Submitted:
10 July 2024
Posted:
11 July 2024
You are already at the latest version
Abstract

Keywords:
1. Introduction
2. Results and Discussion
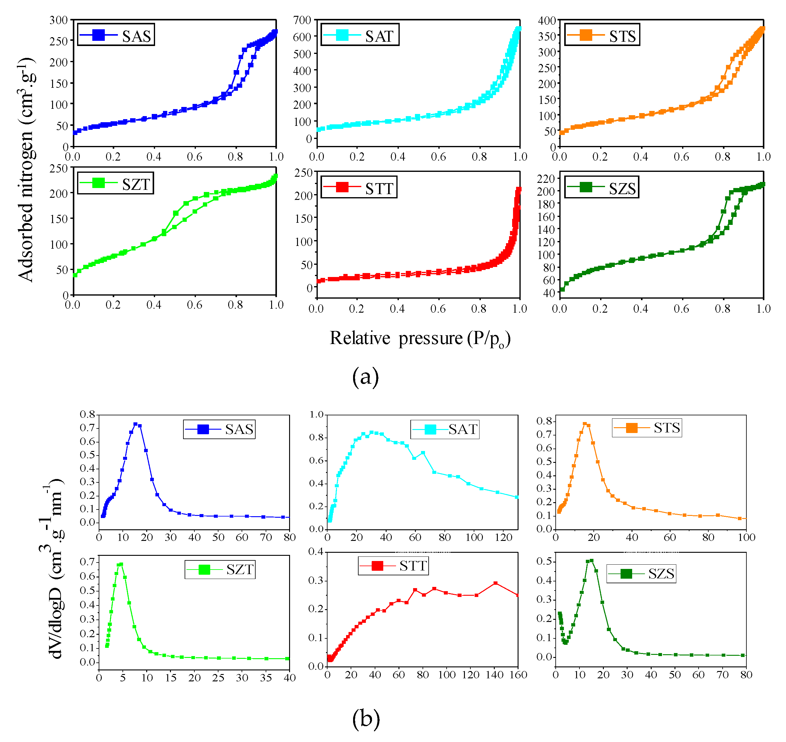
2.1. Morphological Features
2.2. Textural Properties
2.3. Structural and Electronic Properties
2.4. Catalytic Evaluation in Esterification of Glycerol
3. Materials and Methods
3.1.1. Silica-Based Sphere Synthesis (S)
3.1.2. Silica-Seed Assisted Zeolite Synthesis (NZ-SMT)
3.2. Characterizations
3.3. Catalytic Evaluation in EG Reaction
4. Conclusions
Supplementary Materials
Author Contributions
Funding
Data Availability Statement
Acknowledgments
Conflicts of Interest
References
- Sharma, R. K. ; Sharma, S.; Dutta, S. ; Zboril, R.; Gawande, M. B.; Silica-nanosphere-based organic–inorganic hybrid nanomaterials: synthesis, functionalization and applications in catalysis, Green Chem. 2015, 17, 3207-3230.
- Velty, A.; Corma, A. Advanced zeolite and ordered mesoporous silica-based catalysts for the conversion of CO2 to chemicals and fuels, Chem. Soc. Rev., 2023, 52, 1773–1946. [Google Scholar] [CrossRef] [PubMed]
- Zhang, X.; Wei, J.; Zhang, X.;Fabrication of Hollow Silica Nanospheres with Ultra-High Acid Density for Efficient Heterogeneous Catalysis, Catalysts 2019, 9(5), 481.
- Gobar, H.M.; Hassan, S. A.; Betiha, M. A; The interaction characteristics controlling dispersion mode-catalytic functionality relationship of silica modified montmorillonite anchored Ni nanoparticles in petrochemical processes, Mater. Chem. Phys. 2016, 181, 476486.
- Holm, M. S. Taarning, E.; K. Egeblad, C.H. Christensen,Catalysis with hierarchical zeolites, Catal. Today, 2011, 168, 3-16.
- Liu, K.; Zeng, Y.; Han , L.; Che, S.; Synthesis of a zeolite@mesoporous silica composite to improve the low-frequency acoustic performance of a miniature loudspeaker system, Dalton Trans., 2024, 53, 4764-4771.
- Wang, P.; Xiao,X.; Pan, Y.;Zhao, Z.; Jiang, G.; Zhang, Z.; Meng,F.; Li,Y.; Fan ,X.; Kong, L.; Xie, Z.; Facile Synthesis of Nanosheet-Stacked Hierarchical ZSM-5 Zeolite for Efficient Catalytic Cracking of n-Octane to Produce Light Olefins,Catalysts 2022, 12(3), 351.
- Shestakova, D. O.; Babina, K.A.; Sladkovskiy, D.A.; Parkhomchuk, E.V. ; Seed-assisted synthesis of hierarchical zeolite ZSM-5 in the absence of organic templates,Mater. Chem. Phys. 2022, 288, 126432. [Google Scholar]
- Zhu, Z.; Wu, P.; Xu, H.; Micro-Mesoporous Metallosilicates: Synthesis, Characterization, and Catalytic Applications (2024), Wiley, chap 3,https://doi.org/10.1002/9783527839384.ch3. [CrossRef]
- Pashkova, V.; Tokarova, V.; Brabec, L.; Dedecek, J. Self-templating synthesis of hollow spheres of zeolite ZSM-5 from spray-dried aluminosilicate precursor,Micropor. Mesop. Mater. 2016, 228, 59–63. [Google Scholar] [CrossRef]
- Yu, L.; Xu, C.; Zhou, Q.; Fu, X.; Liang, Y.; Wang, W. Facile synthesis of hierarchical porous ZSM-5 zeolite with tunable mesostructure and its application in catalytic cracking of LDPE, J. Alloys Compound 2023, 965, 171454. [Google Scholar] [CrossRef]
- Wang,Y.; Li,Z.; Dai, C.; Du,N.; Li,T.; Wang ,R.; Peng ,P.; Sun, H.; Zn-P Co-Modified Hierarchical ZSM-5 Zeolites Directly Synthesized via Dry Gel Conversion for Enhanced Methanol to Aromatics Reaction, Catalysts 2021, 11(11), 1328.
- Biriaei, R.; Nohair, B.; Kaliaguine, s. A facile route to synthesize mesoporous ZSM-5 with hexagonal arrays using P123 triblock copolymer,Microp. Mesop.Mater. 2020, 298, 110067. [Google Scholar] [CrossRef]
- Dai, D.; Zhang, Y.; Zhao, T.; Liu, D.; Feng, C.; Liu, Y. In-situ hydrothermal synthesis of Al-rich Cu@ZSM-5 catalyst for furfuryl alcohol upgrading to pentanediols,Mol. Catal. 2023, 547, 113381. [Google Scholar]
- Dixit, C.K.; Bhakta, S.; Kumar, A.; Suiba, S.L.; Rusling, J. F.; Fast nucleation for silica nanoparticle synthesis using a sol–gel method, Nanoscale, 2016,8 19662.
- Owens, G.J.; Singh, R. K.; Foroutan, F.; Alqaysi, M.; Han, C.-M.; Mahapatra, C.; Kim, H.-W.; Knowles, J. C. Sol–gel based materials for biomedical applications, Progress Mater. Sci. 2016, 77, 1–79. [Google Scholar]
- Yashnik, S. A.; Taran, O.P.; Surovtsova, T. A.; Ayusheev, A. B.; Parmon, V. N. Cu- and Fe-substituted ZSM-5 zeolite as an effective catalyst for wet peroxide oxidation of Rhodamine 6 G dye,J. Environm. Chem. Eng. 2022, 10, 107950. [Google Scholar] [CrossRef]
- Xie, Y.; Huang, Y.; Wu, C.; Yuan, W.; Xia, Y.; Liu, X.; Wang, H. Iron-based metalloporphyrins as efficient catalysts for aerobic oxidation of biomass derived furfural into maleic acid, Mol. Catal. 2018, 452, 20–27. [Google Scholar]
- Pirzadi, Z.; Meshkani, F.; From glycerol production to its value-added uses: A critical review, Fuel, 2022, 329,125044.
- Carmo, J.V.; Bezerra, R.C. F.; Tehuacanero-Cuapa, S.; Rodríguez-Aguado, E.; Lang, R.; Campos, A. F.; Duarte, G.; Saraiva, G. D.; Otubo, L.; Oliveira, A.C.; Rodríguez-Castellón, E.; Synthesis of tailored alumina supported Cu-based solids obtained from nanocomposites: Catalytic application for valuable aldehyde and ketones production, Mater. Chem. Phys., 2022,292, 126800.
- Sudarsanam, P.; Peeters, E.; Makshina, E.V.; Parvulescu, V. I. ; Sels, B. F.; Advances in porous and nanoscale catalysts for viable biomass conversion, Chem. Soc. Rev., 2019, 48, 2366-2421.
- Mota, G.; Carmo, J.V.; Paz, C.B.; Saraiva, G.D.; Campos, A.; Duarte, G.; Filho, E.C.S.; Oliveira, A.C.; .Soares, J.M; Rodríguez-Castellón, E.; Rodríguez-Aguado, E. Influence of the Metal Incorporation into Hydroxyapatites on the Deactivation Behavior of the Solids in the Esterification of Glycerol. Catalysts, 2022; 12, 10. [Google Scholar]
- Bezerra, R C.F.; Mota, G.; Vidal, R.M. B.; Saraiva, G. D.; Oliveira, A. C.; Castro, A. J.R.; Araújo, R. S.; Rodríguez-Aguado, E.;Jiménez-Jiménez, J.; Rodríguez-Castellón, E. Multifunctional properties of alumina-based graphene nanocomposites as catalysts for esters of glycerol production, Mol.Catal., 2023, 548,113427.
- Bertoldo, G.M.; Oliveira, A. C.; Saraiva, G. D.; Jucá, R.; da Silva Filho, J.G.; Rodríguez-Aguado, E.; Jiménez-Jiménez, J.; Rodríguez-Castellón, E.;Metal-doped niobate pyrochlores and double-perovskites for glycerol valorization: structural and electronic properties and DFT calculations, Dalton Trans., 2024,53,9139-9150.
- Tonutti, L. G.; Decolatti, H. P.; Querini, C. A.; Dalla Costa, B.O. ; Hierarchical H-ZSM-5 zeolite and sulfonic SBA-15: The properties of acidic H and behavior in acetylation and alkylation reactions. Microp.Mesop.Mater. 2020, 305, 110284. [Google Scholar] [CrossRef]
- So, J.-H; Bae, S. H.; Yang,S. M.; Kim, D. H. ;Preparations of Silica Slurry for Wafer Polishing via Controlled Growth of Commercial Silica Seeds, Korean.J. Chem. Eng., 2001,18, 547-554.
- Gosiamemang, T.; Heng, J.Y.Y.; Sodium hydroxide catalysed silica sol-gel synthesis: Physicochemical properties of silica nanoparticles and their post-grafting using C8 and C18 alkyl-organosilanes, Powder Technol. 2023,417,118237.
- Zulfiqar, U.; Subhani, T.; Husain, S. W.; Synthesis of silica nanoparticles from sodium silicate under alkaline conditions, J. Sol-Gel Sci. Technol. 2016,77,753–758.
- Saha, A.; Narula, K.; Mishra, P.; Biswas, G.; Bhakta, S. ;A facile cost-effective electrolyte-assisted approach and comparative study towards the Greener synthesis of silica nanoparticles, Nanoscale Adv. , 2023, 5, 1386–1396. [Google Scholar]
- Saenluang, K.; Imyen, T.; Wannapakdee, W.; Suttipat, D.; Dugkhuntod, P.; Ketkaew, M.; Thivasasith, A.; Wattanakit, C. Hierarchical Nanospherical ZSM-5 Nanosheets with Uniform Al Distribution for Alkylation of Benzene with Ethanol,ACS Appl. Nano Mater. 2020, 3-4, 3252–3263. [Google Scholar]
- Chen, L.H.; Sun, M.-H.; .Wang, Z.; Yang, W.; Xie, Z.; Su, B.-L. Hierarchically Structured Zeolites: From Design to Application. Chem. Rev. 2020, 120, 11194–11294. [Google Scholar] [CrossRef] [PubMed]
- Hamidzadeh, M.; Komeili, S.; Saeidi, M. Seed-induced synthesis of ZSM-5 aggregates using the Silicate-1 as a seed: Characterization and effect of the Silicate-1 composition,Micropor. Mesopor.Mater. 2018, 268, 153–161. [Google Scholar] [CrossRef]
- Alves, N. F.; Neto, A.B.S.; Bessa, B.S.; Oliveira, A.C.; Filho J.M.; Campos, A.F.; Oliveira:,A.C.; Binary oxides with defined hierarchy of pores in the esterification of glycerol. Catalysts 2016, 6,151.
- Nguyen, H.; Ibanez, Salaun, A.; M.; Kodjikian, S.;Trens, P.; Synthesis and properties of porous ester-silica nanoparticles. Micropor.Mesopor.Mater., 2021 317,110991.
- Zhang, H.; Wu, J.; Zhou, L.; Zhang, D. ; Qi, L.; Facile Synthesis of Monodisperse Microspheres and Gigantic Hollow Shells of Mesoporous Silica in Mixed Water−Ethanol Solvents, Langmuir 2007, 23,1107–1113.
- Razavian, M.; Fatemi, S. ;Synthesis and evaluation of seed-directed hierarchical ZSM-5 catalytic supports: Inductive influence of various seeds and aluminosilicate gels on the physicochemical properties and catalytic dehydrogenative behavior,Mater. Chem. Phys. 2015, 165, 55–65. [Google Scholar] [CrossRef]
- Zhang, X.; Zhang, X.; Graham, T. R.; Pearce, C. I.; Mehdi, B. L.; N’Diaye, A. T.; Kerisit, S.; Browning, N. D.; Clark, S. B.; Rosso, K. M.; Cryst.Growth Des. 2017,17,12, 6801-6808.
- Kim, H.-I.; Lee, S.K. Probing the transformation paths from aluminum (oxy)hydroxides (boehmite, bayerite, and gibbsite) to metastable alumina: A view from high-resolution 27Al MAS NMR, Am. Min. 2021. 106,3,389-403. [Google Scholar] [CrossRef]
- Carmo, J. V.C.; Oliveira, A. C.; Araujo, J. C.S.; Campos, A.; Duarte, G.C.S. Synthesis of highly porous alumina-based oxides with tailored catalytic properties in the esterification of glycerol. J. Mater. Research 2018, 1, 1–9. [Google Scholar]
- Verma, S.; Rani, S.; Kumar, S. Appl. Phys. A, Mater. Sci Process. 2018,124,5, 1-14.
- Kumari, N.; Sareen, S.; Verma, M.; Sharma, S.; Sharma, A.; Sohal, H. S.; Mehta, S. K.; Park, J.; Mutreja, V. Zirconia-based nanomaterials: recent developments in synthesis and applications, Nanoscale Adv. , 2022, 4, 4210–4236. [Google Scholar]
- Zachariou, A.; Hawkins, A.P. ; Howe, R. F; Skakle, J.M. S.; Barrow, N.;.Collier, P;;Nye, D.W.; Smith, R. I.; Stenning, G. B. G. S. F. Parker, D.Lennon, Counting the Acid Sites in a Commercial ZSM-5 Zeolite Catalyst, ACS Phys. Chem Au 2023,3, 1, 74–83.
- Cheng, P.; Song, M.; Zhang, H.; Xuan, Y.; Wu, C. Accelerated synthesis of zeolites via radicalized seeds, J. Mater. Sci. 2019, 54, 4573–4578. [Google Scholar] [CrossRef]
- Fabbiani, M.; Al-Nahari, S.; Piveteau, L.; Dib, E.; Veremeienko, V.; Gaje, A.; Dumitrescu, D. G.; Gaveau, P.; Mineva, T.; Massiot, D.; van der Lee, A.; Haines, J.; Alonso, B. Host-Guest Silicalite-1 Zeolites: Correlated Disorder and Phase Transition Inhibition by a Small Guest Modification. Chem.Mater., 2022, 34, 366–387. [Google Scholar] [CrossRef]
- Treacy, M.M.J.; Higgins, J.B.; von Ballmoos, R.; Collection of Simulated XRD Powder Patterns for Zeolites, Elsevier, 2007, p. 524. doi.org/10.1016/B978-0-444-53067-7.X5470-7.
- Ravishankar, R.; Kirschhock, C.; Schoeman, B. J.; Vanoppen, P.; Grobet, P. J.; Storck, S.; Maier, W. F.; Martens, J.A.; De Schryver, F. C.; Jacobs, P.A. Physicochemical Characterization of Silicalite-1 Nanophase Material, J. Phys. Chem. B 1998, 102, 15. 2633–2639. [Google Scholar] [CrossRef]
- Marra, G.L.; Artioli, G.; Fitch, A.N.; Milanesio, M.; Lamberti, C. Orthorhombic to monoclinic phase transition in high-Ti-loaded TS-1: an attempt to locate Ti in the MFI framework by low temperature XRD, Micropor. Mesopor.Mater. 2000, 40, 85–94. [Google Scholar] [CrossRef]
- Bezerra, R.C. F. ; Mota, G.; Vidal, R. M. B.; Carmo, J. V.; Saraiva, G. D.; Campos, A.; Oliveira, A. C.; Lang, R.; Otubo, L.; Jiménez-Jiménez, J. ; Rodríguez-Castellón, E.; Effect of Basic Promoters on Porous Supported Alumina Catalysts for Acetins Production, Catalyst 2012,12,1616.
- Zhang, H.; Zhao, Y.; Akins, D. L. Synthesis and new structure shaping mechanism of silica particles formed at high pH, J. Solid State Chem. 2012, 19, 277–27. [Google Scholar] [CrossRef]
- Kaur, H.; Chaudhary, S.; Kaur, H.; Chaudhary, M.; Jena, K. C. Hydrolysis and Condensation of Tetraethyl Orthosilicate at the Air–Aqueous Interface: Implications for Silica Nanoparticle Formation,ACS Appl. Nano Mater. 2022, 4, 1. 411–422. [Google Scholar] [CrossRef]
- Neto, A.B.S.; Oliveira, A.C.; Rodriguez-Castellón, E.; A.F.; Campos, Freire, P.T.C.; Sousa, F.F.F.; Filho, J.M.; Araujo, J.C.S.; R. Lang, A comparative study on porous solid acid oxides as catalysts in the esterification of glycerol with acetic acid, Catal. Today 2020,349, 57–67.
- Khatamian, M.; Oskoui, M. S.; Darbandi, M. Synthesis and characterization of aluminium-free ZSM-5 type chromosilicates in different alkaline systems and investigation of their pore structures, Micropor. Mesopor. Mater. 2013, 182, 50–61. [Google Scholar] [CrossRef]
- Yan, E.; Fu, Y.; Wang, X.; Ding, Y.; Qian, H.; Wang, C.-H.; Hu, Y.; Jiang, X. Hollow chitosan–silica nanospheres for doxorubicin delivery to cancer cells with enhanced antitumor effect in vivo, J. Mater. Chem. 2011, 21, 3147. [Google Scholar] [CrossRef]
- Guo, N.; Liang, Y.; Lan, S.; Liu, L.; Ji, G.; Gan, S.; Zou, H.; Xu, X. Uniform TiO2–SiO2 hollow nanospheres: Synthesis, characterization and enhanced adsorption–photodegradation of azo dyes and phenol,Appl. Surf.Sci. 2014, 305, 562–574. [Google Scholar] [CrossRef]
- Bedoya, J.C.; Valdez, R.; Cota , L.; Alvarez-Amparan, M.A.; Olivas, A. ;Performance of Al-MCM-41 nanospheres as catalysts for dimethyl ether production, Catal. Today 2022,388-389, 55–62.
- Milošev, I.; Stefan, J.; Djurdjevic, Z.; Bajat, J. Surface Analysis and Electrochemical Behavior of Aluminum Pretreated by Vinyltriethoxysilane Films in Mild NaCl Solution, J. Electrochem. Soc. 2012, 159, 7. B1–B29. [Google Scholar] [CrossRef]
- Alexander, M.R.;A study of HMDSO/O2 plasma deposits using a high-sensitivity and -energy resolution XPS instrument: curve fitting of the Si 2p core level, R.D. Short, F.R. Jones,W. Michaeli, C.J. Blomfield, Appl. Surf.Sci. 1999.137,179–183.
- Thunyaratchatanon,C.; Luengnaruemitchai, A.;Chaisuwan, T.;Chollacoop, N.;Chen, S.-Y.; Yoshimura, Y.;Synthesis and characterization of Zr incorporation into highly ordered mesostructured SBA-15 material and its performance for CO2 adsorption, Micropor. Mesopor. Mater 2017,253, 18-28.
- G.Dakroub,T.Duguet, J. Esvan, C.Lacaze-Dufaure, S. Roualdes, V.Rouessac,Comparative study of bulk and surface compositions of plasma polymerized organosilicon thin films, Surf. Interf. 2021, 25 101256.
- Siddiquey, I.A.; Furusawa, T.; Sato, M.; Bahadur, N. M.; Suzuki, N. Fabrication of silica coated Al2O3 nanoparticles via a fast and facile route utilizing microwave irradiation,Mater. Chem. Phys. 2011, 130, 583–586. [Google Scholar]
- Nyalosaso, J. L.; Derrien, G.; Charnay, C.; de Menorval, L.-C.; Zajac, J. Aluminium-derivatized silica monodisperse nanospheres by a one-step synthesis-functionalization method and application as acid catalysts in liquid phase, J. Mater. Chem. 2012, 22, 1459. [Google Scholar] [CrossRef]
- Carvalho, D.C.; Oliveira, A. C.; Ferreira, O. P.; Filho, J.M.; Tehuacanero-Cuapa, S.; Oliveira, A. C. Titanate nanotubes as acid catalysts for acetalization of glycerol with acetone: Influence of the synthesis time and the role of structure on the catalytic performance, Chem. Eng. J. 2017, 313, 1454–1467. [Google Scholar] [CrossRef]
- Wang, X.; Meng, B.; Zhang, X.; Tan, X.; Liu, S.; Synthesis of stable Ti-containing mesoporous tubular membrane using silicalite-1 nanoparticles as seeds, Chem.Eng. J. 255 (2014) 344–355.








| Sample | Surface Area (m2 g−1) | Vtotal (cm3 g−1) |
Vmicro (cm3 g−1) |
Vmeso (cm3 g−1) |
Pore Size(nm) | |
|---|---|---|---|---|---|---|
| BET | t-Plot | |||||
| SAS | 193 | 173 | 0.39 | 0.007 | 0.38 | 8 |
| SAT | 286 | 269 | 0.92 | 0.004 | 0.91 | 14 |
| STS | 271 | 260 | 0.54 | 0.0001 | 0.54 | 9 |
| STT | 71 | 56 | 0.24 | 0.006 | 0.23 | - |
| SZS | 273 | 242 | 0.26 | 0.015 | 0.24 | 6 |
| SZT | 282 | 334 | 0.35 | - | 0.35 | 4 |
| Sample | Surface Area (m2 g−1) | Vtotal (cm3 g−1) |
Vmicro (cm3 g−1) |
Vmeso (cm3 g−1) |
D (nm) | |
|---|---|---|---|---|---|---|
| BET | t-Plot | |||||
| SAS-C | 213 | 199 | 0.46 | 0.003 | 0.45 | 9 |
| SAT-C | 227 | 202 | 0.81 | 0.009 | 0.80 | 14 |
| STS-C | 243 | 220 | 0.40 | 0.007 | 0.39 | 9 |
| STT-C | 54 | 47 | 0.30 | 0.002 | 0.30 | - |
| SZS-C | 74 | 65 | 0.10 | 0.003 | 0.07 | 8 |
| SZT-C | 214 | 215 | 0.27 | - | 0.25 | 4 |
| Sample | Surface Area (m2 g−1) |
aHF | Vtotal (cm3 g−1) |
Vmicro (cm3 g−1) |
Vmeso (cm3 g−1) |
D (nm) | ||
|---|---|---|---|---|---|---|---|---|
| SBET | St-Plot | SExt | ||||||
| NZ-SAT | 212 | 194 | 140 | 0.11 | 0.46 | 0.17 | 0.29 | 4.2 |
| NZ-STT | 77 | 29 | 33 | 0.12 | 0.16 | 0.12 | 0.04 | 2.1 |
| NZ-SZT | 279 | 10 | 138 | 0.18 | 0.60 | 0.10 | 0.50 | 7.4 |
| Sample | Si 2p | Al 2p |
O 1s |
C 1s |
Na 1s |
Ti 2p |
Zr 3d | Me/Si Atomic Ratio |
|---|---|---|---|---|---|---|---|---|
| SAS-C | 102.0 103.2 |
74.0 | 530.8 532.4 |
284.5 285.4 288.2 |
1072.1 | 0.28 | ||
| SAT-C | 102.2 103.0 |
74.1 | 531.1 532.3 |
284.4 285.6 288.3 |
1072.2 | 0.37 | ||
| STS-C | 102.3 103.6 |
531.0 532.4 |
284.3 285.5 288.1 |
- | 457.9 463.4 464.5 |
0.35 | ||
| STT-C | 102.0 103.2 |
531.0 532.5 |
284.2 285.5 288.3 |
- | 458.0 463.6 464.5 |
0.17 | ||
| SZT-C | 102.3 103.1 |
530.6 532.4 |
284.4 285.4 288.2 |
- | 183.1 185.2 |
0.07 | ||
| NZ-SAT | 102.1 103.3 |
74.0 75.1 |
530.9 532.4 |
284.5 285.3 288.1 |
1072.1 | 0.18 |
Disclaimer/Publisher’s Note: The statements, opinions and data contained in all publications are solely those of the individual author(s) and contributor(s) and not of MDPI and/or the editor(s). MDPI and/or the editor(s) disclaim responsibility for any injury to people or property resulting from any ideas, methods, instructions or products referred to in the content. |
© 2024 by the authors. Licensee MDPI, Basel, Switzerland. This article is an open access article distributed under the terms and conditions of the Creative Commons Attribution (CC BY) license (http://creativecommons.org/licenses/by/4.0/).