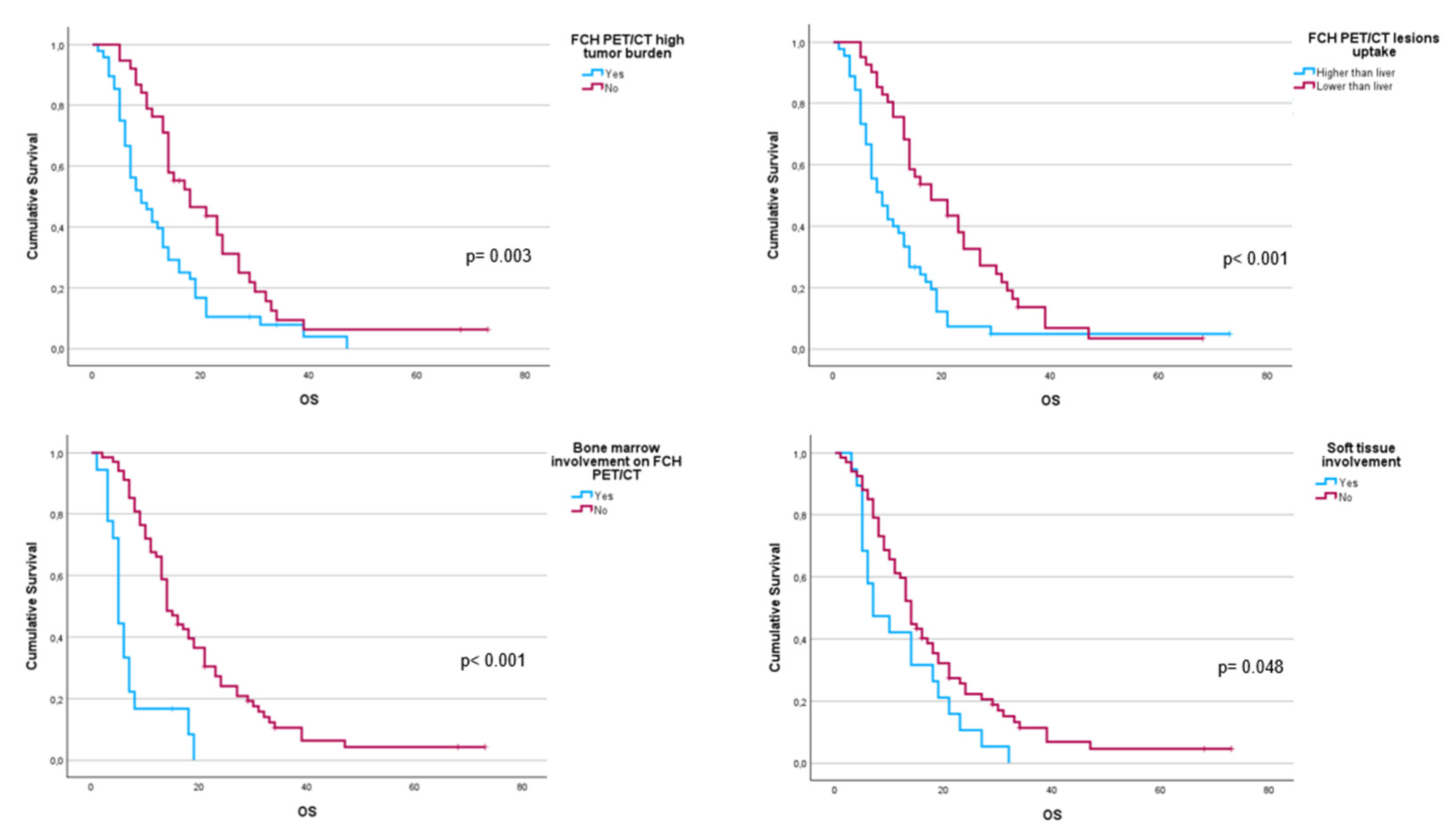
Prognostic Factors
Conclusions
References
- Parker, C.; Castro, E.; Fizazi, K.; Heidenreich, A.; Ost, P.; Procopio, G.; Tombal, B.; Gillessen, S. ESMO Guidelines Committee. Prostate Cancer: ESMO Clinical Practice Guidelines for Diagnosis, Treatment and Follow-Up. Ann. Oncol. 2020, 31, 1119–1134. [Google Scholar] [CrossRef]
- Mottet, N.; Cornford, P.; van den Bergh, R.C.N.; Briers, E.; Eberli, D.; De Meerleer, G.; De Santis, M.; Gillessen, S.; Grummet, J.; Henry, A.M.; et al. EAU-EANM-ESTRO-ESUR-ISUP-SIOG Guidelines on Prostate Cancer-2023.
- Schaeffer, E.M.; Srinivas, S.; Adra, N.; An, Y.; Barocas, D.; Bitting, R.; Bryce, A.; Chapin, B.; Cheng, H.H.; D'Amico, A.V.; et al. Prostate Cancer, Version 4.2023, NCCN Clinical Practice Guidelines in Oncology. J. Natl. Compr. Canc. Netw. 2023, 21, 1067–1096. [Google Scholar] [CrossRef] [PubMed]
- Lowrance, W.; Dreicer, R.; Jarrard, D.F.; Scarpato, K.R.; Kim, S.K.; Kirkby, E.; Buckley, D.I.; Griffin, J.C.; Cookson, M.S. Updates to Advanced Prostate Cancer: AUA/SUO Guideline. J. Urol. 2023, 209, 1082–1090. [Google Scholar] [CrossRef] [PubMed]
- Parker, C.; Nilsson, S.; Heinrich, D.; Helle, S.I.; O’Sullivan, J.M.; Fossa, S.D.; Chodacki, A.; Wiechno, P.; Logue, J.; Seke, M.; et al. Alpha emitter radium-223 and survival in metastatic prostate cancer. N. Engl. J. Med. 2013, 369, 213–223. [Google Scholar] [CrossRef]
- Smith, M.; Parker, C.; Saad, F.; Miller, K.; Tombal, B.; Ng, Q.S.; Boegemann, M.; Matveev, V.; Piulats, J.M.; Zucca, L.E.; et al. Addition of radium-223 to abiraterone acetate and prednisone or prednisolone in patients with castration-resistant prostate cancer and bone metastases (ERA 223): A randomised, double-blind, placebo-controlled, phase 3 trial. Lancet Oncol. 2019, 20, 408–419. [Google Scholar] [CrossRef]
- Brady, D.; Parker, C.C.; O’Sullivan, J.M. Bone-targeting radiopharmaceuticals including radium-223. Cancer J. 2013, 19, 71–78. [Google Scholar] [CrossRef] [PubMed]
- Fuccio, C.; Castellucci, P.; Schiavina, R.; Guidalotti, P.L.; Gavaruzzi, G.; Montini, G.C.; Nanni, C.; Marzola, M.C.; Rubello, D.; Fanti, S. Role of 11C-choline PET/CT in the restaging of prostate cancer patients with biochemical relapse and negative results at bone scintigraphy. Eur. J. Radiol. 2012, 81, e893–e896. [Google Scholar] [CrossRef]
- Beheshti, M.; Vali, R.; Waldenberger, P.; Fitz, F.; Nader, M.; Loidl, W.; Broinger, G.; Stoiber, F.; Foglman, I.; Langsteger, W. Detection of bone metastases in patients with prostate cancer by 18F fluorocholine and 18F fluoride PET-CT: A comparative study. Eur J Nucl Med Mol Imaging 2008, 35, 1766–1774. [Google Scholar] [CrossRef]
- García Vicente, A.M.; Amo-Salas, M.; Cassinello Espinosa, J.; Gómez Díaz, R.; Soriano Castrejón, Á. Interim and end-treatment 18F-Fluorocholine PET/CT and bone scan in prostate cancer patients treated with Radium 223 dichloride. Sci. Rep. 2021, 11, 7389. [Google Scholar] [CrossRef]
- García Vicente, A.M.; González García, B.; Amo-Salas, M.; García Carbonero, I.; Cassinello Espinosa, J.; Gómez-Aldaraví Gutierrez, J.L.; Suarez Hinojosa, L.; Soriano Castrejón, Á. Baseline 18F-Fluorocholine PET/CT and bone scan in the outcome prediction of patients treated with radium 223 dichloride. Clin. Transl. Oncol. 2019, 21, 289–297. [Google Scholar] [CrossRef]
- Sartor, O.; Coleman, R.E.; Nilsson, S.; Heinrich, D.; Helle, S.I.; O’Sullivan, J.M.; Vogelzang, N.J.; Bruland, O.; Kobina, S.; Wilhelm, S.; et al. An exploratory analysis of alkaline phosphatase, lactate dehydrogenase, and prostate-specific antigen dynamics in the phase 3 ALSYMPCA trial with radium-223. Ann. Oncol. 2017, 28, 1090–1097. [Google Scholar] [CrossRef] [PubMed]
- Heinrich, D.; Bruland, O.; Guise, T.A.; Suzuki, H.; Sartor, O. Alkaline phosphatase in metastatic castration-resistant prostate cancer: Reassessment of an older biomarker. Future Oncol. 2018, 14, 2543–2556. [Google Scholar] [CrossRef] [PubMed]
- Alva, A.; Nordquist, L.; Daignault, S.; George, S.; Ramos, J.; Albany, C.; Isharwal, S.; McDonald, M.; Campbell, G.; Danchaivijitr, P.; et al. Clinical Correlates of Benefit from Radium-223 Therapy in Metastatic Castration Resistant Prostate Cancer. Prostate 2017, 77, 479–488. [Google Scholar] [CrossRef]
- Fosbøl, M.Ø.; Petersen, P.M.; Kjaer, A.; Mortensen, J. 223Ra Therapy of Advanced Metastatic Castration-Resistant Prostate Cancer: Quantitative Assessment of Skeletal Tumor Burden for Prognostication of Clinical Outcome and Hematologic Toxicity. J. Nucl. Med. 2018, 59, 596–602. [Google Scholar] [CrossRef]
- Kitajima, K.; Igeta, M.; Kuyama, J.; Kawahara, T.; Suga, T.; Otani, T.; Sugawara, S.; Kono, Y.; Tamaki, Y.; Seko-Nitta, A.; et al. Novel nomogram developed for determining suitability of metastatic castration-resistant prostate cancer patients to receive maximum benefit from radium-223 dichloride treatment-Japanese Ra-223 Therapy in Prostate Cancer using Bone Scan Index (J-RAP-BSI) Trial. Eur. J. Nucl. Med. Mol. Imaging. 2023, 50, 1487–1498. [Google Scholar]
- Shariftabrizi A, Kothari S, George S, Attwood K, Levine E, Lamonica D. Optimization of Radium-223 Treatment for Castration-resistant Prostate Cancer: Insights from Skeletal Metastasis Burden and Clinical Parameters. Cancers 2023, 28, 246–251. [Google Scholar]
- Crawford, E.D.; Petrylak, D.P.; Shore, N.; Saad, F.; Slovin, S.F.; Vogelzang, N.J.; Keane, T.E.; Koo, P.J.; Gomella, L.G.; O'Sullivan, J.M.; et al. Prostate Cancer Radiographic Assessments for Detection of Advanced Recurrence (RADAR II) Group. The Role of Therapeutic Layering in Optimizing Treatment for Patients With Castration-resistant Prostate Cancer (Prostate Cancer Radiographic Assessments for Detection of Advanced Recurrence II). Urology 2017, 104, 150–159.
- Slack, N.H.; Karr, J.P.; Chu, T.M.; Murphy, G.P. An assessment of bone scans for monitoring osseous metastases in patients being treated for prostate carcinoma. Prostate. 1980, 1, 259–270. [Google Scholar] [CrossRef]
- Young, H.; Baum, R.; Cremerius, U.; Herholz, K.; Hoekstra, O.; Lammertsma, A.A.; Pruim, J.; Price, P. Measurement of clinical and subclinical tumour response using [18F]-fluorodeoxyglucose and positron emission tomography: Review and 1999 EORTC recommendations. European Organization for Research and Treatment of Cancer (EORTC) PET Study Group. Eur J Cancer. 1999, 35, 1773–1782.
- European Medicines Agency (EMA). (2020). Provisional assessment report: Provisional measures under Article 20 - XOFIGO (H-20-1459-C-002653-0028). Retrieved from https://www.ema.europa.eu/en/documents/variation-report/xofigo-h-20-1459-c-002653-0028-epar-assessment-report-provisional-measures-article-20_en.pdf.
- Parikh, S.; Murray, L.; Kenning, L.; Bottomley, D.; Din, O.; Dixit, S.; Ferguson, C.; Handforth, C.; Joseph, L.; Mokhtar, D.; et al. Real-world Outcomes and Factors Predicting Survival and Completion of Radium 223 in Metastatic Castrate-resistant Prostate Cancer. Clin. Oncol. 2018, 30, 548–555. [Google Scholar] [CrossRef]
- Wong, W.W.; Anderson, E.M.; Mohammadi, H.; Daniels, T.B.; Schild, S.E.; Keole, S.R.; Choo, C.R.; Tzou, K.S.; Bryce, A.H.; Ho, T.H.; et al. Factors Associated with Survival Following Radium-223 Treatment for Metastatic Castration-resistant Prostate Cancer. Clin. Genitourin. Cancer 2017, 15, e969–e975. [Google Scholar] [CrossRef]
- Kuppen, M.C.; Westgeest, H.M.; van der Doelen, M.J.; van den Eertwegh, A.J.; Coenen, J.L.; Aben, K.K.; van den Bergh, A.C.; Bergman, A.M.; den Bosch, J.V.; Celik, F.; et al. Real-world outcomes of radium-223 dichloride for metastatic castration resistant prostate cancer. Future Oncol. 2020, 16, 1371–1384. [Google Scholar] [CrossRef]
- Frantellizzi, V.; Farcomeni, A.; Follacchio, G.A.; Pacilio, M.; Pellegrini, R.; Pani, R.; De Vincentis, G. A 3-variable prognostic score (3-PS) for overall survival prediction in metastatic castration-resistant prostate cancer treated with 223Radium-dichloride. Ann. Nucl. Med. 2018, 32, 142–148. [Google Scholar] [CrossRef] [PubMed]
- Bauckneht, M.; Rebuzzi, S.E.; Ponzano, M.; Borea, R.; Signori, A.; Frantellizzi, V.; Lodi Rizzini, E.; Mascia, M.; Lavelli, V.; Miceli, A.; et al. Prognostic Value of the BIO-Ra Score in Metastatic Castration-Resistant Prostate Cancer Patients Treated with Radium-223 after the European Medicines Agency Restricted Use: Secondary Investigations of the Multicentric BIO-Ra Study. Cancers 2022, 14, 1744. [Google Scholar] [CrossRef] [PubMed]
- van der Doelen, M.J.; Oving, I.M.; Wyndaele, D.N.J.; van Basten, J.P.; Terheggen, F.; van de Luijtgaarden, A.C.M.; Oyen, W.J.G.; van Schelven, W.D.; van den Berkmortel, F.; Mehra, N.; et al. Health-Related Quality of Life, Psychological Distress, and Fatigue in Metastatic Castration-Resistant Prostate Cancer Patients Treated with Radium-223 Therapy. Prostate Cancer Prostatic Dis. 2023, 26, 142–150. [Google Scholar] [CrossRef] [PubMed]
- Ge, R.; Wang, Z.; Cheng, L. Tumor microenvironment heterogeneity an important mediator of prostate cancer progression and therapeutic resistance. NPJ Precis. Oncol. 2022, 6, 31. [Google Scholar] [CrossRef] [PubMed]
- Tolkach, Y.; Kristiansen, G. The Heterogeneity of Prostate Cancer: A Practical Approach. Pathobiology 2018, 85, 108–116. [Google Scholar]
- Yamamoto, Y.; Okuda, Y.; Kanaki, T.; Tanaka, R.; Nagahara, A.; Nakai, Y.; Nakayama, M.; Kakimoto, K.I.; Nishimura, K. Clinical indicators for predicting prognosis after radium-223 administration in castration-resistant prostate cancer with bone metastases. Int J Clin Oncol. 2021, 26, 192–198. [Google Scholar] [CrossRef] [PubMed]
- Palmedo, H.; Ahmadzadehfar, H.; Eschmann, S.; Niesen, A.; Schönberger, J.; Barsegian, V.; Liepe, K.; Mottaghy, F.M.; Guan, R.; Pinkert, J.; et al. Pain Outcomes in Patients with Metastatic Castration-Resistant Prostate Cancer Treated with 223Ra: PARABO, a Prospective, Noninterventional Study. J. Nucl. Med. 2023, 64, 1392–1398. [Google Scholar] [CrossRef] [PubMed]
- Saad, F.; Carles, J.; Gillessen, S.; Heidenreich, A.; Heinrich, D.; Gratt, J.; Lévy, J.; Miller, K.; Nilsson, S.; Petrenciuc, O.; et al. Radium-223 International Early Access Program Investigators. Radium-223 and concomitant therapies in patients with metastatic castration-resistant prostate cancer: An international, early access, open-label, single-arm phase 3b trial. Lancet Oncol, 2016; 17, 1306–1316. [Google Scholar]
- Ramos, J.D.; Mostaghel, E.A.; Pritchard, C.C.; Yu, E.Y. DNA Repair Pathway Alterations in Metastatic Castration-resistant Prostate Cancer Responders to Radium-223. Clin. Genitourin. Cancer 2018, 16, 106–110. [Google Scholar] [CrossRef]
- Steinberger, A.E.; Cotogno, P.; Ledet, E.M.; Lewis, B.; Sartor, O. Exceptional Duration of Radium-223 in Prostate Cancer with a BRCA2 Mutation. Clin. Genitourin. Cancer. 2017, 15, e69–e71. [Google Scholar] [CrossRef]
- Armstrong, A.J.; Anand, A.; Edenbrandt, L.; Bondesson, E.; Bjartell, A.; Widmark, A.; Sternberg, C.N.; Pili, R.; Tuvesson, H.; Nordle, Ö.; et al. Phase 3 Assessment of the Automated Bone Scan Index as a Prognostic Imaging Biomarker of Overall Survival in Men with Metastatic Castration-Resistant Prostate Cancer: A Secondary Analysis of a Randomized Clinical Trial. JAMA Oncol. 2018, 4, 944–951. [Google Scholar] [CrossRef]
- van der Zande, K.; Oyen, W.J.G.; Zwart, W.; Bergman, A.M. Radium-223 Treatment of Patients with Metastatic Castration Resistant Prostate Cancer: Biomarkers for Stratification and Response Evaluation. Cancers 2021, 13, 4346. [Google Scholar] [CrossRef]
- de Jong, A.C.; Segbers, M.; Ling, S.W.; Graven, L.H.; Mehra, N.; Hamberg, P.; Brabander, T.; de Wit, R.; van der Veldt, A.A.M. 68Ga-PSMA PET/CT for Response Evaluation of 223Ra Treatment in Metastatic Prostate Cancer. J. Nucl. Med. 2023, 64, 1556–1562. [Google Scholar] [CrossRef]
- Donners, R.; Tunariu, N.; Tovey, H.; Hall, E.; Chua, S.; Cook, G.; Du, Y.; Blackledge, M.D.; Parker, C.C.; Koh, D.M. The value of baseline 18F-sodium fluoride and 18F-choline PET activity for identifying responders to radium-223 treatment in castration-resistant prostate cancer bone metastases. Eur. Radiol. 2024, 34, 1146–1154. [Google Scholar] [CrossRef]
- Fuccio, C.; Castellucci, P.; Schiavina, R.; Santi, I.; Allegri, V.; Pettinato, V.; Boschi, S.; Martorana, G.; Al-Nahhas, A.; Rubello, D.; et al. Role of 11C-choline PET/CT in the restaging of prostate cancer patients showing a single lesion on bone scintigraphy. Ann. Nucl. Med. 2010, 24, 485–492. [Google Scholar] [CrossRef]
- Bosch, D.; van der Velden, K.J.M.; Oving, I.M.; Wyndaele, D.N.J.; Weijs, L.E.; van Schelven, W.D.; Oyen, W.J.G.; Te Beek, E.T.; van de Luijtgaarden, A.C.M.; Somford, D.M.; et al. The Impact of Baseline PSMA PET/CT Versus CT on Outcomes of 223Ra Therapy in Metastatic Castration-Resistant Prostate Cancer Patients. J. Nucl. Med. 2024, 65, 541–547. [Google Scholar] [CrossRef]
- Filippi, L.; Spinelli, G.P.; Chiaravalloti, A.; Schillaci, O.; Equitani, F.; Bagni, O. Prognostic Value of 18F-Choline PET/CT in Patients with Metastatic Castration-Resistant Prostate Cancer Treated with Radium-223. Biomedicines 2020, 8, 555. [Google Scholar] [CrossRef]
- Maines, F.; Caffo, O.; Donner, D.; Sperduti, I.; Bria, E.; Veccia, A.; Chierichetti, F.; Tortora, G.; Galligioni, E. Serial 18F-choline-PET Imaging in Patients Receiving Enzalutamide for Metastatic Castration-Resistant Prostate Cancer: Response Assessment and Imaging Biomarkers. Future Oncol. 2016, 12, 333–342. [Google Scholar] [CrossRef]
- Caroli, P.; De Giorgi, U.; Scarpi, E.; Fantini, L.; Moretti, A.; Galassi, R.; Celli, M.; Conteduca, V.; Rossi, L.; Bianchi, E.; et al. Prognostic value of 18F-choline PET/CT metabolic parameters in patients with metastatic castration-resistant prostate cancer treated with abiraterone or enzalutamide. Eur. J. Nucl. Med. Mol. Imaging 2018, 45, 348–354. [Google Scholar] [CrossRef]
- Vija Racaru, L.; Sinigaglia, M.; Kanoun, S.; Ben Bouallègue, F.; Tal, I.; Brillouet, S.; Bauriaud-Mallet, M.; Zerdoud, S.; Dierickx, L.; Vallot, D.; et al. Fluorine-18-fluorocholine PET/CT parameters predictive for hematological toxicity to radium-223 therapy in castrate-resistant prostate cancer patients with bone metastases: A pilot study. Nucl. Med. Commun. 2018, 39, 672–679. [Google Scholar] [CrossRef]
- Quaquarini, E.; D’Ambrosio, D.; Sottotetti, F.; Gallivanone, F.; Hodolic, M.; Baiardi, P.; Palumbo, R.; Vellani, C.; Canevari, C.; Bernardo, A.; et al. Prognostic Value of 18 F-Fluorocholine PET Parameters in Metastatic Castrate-Resistant Prostate Cancer Patients Treated with Docetaxel. Contrast Media Mol. Imaging 2019, 1–7. [Google Scholar] [CrossRef]
- Letellier, A.; Johnson, A.C.; Kit, N.H.; Savigny, J.F.; Batalla, A.; Parienti, J.J.; Aide, N. Uptake of Radium-223 Dichloride and Early [18F]NaF PET Response Are Driven by Baseline [18F]NaF Parameters: A Pilot Study in Castration-Resistant Prostate Cancer Patients. Mol Imaging Biol. 2018, 20, 482–491. [Google Scholar] [CrossRef]
- Maines, F.; Caffo, O.; Donner, D.; Sperduti, I.; Bria, E.; Veccia, A.; Chierichetti, F.; Tortora, G.; Galligioni, E. Serial 18F-choline-PET imaging in patients receiving enzalutamide for metastatic castration-resistant prostate cancer: Response assessment and imaging biomarkers. Future Oncol. 2016, 12, 333–342. [Google Scholar] [CrossRef] [PubMed]
- Etchebehere, E.C.; Araujo, J.C.; Fox, P.S.; Swanston, N.M.; Macapinlac, H.A.; Rohren, E.M. Prognostic factors in patients treated with 223Ra: The role of skeletal tumor burden on baseline 18F-fluoride PET/CT in predicting overall survival. J. Nucl. Med. 2015, 56, 1177–1184. [Google Scholar] [CrossRef] [PubMed]
- Ahmadzadehfar, H.; Azgomi, K.; Hauser, S.; Wei, X.; Yordanova, A.; Gaertner, F.C.; Kürpig, S.; Strunk, H.; Essler, M. 68Ga-PSMA-11 PET as a Gatekeeper for the Treatment of Metastatic Prostate Cancer with 223Ra: Proof of Concept. J. Nucl. Med. 2017, 58, 438–444. [Google Scholar] [CrossRef] [PubMed]
- Anand, A.; Trägårdh, E.; Edenbrandt, L.; Beckman, L.; Svensson, J.H.; Thellenberg, C.; Widmark, A.; Kindblom, J.; Ullén, A.; Bjartell, A. Assessing Radiographic Response to 223Ra with an Automated Bone Scan Index in Metastatic Castration-Resistant Prostate Cancer Patients. J. Nucl. Med. 2020, 61, 671–675. [Google Scholar] [CrossRef] [PubMed]
- van der Doelen, M.J.; Stockhaus, A.; Ma, Y.; Mehra, N.; Yachnin, J.; Gerritsen, W.R.; Nilsson, S.; van Oort, I.M.; Ullén, A. Early alkaline phosphatase dynamics as biomarker of survival in metastatic castration-resistant prostate cancer patients treated with radium-223. Eur J Nucl Med Mol Imaging. 2021, 48, 3325–3334. [Google Scholar] [CrossRef] [PubMed]
- Gafita, A.; Rauscher, I.; Weber, M.; Hadaschik, B.; Wang, H.; Armstrong, W.R.; Tauber, R.; Grogan, T.R.; Czernin, J.; Rettig, M.B.; et al. Novel Framework for Treatment Response Evaluation Using PSMA PET/CT in Patients with Metastatic Castration-Resistant Prostate Cancer (RECIP 1.0): An International Multicenter Study. J. Nucl. Med. 2022, 63, 1651–1658. [Google Scholar] [PubMed]
- Fanti, S.; Hadaschik, B.; Herrmann, K. Proposal for Systemic-Therapy Response-Assessment Criteria at the Time of PSMA PET/CT Imaging: The PSMA PET Progression Criteria. J. Nucl. Med. 2020, 61, 678–682. [Google Scholar] [CrossRef] [PubMed]
- Fanti, S.; Goffin, K.; Hadaschik, B.A.; Herrmann, K.; Maurer, T.; MacLennan, S.; Oprea-Lager, D.E.; Oyen, W.J.; Rouvière, O.; Mottet, N.; et al. Consensus Statements on PSMA PET/CT Response Assessment Criteria in Prostate Cancer. Eur. J. Nucl. Med. Mol. Imaging 2021, 48, 469–476. [Google Scholar] [CrossRef] [PubMed]
- Lange, P.H.; Vessella, R.L. Mechanisms, hypotheses and questions regarding prostate cancer micrometastases to bone. Cancer Metastasis Rev. 1998, 17, 331–336. [Google Scholar] [CrossRef]
- Parker, C.C.; Coleman, R.E.; Sartor, O.; Vogelzang, N.J.; Bottomley, D.; Heinrich, D.; Helle, S.I.; O'Sullivan, J.M.; Fossà, S.D.; Chodacki, A.; et al. Three-year Safety of Radium-223 Dichloride in Patients with Castration-resistant Prostate Cancer and Symptomatic Bone Metastases from Phase 3 Randomized Alpharadin in Symptomatic Prostate Cancer Trial. Eur. Urol. 2018, 73, 427–435. [Google Scholar] [CrossRef]
- Sartor, O.; Coleman, R.; Nilsson, S.; Heinrich, D.; Helle, S.I.; O'Sullivan, J.M.; Fosså, S.D.; Chodacki, A.; Wiechno, P.; Logue, J. Effect of radium-223 dichloride on symptomatic skeletal events in patients with castration-resistant prostate cancer and bone metastases: Results from a phase 3, double-blind, randomised trial. Lancet Oncol. 2014, 15, 738–746. [Google Scholar] [CrossRef] [PubMed]
- Kitajima, K.; Kuyama, J.; Kawahara, T.; Suga, T.; Otani, T.; Sugawara, S.; Kono, Y.; Tamaki, Y.; Seko-Nitta, A.; Ishiwata, Y.; et al. Assessing Therapeutic Response to Radium-223 with an Automated Bone Scan Index among Metastatic Castration-Resistant Prostate Cancer Patients: Data from Patients in the J-RAP-BSI Trial. Cancers 2023, 15, 2784. [Google Scholar] [CrossRef] [PubMed]
- van der Doelen, M.J.; Kuppen, M.C.P.; Jonker, M.A.; Mehra, N.; Janssen, M.J.R.; van Oort, I.M.; Gerritsen, W.R. 223Ra Therapy in Patients With Advanced Castration-Resistant Prostate Cancer With Bone Metastases: Lessons from Daily Practice. Clin. Nucl. Med. 2018, 43, 9–16. [Google Scholar] [CrossRef] [PubMed]
- McKay, R.R.; Jacobus, S.; Fiorillo, M.; Ledet, E.M.; Cotogna, P.M.; Steinberger, A.E.; Jacene, H.A.; Sartor, O.; Taplin, M.E. Radium-223 Use in Clinical Practice and Variables Associated With Completion of Therapy. Clin. Genitourin. Cancer 2017, 15, e289–e298. [Google Scholar] [CrossRef] [PubMed]
- Alva, A.; Nordquist, L.; Daignault, S.; George, S.; Ramos, J.; Albany, C.; Isharwal, S.; McDonald, M.; Campbell, G.; Danchaivijitr, P.; et al. Clinical Correlates of Benefit From Radium-223 Therapy in Metastatic Castration Resistant Prostate Cancer. Prostate 2017, 77, 479–488. [Google Scholar] [CrossRef] [PubMed]
- Saad, F.; Carles, J.; Gillessen, S.; Heidenreich, A.; Heinrich, D.; Gratt, J.; Lévy, J.; Miller, K.; Nilsson, S.; Petrenciuc, O.; et al. Radium-223 International Early Access Program Investigators. Radium-223 and Concomitant Therapies in Patients with Metastatic Castration-Resistant Prostate Cancer: An International, Early Access, Open-Label, Single-Arm Phase 3b Trial. Lancet Oncol. 1306. [Google Scholar]
- Hashimoto, K.; Miyoshi, Y.; Shindo, T.; Hori, M.; Tsuboi, Y.; Kobayashi, K.; Fukuta, F.; Tanaka, T.; Miyamoto, S.; Maehana, T.; et al. Dynamic Changes of Bone Metastasis Predict Bone-Predominant Status to Benefit from Radium-223 Dichloride for Patients with Castration-Resistant Prostate Cancer. Cancer Med. 2020, 9, 8579–8588. [Google Scholar] [CrossRef] [PubMed]
- Anand, A.; Trägårdh, E.; Edenbrandt, L.; Beckman, L.; Svensson, J.-H.; Thellenberg, C.; Widmark, A.; Kindblom, J.; Ullén, A.; Bjartell, A. Assessing Radiographic Response to 223Ra with an Automated Bone Scan Index in Metastatic Castration-Resistant Prostate Cancer Patients. J. Nucl. Med. 2020, 61, 671–675. [Google Scholar] [CrossRef] [PubMed]
- Miyoshi, Y.; Tsutsumi, S.; Yasui, M.; Kawahara, T.; Uemura, K.I.; Hayashi, N.; Nozawa, M.; Yoshimura, K.; Uemura, H.; Uemura, H. A Novel Prediction Model for the Completion of Six Cycles of Radium-223 Treatment and Survival in Patients with Metastatic Castration-Resistant Prostate Cancer. World J. Urol. 2021, 39, 3323–3328. [Google Scholar] [CrossRef] [PubMed]
- Frantellizzi, V.; Pani, A.; Ippoliti, M.D.; Farcomeni, A.; Aloise, I.; Colosi, M.; Polito, C.; Pani, R.; Vincentis, G. Scintigraphic Load of Bone Disease Evaluated by DASciS Software as a Survival Predictor in Metastatic Castration-Resistant Prostate Cancer Patients Candidates to 223RaCl Treatment. Radiol. Oncol. 2019, 54, 40–47. [Google Scholar] [CrossRef]
- Nakashima, K.; Makino, T.; Kadomoto, S.; Iwamoto, H.; Yaegashi, H.; Iijima, M.; Kawaguchi, S.; Nohara, T.; Shigehara, K.; Izumi, K.; et al. Initial Experience with Radium-223 Chloride Treatment at the Kanazawa University Hospital. Anticancer. Res. 2019, 39, 2607–2614. [Google Scholar] [CrossRef]
- Frantellizzi, V.; Monari, F.; Mascia, M.; Costa, R.; Rubini, G.; Spanu, A.; Di Rocco, A.; Lodi Rizzini, E.; Cindolo, L.; Licari, M.; et al. Validation of the 3-Variable Prognostic Score (3-PS) in mCRPC Patients Treated with 223Radium-Dichloride: A National Multicenter Study. Ann. Nucl. Med. 2020, 34, 772–780. [Google Scholar] [CrossRef] [PubMed]
- Buscombe, J.; Gillett, D.; Bird, N.; Powell, A.; Heard, S.; Aloj, L. Quantifying the Survival Benefit of Completing All Six Cycles of Radium-223 Therapy in Patients With Castrate-Resistant Prostate Cancer With Predominant Bone Metastases. World J. Nucl. Med. 2020, 20, 139–144. [Google Scholar] [CrossRef] [PubMed]
- Dadhania, S.; Alonzi, R.; Douglas, S.; Gogbashian, A.; Hughes, R.; Dalili, D.; Vasdev, N.; Adshead, J.; Lane, T.; Westbury, C.; et al. Single-centre experience of use of radium 223 with clinical outcomes based on number of cycles and bone marrow toxicity. Anticancer. Res. 2018, 38, 5423–5427. [Google Scholar] [CrossRef] [PubMed]
- Uemura, H.; Uemura, H.; Nagamori, S.; Wakumoto, Y.; Kimura, G.; Kikukawa, H.; Yokomizo, A.; Mizokami, A.; Kosaka, T.; Masumori, N.; et al. Three-year follow-up of a phase II study of radium-223 dichloride in Japanese patients with symptomatic castration-resistant prostate cancer and bone metastases. Int. J. Clin. Oncol. 2019, 24, 557–566. [Google Scholar] [CrossRef] [PubMed]
- Sasaki, D.; Hatakeyama, S.; Kawaguchi, H.; Hatayama, Y.; Ishibashi, Y.; Kusaka, A.; Noro, D.; Tanaka, T.; Ito, H.; Okuyama, Y.; et al. Effects of six-cycle completion and earlier use of radium-223 therapy on prognosis for metastatic castration-resistant prostate cancer: A real-world multicenter retrospective study. Urol. Oncol. Semin. Orig. Investig. 2022, 40, 64.e1–64.e8. [Google Scholar] [CrossRef] [PubMed]
- Cheng, S.; Arciero, V.; Goldberg, H.; Tajzler, C.; Manganaro, A.; Kozlowski, N.; Rowbottom, L.; McDonald, R.; Chow, R.; Vasisht, G.; et al. Population-based analysis of the use of radium-223 for bone-metastatic castration-resistant prostate cancer in Ontario, and of factors associated with treatment completion and outcome. Cancer Manag. Res. 2019, 11, 9307–9319. [Google Scholar] [CrossRef] [PubMed]
- Hurwitz, M.; Buscombe, J.R.; Jacene, H.A.; Klitzke, A.K.; Lamonica, D.; Lu, Y.; Pryma, D.A.; Rohren, E.M.; Speer, T.W.; Subramaniam, R.M.; et al. ACR-ACNM-ASTRO-SNMMI practice parameter for the performance of therapy with radium-223. Am. J. Clin. Oncol. 2020, 43, 539–544. [Google Scholar] [CrossRef]
- Wymenga, L.F.; Boomsma, J.H.; Groenier, K.; Piers, D.A.; Mensink, H.J. Routine bone scans in patients with prostate cancer related to serum prostate-specific antigen and alkaline phosphatase. BJU Int. 2001, 88, 226–230. [Google Scholar] [CrossRef]
- Ebrahim, T.; Hadebe, B.; Aldous, C.; Tinarwo, P.; Nyakale, N. Segmented linear correlations between bone scan index and prostate cancer biomarkers, alkaline phosphatase, and prostate specific antigen in patients with a Gleason score ≥7. Medicine 2022, 101, e29515. [Google Scholar] [CrossRef]








| Baseline quantitative variables | Mean ± IQR |
|---|---|
| Age (years) | 72.72 ± 8.50 |
| Baseline PSA (ng/ml) | 188.53 ± 913.94 |
| Baseline AP (U/l) | 176.78 ± 187.26 |
| Baseline LDH (U/l) | 400.46 ± 192.37 |
| SUVmax | 8.62 ± 5.37 |
| Average SUVmax | 6.82 ± 4.01 |
| Time variables | Median (Q1 – Q3) |
| Time of evolution of prostate cancer (months) | 62.50 (75.75 – 108.00) |
| Time of evolution of bone metastases (months) | 28.00 (20.00 – 48.00) |
| Time of castration resistance (months) | 21 (12.25–43.00) |
| Clinical characteristics | n and % |
|---|---|
| Gleason | |
| ≤ 7 | 46 |
| ≥ 8 | 45 |
| n.a. | 9 |
| Baseline AP | |
| Pathological | 37 |
| Normal | 53 |
| n.a. | 10 |
| Baseline LDH | |
| Pathological | 18 |
| Normal | 69 |
| n.a. | 13 |
| Bone events before to 223Ra | |
| Yes | 23 |
| No | 77 |
| Bone events during or after to 223Ra | |
| Yes | 26 |
| No | 74 |
| Bone protective treatment | |
| Yes | 90 |
| No | 10 |
| Death (*) | |
| Yes | 92 |
| No | 8 |
| Progression (*) | |
| Yes | 97 |
| No | 3 |
| Therapeutic failure | |
| Yes | 56 |
| No | 44 |
| ECOG performance status | |
| 0 | 70 |
| 1 | 27 |
| 2 | 3 |
| Enzalutamide before to 223Ra | |
| Yes | 42 |
| No | 58 |
| Abiraterone before to 223Ra | |
| Yes | 66 |
| No | 34 |
| ChT (**) | |
| First line Docetaxel | 71 |
| 2nd line ChT | 21 |
| Xofigo line | |
| 1 | 3 |
| 2 | 20 |
| 3 | 57 |
| 4 | 13 |
| 5 | 6 |
| 7 | 1 |
| PSA progression during 223Ra | |
| Yes | 70 |
| No | 27 |
| n.a. | 3 |
| PSA progression during 223Ra (detailed 1) | |
| First 3 months | 54 |
| 4-6 dose | 16 |
| n.a. | 30 |
| PSA progression during 223Ra (detailed 2) | |
| First 3 months | 54 |
| Rest | 43 |
| n.a. | 3 |
| Baseline imaging characteristics | n and % |
|---|---|
| Lesion localization on BS | |
| Axial | 39 |
| Axial and other | 60 |
| n.a. | 1 |
| Number of BM on BS | |
| Oligomts ≤5 | 27 |
| Polimts >5 | 72 |
| n.a. | 1 |
| Extent of BM on BS | |
| 1-5 lesions | 27 |
| 6-20 lesions | 35 |
| >20 lesions | 30 |
| Superscan | 7 |
| n.a. | 1 |
| High tumour burden on BS | |
| Yes | 61 |
| No | 38 |
| n.a. | 1 |
| Lesion localisation on FCH PET/CT | |
| Axial | 39 |
| Axial and other | 48 |
| n.a. | 13 |
| Number of BM on FCH PET/CT | |
| Oligomts ≤5 | 27 |
| Polimts >5 | 60 |
| n.a. | 13 |
| Extent of BM on FCH PET/CT | |
| 1-5 lesions | 27 |
| 6-20 lesions | 33 |
| >20 lesions | 21 |
| Superscan | 6 |
| n.a. | 13 |
| High tumour burden on FCH PET/CT | |
| Yes | 48 |
| No | 39 |
| n.a. | 13 |
| BM characteristics on CT (*) | |
| Osteoblastic | 56 |
| Osteolitic | 12 |
| Mixed | 19 |
| n.a. | 13 |
| Soft tissue involvement on FCH PET/CT | |
| Yes | 19 |
| No | 68 |
| n.a. | 13 |
| Concordance BS/ FCH PET/CT | |
| Good | 58 |
| Moderate | 12 |
| Bad | 16 |
| n.a. | 14 |
| A pattern on BS/ FCH PET/CT | |
| 1 (predominant metabolic activity) | 22 |
| 2 (predominant osteogenic activity) | 54 |
| 3 (similar uptake in both) | 10 |
| n.a. | 14 |
| B pattern (bone marrow involvement on BS) | |
| Yes | 23 |
| No | 76 |
| n.a. | 1 |
| C pattern (bone marrow involvement on FCH PET/CT) | |
| Yes | 18 |
| No | 69 |
| n.a. | 13 |
| D pattern (FCH PET/CT uptake) | |
| 1 (higher than liver) | 45 |
| 2 (lower than liver) | 42 |
| n.a. | 13 |
| Interim FCH PET/CT | |||||||||
|---|---|---|---|---|---|---|---|---|---|
| PR | S | P | |||||||
|
Interim BS (n=63) |
PR | 1 | 0 | 1 | |||||
| S | 7 | 16 | 14 | ||||||
| P | 1 | 2 | 21 | ||||||
| End-treatment FCH PET/CT | |||||||||
| CR | PR | E | P | ||||||
| End-treatment BS (n=38) | PR | 1 | 0 | 2 | 1 | ||||
| E | 1 | 1 | 14 | 12 | |||||
| P | 0 | 0 | 1 | 5 | |||||
| Variables | χ² | p value |
|---|---|---|
| Clinical and disease characteristics before 223Ra | ||
| Bone events before to 223Ra (categorical) | 1.030 | 0.310 |
| Gleason | 3.438 | 0.931 |
| Gleason (categorical) | 0.566 | 0.452 |
| ECOG | 6.188 | 0.038 |
| Prostatectomy (radical prostate cancer treatment) | 4.386 | 0.036 |
| RT (radical prostate cancer treatment) | 0.230 | 0.632 |
| Enzalutamide (before to 223Ra) | 0.038 | 0.845 |
| Abiraterone (before to 223Ra) | 0.167 | 0.683 |
| Docetaxel (before to 223Ra) | 0.114 | 0.736 |
| 2nd line ChT (before to 223Ra) | 0.376 | 0.540 |
| Xofigo line | 3.797 | 0.620 |
| PSA progression during 223Ra | 19.378 | < 0.001 |
| PSA progression during 223Ra detailed 1 (i) | 5.145 | 0.023 |
| PSA progression during 223Ra detailed 2 (ii) | 18.564 | < 0.001 |
| Baseline AP | 4.735 | 0.030 |
| Baseline LDH | 4.247 | 0.039 |
| Clinical and disease characteristics after 223Ra | ||
| Bone events during or after to 223Ra (categorical) | 0.410 | 0.840 |
| Bone protective treatment (categorical) | 5.213 | 0.040 |
| Death (during follow up) | 11.335 | < 0.001 |
| Progression (during follow up) | 2.43 | 0.253 |
| PFS (≤6 months vs >6 months) | 23.522 | < 0.001 |
| OS (≤12 months vs >12 months) | 18.446 | < 0.001 |
| Baseline imaging techniques results | ||
| BM location on BS | 2.304 | 0.129 |
| Number of BM on BS | 3.300 | 0.069 |
| Extent of BM on baseline BS | 4.637 | 0.205 |
| High tumor burden of BM on BS | 1.674 | 0.196 |
| BM location on FCH PET/CT | 6.584 | 0.010 |
| Number of BM on FCH PET/CT | 10.321 | 0.001 |
| Extent of BM on baseline FCH PET/CT | 14.998 | 0.001 |
| BM characteristics on CT portion of FCH PET/CT | 7.299 | 0.025 |
| BM characteristics on CT portion FCH PET/CT (categorical) (iii) | 7.016 | 0.008 |
| Soft tissue involvement | 4.141 | 0.042 |
| Concordance BS/ FCH PET/CT (iv) | 1.729 | 0.421 |
| A pattern (BS vs FCH PET/CT) | 3.972 | 0.146 |
| B pattern (BS) | 0.343 | 0.558 |
| C pattern (FCH PET/CT) | 3.434 | 0.064 |
| D pattern (FCH PET/CT) | 8.318 | 0.004 |
| Variables | χ² | p value | |||
|---|---|---|---|---|---|
| Patient and clinical characteristics before 223Ra | |||||
| Bone events before to 223Ra (yes/no) | 1.198 | 0.274 | |||
| Bone events before to 223Ra (type) | 8.473 | 0.029 | |||
| Gleason | 7.450 | 0.395 | |||
| ECOG | 2.422 | 0.375 | |||
| 223Ra line | 3.624 | 0.651 | |||
| PSA progression during 223Ra | 0.498 | 0.480 | |||
| PSA progression during 223Ra detailed 1 | 0.048 | 1.000 | |||
| PSA progression during 223Ra detailed 2 | 0.256 | 0.613 | |||
| Baseline AP | 1.455 | 0.228 | |||
| Baseline LDH | 0.164 | 0.759 | |||
| Clinical and disease characteristics after 223Ra | |||||
| Aditional treatments (categorical) | 2.157 | 0.225 | |||
| Additional treatments (lines number) | 18.544 | 0.001 | |||
| Additional treatment (Abiraterone) | 3.835 | 0.050 | |||
| Additional treatment (Enzalutamide) | 1.127 | 0.288 | |||
| Additional treatment (ChT) | 5.963 | 0.058 | |||
| Bone protective treatment (categorical) | 0.092 | 1.000 | |||
| Bone protective treatment (descriptive) | 2.816 | 0.250 | |||
| Bone protective treatment (moment) | 1.117 | 0.771 | |||
| Death during follow-up | 0.851 | 0.449 | |||
| Progression during follow-up | 0.086 | 1.000 | |||
| PFS (≤6 months vs >6 months) | 0.837 | 0.360 | |||
| OS (≤12 months vs >12 months) | 7.787 | 0.005 | |||
| Baseline imaging techniques | |||||
| BM location on BS | 0.013 | 0.910 | |||
| Number of BM on BS | 0.217 | 0.641 | |||
| Extent of BM on baseline BS | 0.316 | 0.972 | |||
| BM high tumour burden on BS | 0.000 | 0.992 | |||
| BM on FCH PET/CT | 3.253 | 0.071 | |||
| Number of BM on FCH PET/CT | 0.205 | 0.651 | |||
| Extent of BM on FCH PET/CT | 1.270 | 0.752 | |||
| BM high tumour burden on FCH PET/CT | 5.256 | 0.022 | |||
| BM characteristics on CT portion of FCH PET/CT (descriptive) | 4.036 | 0.134 | |||
| BM characteristics on CT portion of FCH PET/CT (categorical) | 0.368 | 0.618 | |||
| Soft tissue involvement on FCH PET/CT (categorical) | 1.417 | 0.234 | |||
| Soft tissue involvement of FCH PET/CT (descriptive) | 1.273 | 0.718 | |||
| Concordance BS/ FCH PET/CT 1 | 0.842 | 0.622 | |||
| Concordance BS/ FCH PET/CT 2 | 0.031 | 1.000 | |||
| A pattern (BS vs FCH PET/CT) | 1.674 | 0.457 | |||
| B pattern (BS) | 1.218 | 0.270 | |||
| C pattern (FCH PET/CT) | 5.088 | 0.033 | |||
| D pattern (FCH PET/CT) | 3.594 | 0.058 | |||
| Interim imaging techniques | |||||
| Interim BS response | 0.105 | 0.904 | |||
| Interim BS response (categorical) | 0.101 | 0.751 | |||
| Interim FCH PET/CT response | 0.115 | 1.000 | |||
| Interim FCH PET/CT response (categorical) | 0.028 | 0.867 | |||
| Progression localisation | 2.856 | 0.463 | |||
| Concordance BS/ FCH PET/CT 1 | 0.523 | 0.768 | |||
| Concordance BS/ FCH PET/CT 2 | 0.651 | 0.522 | |||
| End-treatment imaging techniques | |||||
| End-treatment BS response | 3.288 | 0.213 | |||
| End-treatment BS response | 1.081 | 0.427 | |||
| End-treatment FCH PET/CT response | 3.934 | 0.287 | |||
| End-treatment FCH PET/CT response | 2.438 | 0.155 | |||
| Progression location | 2.526 | 0.906 | |||
| Concordance BS/ FCH PET/CT 1 | 0.891 | 0.646 | |||
| Concordance BS/ FCH PET/CT 2 | 0.107 | 1.000 | |||
| Variables | HR | 95% CI of HR | p value |
|---|---|---|---|
| Doses of 223Ra (number) | 0.699 | 0.606-0.807 | < 0.001 |
| Patient age | 1.005 | 0.981-1.030 | 0.666 |
| Time from diagnosis of pCa to 223Ra | 0.122 | 0.995-1.003 | 0.727 |
| Time of evolution of BM to 223Ra | 0.999 | 0.993-1.007 | 0.925 |
| Time of CRPC to 223Ra | 1.003 | 0.994-1.012 | 0.479 |
| Baseline PSA | 1.000 | 1.0001-1.0004 | 0.028 |
| Baseline AP | 1.002 | 1.001-1.004 | < 0.001 |
| Baseline LDH | 1.000 | 0.999-1.001 | 0.511 |
| SUVmax | 1.049 | 1.006-1.092 | 0.023 |
| Average SUVmax | 1.070 | 1.012-1.132 | 0.017 |
| Variables | Median (mo) | χ² | p value | |
|---|---|---|---|---|
| Bone events before to 223Ra | Yes | 16 | 0.022 | 0.883 |
| No | 13 | |||
| Bone events during or after to 223Ra | Yes | 19 | 4.998 | 0.025 |
| No | 12 | |||
| Any treatments after 223Ra | Yes | 14 | 25.699 | < 0.001 |
| No | 5 | |||
| Abiraterone after 223Ra | Yes | 23 | 6.614 | 0.010 |
| No | 13 | |||
| Enzalutamide after 223Ra | Yes | 23 | 11.312 | <0.001 |
| No | 13 | |||
| Bone protective treatment | Yes | 14 | 0.113 | 0.737 |
| No | 14 | |||
| Bone protective treatment (Denosumab) | Zolendronic | 16 | 4.228 | 0.040 |
| Both | 8 | 0.329 | 0.566 | |
| Bone protective treatment (Zolendronic) | Denosumab | 13 | 4.228 | 0.040 |
| Both | 8 | 1.506 | 0.220 | |
| Therapeutic failure | Yes | 8 | 29.1 | < 0.001 |
| No | 21 | |||
| Gleason (categorical) | ≥ 8 | 14 | 0.036 | 0.850 |
| Rest | 14 | |||
| ECOG 0 | 1 | 9 | 4.253 | 0.039 |
| 2 | 5 | 23.337 | <0.001 | |
| ECOG 1 | 2 | 5 | 3.874 | 0.049 |
| Enzalutamide before to 223Ra | Yes | 10 | 1.081 | 0.299 |
| No | 16 | |||
| Abiraterone before to 223Ra | Yes | 13 | 2.663 | 0.103 |
| No | 18 | |||
| 2nd line ChT before to 223Ra | Yes | 9 | 0.119 | 0.730 |
| No | 14 | |||
| 1st Docetaxel before to 223Ra | Yes | 14 | 0.958 | 0.328 |
| No | 14 | |||
| 223Ra line 1 | 2 | 15 | 4.168 | 0.041 |
| 3 | 11 | 0.851 | 0.356 | |
| 4 | 14 | 0.243 | 0.622 | |
| 5 | 7 | 5.279 | 0.022 | |
| 7 | 8 | 3.000 | 0.083 | |
| 223Ra line 2 | 3 | 11 | 0.051 | 0.821 |
| 4 | 14 | 0.563 | 0.453 | |
| 5 | 7 | 5.171 | 0.023 | |
| 7 | 8 | 3.725 | 0.054 | |
| 223Ra line 3 | 4 | 14 | 0.766 | 0.381 |
| 5 | 7 | 1.715 | 0.190 | |
| 7 | 8 | 0.551 | 0.458 | |
| 223Ra line 4 | 5 | 7 | 3.208 | 0.073 |
| 7 | 8 | 1.548 | 0.213 | |
| 223Ra line 5 | 7 | 8 | 0.141 | 0.707 |
| 223Ra line (categorical 1) | First 3 | 14 | 0.015 | 0.902 |
| 4rd and beyond | 11 | |||
| 223Ra line (categorical 2) | First 2 | 19 | 0.360 | 0.549 |
| 3rd and beyond | 11 | |||
| PSA progression during 223Ra | Yes | 12 | 8.508 | 0.004 |
| No | 19 | |||
| PSA progression detailed 1 | A | 12 | 0.122 | 0.726 |
| B | 11 | |||
| PSA progression detailed 2 | A | 12 | 5.693 | 0.017 |
| C | 16 | |||
| Baseline AP | Pathological | 8 | 12.581 | < 0.001 |
| Normal | 15 | |||
| Baseline LDH | Pathological | 8 | 4.526 | 0.033* |
| Normal | 14 | |||
| Baseline imaging variables | Median (mo) | χ² | p value | |
|---|---|---|---|---|
| BM location on BS | Axial | 15 | 1.414 | 0.234 |
| Axial and other | 11 | |||
| BM number on BS | Oligometastatic | 17 | 2.534 | 0.111 |
| Polimetastasic | 11 | |||
| Number of BM on BS (1-5 lesions) | 6-20 lesions | 13 | 0.715 | 0.398 |
| > 20 lesions | 8 | 3.454 | 0.063 | |
| Superscan | 5 | 2.531 | 0.112 | |
| Number of BM on BS (6-20 lesions) | > 20 lesions | 8 | 1.289 | 0.256 |
| Superscan | 5 | 0.703 | 0.402 | |
| Number of BM on BS (> 20 lesions) | Superscan | 5 | 0.117 | 0.732 |
| High burden of BM on BS | Yes | 11 | 1.691 | 0.193 |
| No | 16 | |||
| BM location on FCH PET/CT | Axial | 21 | 14.769 | < 0.001 |
| Axial and other | 8 | |||
| Number of BM on FCH PET/CT | Oligometastatic | 18 | 4.814 | 0.028 |
| Polimetastasic | 10 | |||
| Number of BM on FCH PET/CT (1-5) | 6-20 | 13 | 1.215 | 0.270 |
| > 20 | 8 | 7.259 | 0.007 | |
| Superscan | 5 | 16.751 | <0.001 | |
| Number of BM on FCH PET/CT (6 -20) | > 20 | 8 | 3.577 | 0.059 |
| Superscan | 5 | 9.494 | 0.002 | |
| Number of BM on FCH PET/CT (> 20) | Superscan | 5 | 2.081 | 0.149 |
| FCH PET/CT high tumour burden of BM | Yes | 9 | 9.016 | 0.003 |
| No | 18 | |||
| BM characteristics (i) on CT (osteoblastic) | Osteolytic | 13 | 0.196 | 0.658 |
| Mixed | 9 | 3.944 | 0.047 | |
| BM characteristics on CT (osteolytic) | Mixed | 9 | 0.953 | 0.329 |
| BM characteristics on CT (categorical) | Osteoblastic | 14 | 2.620 | 0.106 |
| Rest | 12 | |||
| Soft tissue involvement on FCH PET/CT | Yes | 7 | 3.911 | 0.048 |
| No | 14 | |||
| BS/PET concordance (good) | Moderate | 8 | 4.988 | 0.026 |
| Bad | 13 | 0.896 | 0.344 | |
| BS/PET concordance (moderate) | Bad | 13 | 5.211 | 0.022 |
| A pattern | Osteogenic activity predominance | 15 | 3.718 | 0.054 |
| Similar uptake | 7 | 0.193 | 0.660 | |
| A pattern | Similar uptake | 7 | 0.879 | 0.348 |
| B pattern | Yes | 7 | 2.626 | 0.105 |
| No | 14 | |||
| C pattern | Yes | 5 | 27.266 | < 0.001 |
| No | 14 | |||
| D pattern | Higher than liver | 9 | 13.170 | < 0.001 |
| Lower than liver | 18 | |||
| Variables | Median (mo) | χ² | p value | |
|---|---|---|---|---|
| Interim imaging techniques | ||||
| BS interim response (partial response, 12 mo) | Stability | 17 | 0.018 | 0.892 |
| Progression | 13 | 0.836 | 0.361 | |
| BS interim response (stability) | Progression | 13 | 8.723 | 0.003 |
| BS interim response categorical | No progression | 15 | 8.371 | 0.004 |
| Progression | 13 | |||
| Interim PET response (partial response, 21 mo) | Stability | 23 | 0.011 | 0.917 |
| Progression | 11 | 7.044 | 0.008 | |
| Interim PET response (stability) | Progression | 11 | 13.759 | <0.001 |
| Interim PET response categorical | No progression | 23 | 17.026 | < 0.001 |
| Progression | 11 | |||
| Interim PET progression (bone, 8 mo) | Adenopathic | 14 | 1.543 | 0.214 |
| Bone and adenopathic | 14 | 0.420 | 0.517 | |
| Bone and visceral | 9 | 0.066 | 0.797 | |
| Interim PET progression (adenopathic) | Bone and adenopathic | 14 | 0.347 | 0.556 |
| Bone and visceral | 9 | 0.656 | 0.418 | |
| Interim PET progression (bone and adenopathic) | Bone and visceral | 9 | 1.101 | 0.294 |
| End-treatment images techniques | ||||
| End-treatment BS response (partial response 23 mo) | Stability | 21 | 0.005 | 0.946 |
| Progression | 16 | 2.598 | 0.107 | |
| End-treatment BS response (stability) | Progression | 16 | 2.944 | 0.086 |
| End-treatment BS response categorical | No progression | 23 | 3.470 | 0.063 |
| Progression | 16 | |||
| End-treatment PET response (complete response, 24 mo) | Partial response | 34 | 0.059 | 0.808 |
| Stability | 17 | 0.128 | 0.720 | |
| Progression | 19 | 0.553 | 0.457 | |
| End-treatment PET response (partial response) | Stability | 17 | 0.089 | 0.765 |
| Progression | 19 | 0.373 | 0.542 | |
| End-treatment PET response (stability) | Progression | 19 | 0.264 | 0.607 |
| End-treatment PET response categorical | No progression | 23 | 1.327 | 0.249 |
| Progression | 18 | |||
| End-treatment PET progression (bone, 15 mo) | Adenopathic | 18 | 0.022 | 0.883 |
| Visceral | 10 | 2.762 | 0.097 | |
| Bone and adenopathic | 19 | 1.185 | 0.276 | |
| Bone and visceral | 47 | 2.166 | 0.141 | |
| End-treatment PET progression (adenopathic) | Visceral | 10 | 3.000 | 0.083 |
| Bone and adenopathic | 19 | 1.182 | 0.277 | |
| Bone and visceral | 47 | 1.779 | 0.182 | |
| End-treatment PET progression (visceral) | Bone and adenopathic | 19 | 2.000 | 0.157 |
| Bone and visceral | 47 | 1.000 | 0.317 | |
| End-treatment PET progression (bone and adenopathic) | Bone and visceral | 47 | 1.471 | 0.225 |
Disclaimer/Publisher’s Note: The statements, opinions and data contained in all publications are solely those of the individual author(s) and contributor(s) and not of MDPI and/or the editor(s). MDPI and/or the editor(s) disclaim responsibility for any injury to people or property resulting from any ideas, methods, instructions or products referred to in the content. |
© 2024 by the authors. Licensee MDPI, Basel, Switzerland. This article is an open access article distributed under the terms and conditions of the Creative Commons Attribution (CC BY) license (http://creativecommons.org/licenses/by/4.0/).