Submitted:
26 February 2025
Posted:
27 February 2025
You are already at the latest version
Abstract
Keywords:
1. Introduction
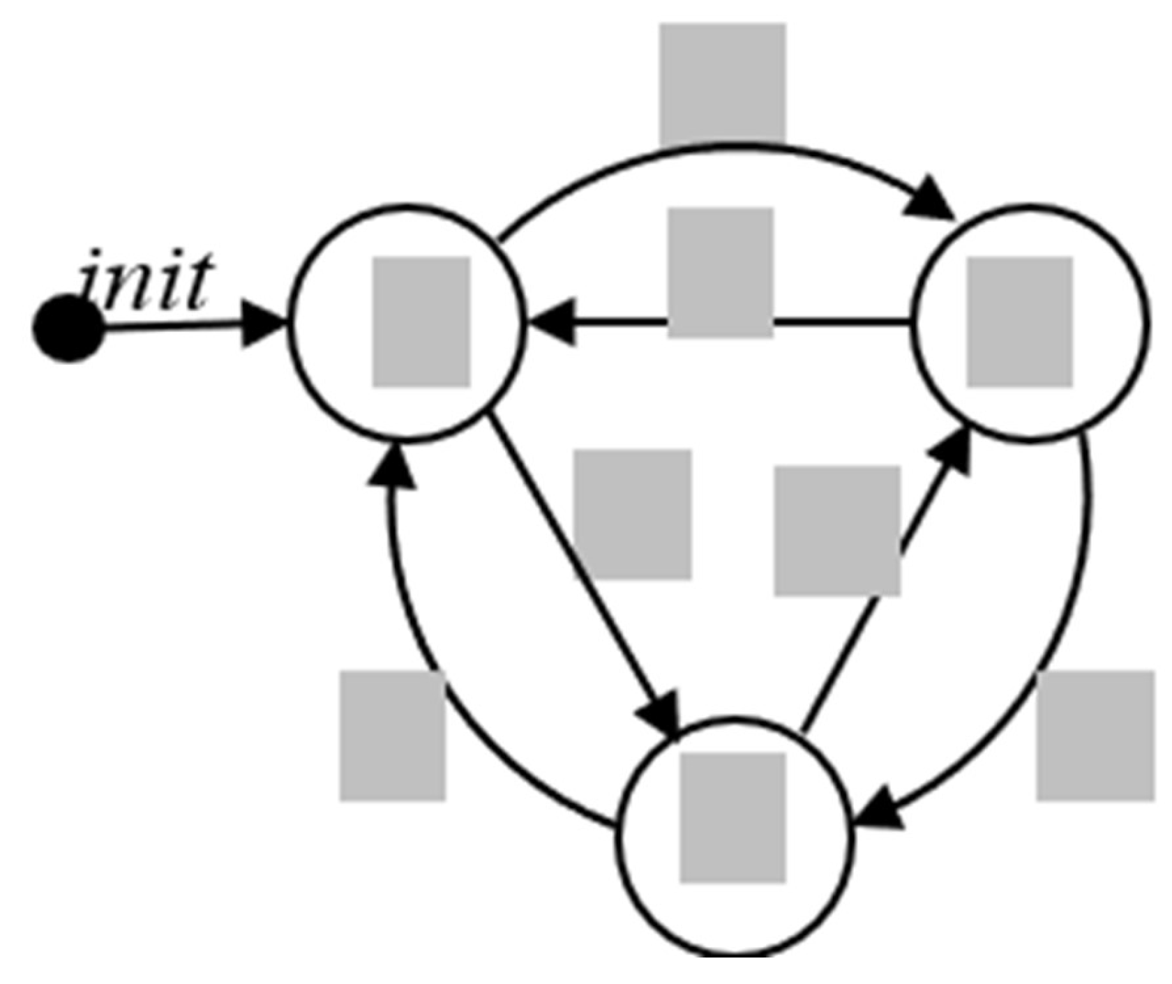
2. Problem formulation
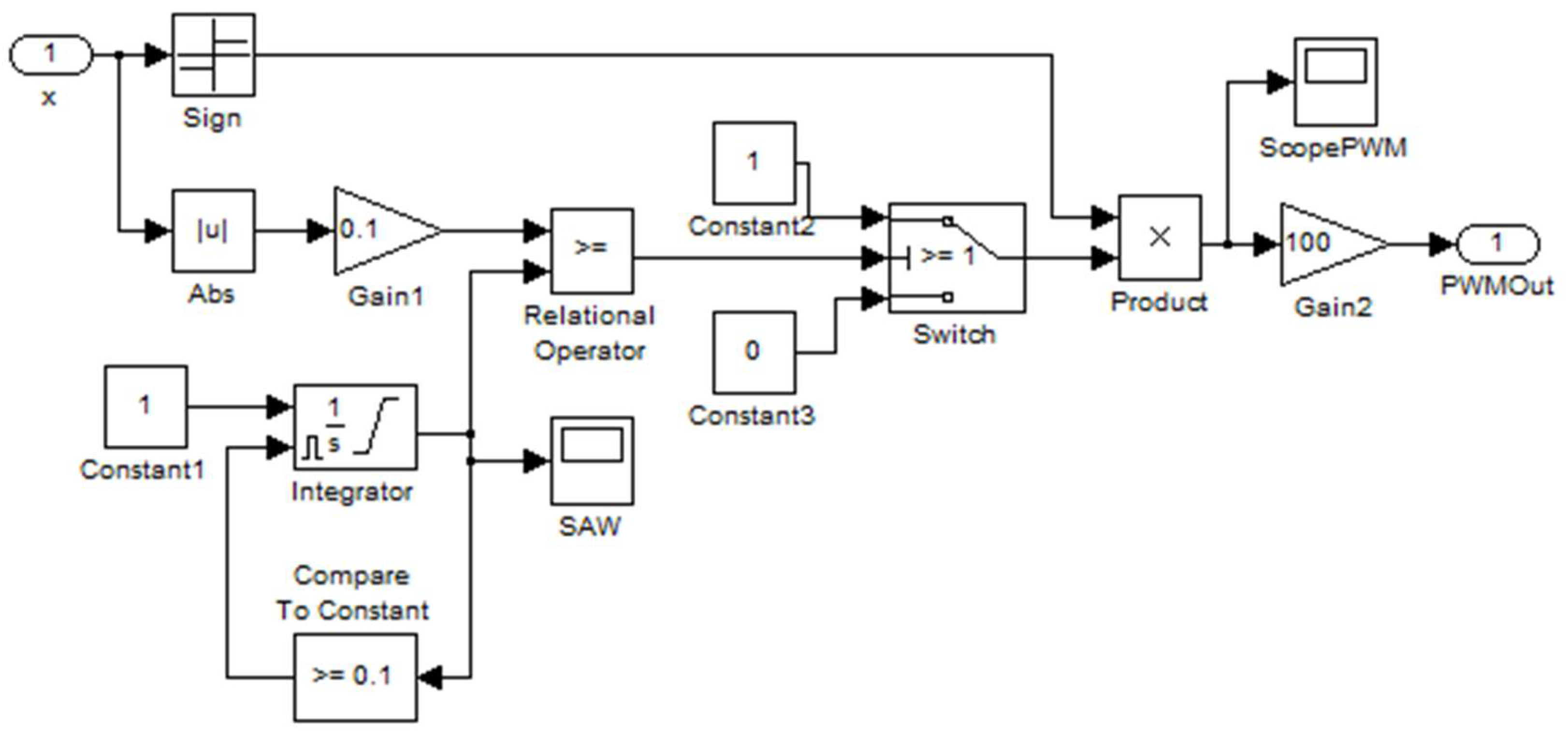
3. Model specification in simulation environments
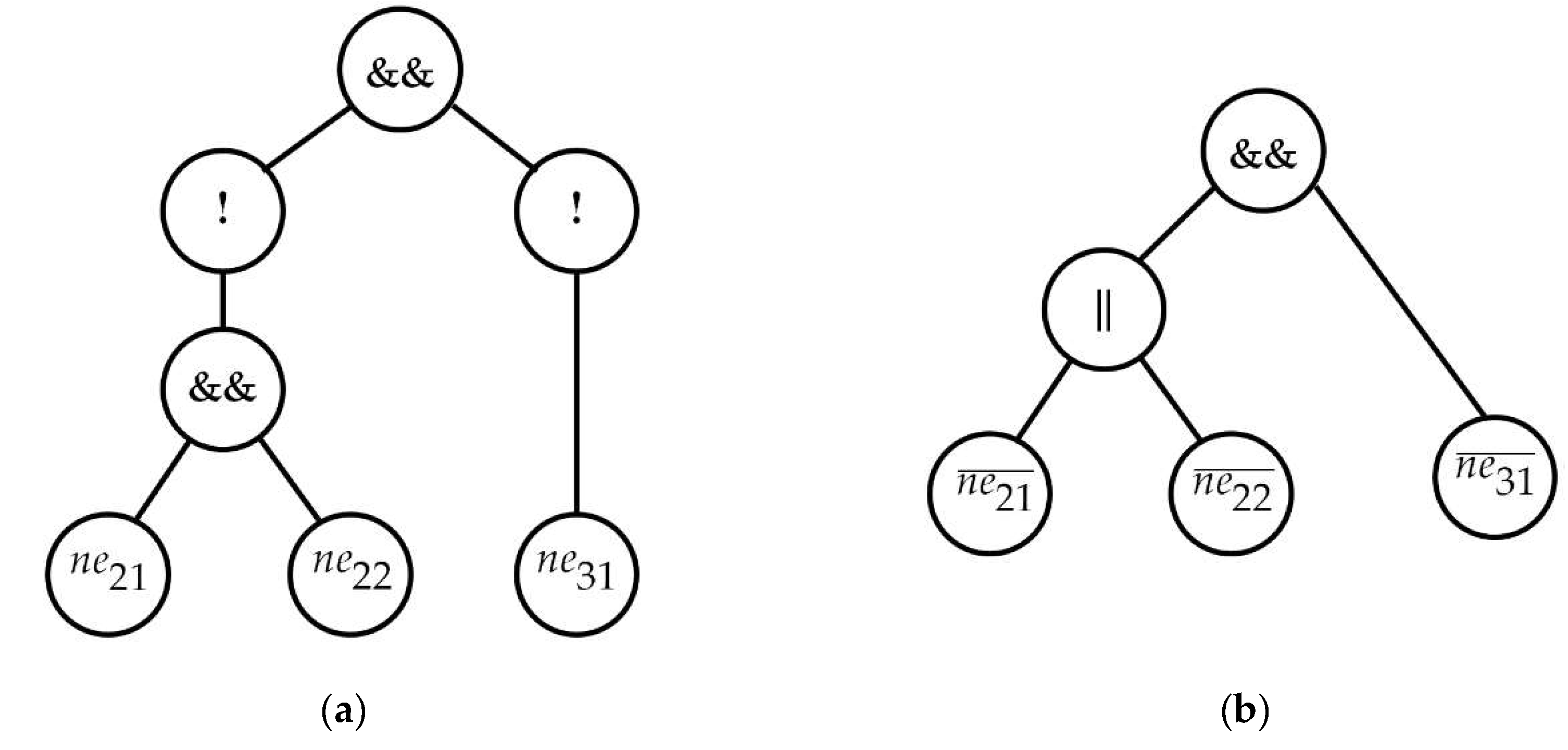
4. Event detection algorithms in ISMA
5. Calculation and Simulation

6. Conclusion
Author Contributions
Data Availability Statement
Conflicts of Interest
References
- Banerjee, S.; Verghese, G.C. (Eds.) Nonlinear Phenomena in Power Electronics; Wiley-IEEE Press: New York, USA, 2001. [Google Scholar] [CrossRef]
- Cendoya, M.; Toccaceli, G. Application of Statecharts in Buck-Boost DC-DC Converter Simulation. WSEAS Transactions on Electronics, 2021, vol. 12, 81–88. [CrossRef]
- Matlab product page on the official website of MathWorks. Available online: https://www.mathworks.com/products/matlab.html (accessed on 15 April 2024).
- SimInTech product page on the official website of 3V Service. Available online: https://en.simintech.ru/ (accessed on 15 April 2024).
- Harel, D. Statecharts: a Visual Formalism for Complex Systems. Science of Computer Programming, 1987, vol. 8(3), pp. 231–274. [CrossRef]
- Shornikov, Yu.V.; Bessonov, A.V. The Core Components of ”ISMA 2015” Software [Komponenty Jadra Programmnogo Kompleksa “ISMA 2015”] (in Russian). Certificate of State Registration of Computer Programs # 2015617235 [Svidetel'stvo o Gosudarstvennoj Registracii Programmy dlja JeVM # 2015617235]. Federal Service For Intellectual Property (Rospatent), Moscow, 2015, 1p.
- Ptolemy II product page on the official website of The University of California, Berkeley. Available online: https://ptolemy.berkeley.edu/ptolemyII/index.htm (accessed on 15 April 2024).
- Novikov, E.A.; Shornikov, Yu.V. Modeling of Stiff Hybrid Systems [Modelirovaniye Zhestkikh Gibridnykh Sistem] (in Russian); Lan: St. Petersburg, Russia [Lan': Sankt-Peterburg, Rossija], 2019; 420 p, ISBN 978-5-8114-3523-4. [Google Scholar]
- Hairer, E.; Nørsett, S.P.; Wanner, G. Solving Ordinary Differential Equations I: Nonstiff Problems; Springer-Verlag: Berlin, Germany, 1993; 528 p, ISBN 978-3642051630. [Google Scholar]
- Esposito, J.; Kumar, V.; Pappas, G. Accurate Event Detection for Simulating Hybrid Systems. Hybrid Systems: Computation and Control (HSCC), 2001, Volume LNCS 2034, pp. 204–217. [CrossRef]
- Karpov, Yu.G. State Machine Theory [Teorija Avtomatov] (in Russian); Piter: Moscow, Russia [Piter: Moskva, Rossija], 2002; 206 p, ISBN 5-318-00537-3. [Google Scholar]
- Kasyanov, V.N.; Evstigneev, V.A. Graphs in Programming: Processing, Visualization and Application [Grafy v Programmirovanii: Obrabotka, Vizualizacija i Primenenie] (in Russian); BHV-Peterburg: St. Petersburg, Russia [BHV-Peterburg: Sankt-Peterburg, Rossija], 2003; 1104 p, ISBN 5-94157-184-4. [Google Scholar]
- Lee, E.A.; Zheng, H. Operational Semantics of Hybrid Systems. Hybrid Systems: Computation and Control: 8th International Workshop, HSCC, LNCS 3414, Zurich, Switzerland, March 9-11, 2005.
- Moraleda, A.U.; Villalba, C.M. Modeling and Simulation in Engineering Using Modelica; UNED Editorial: Madrid, Spain, 2018; ISBN 978-84-362-7365-6. [Google Scholar]
- Timofeev, K.A. Module for Intersection Event Detection Block for the SimInTech Software Package (SimInTech Intersection Detection Block) [Modul' Bloka Detekcii Sobytij Peresechenija Programmnogo Kompleksa SimInTech (Blok Detekcii Peresechenij SimInTech)] (in Russian). Certificate of State Registration of Computer Programs # 2024619776 [Svidetel'stvo o Gosudarstvennoj Registracii Programmy dlja JeVM # 2024619776]. Federal Service For Intellectual Property, Moscow, 2024, 1p.
- Blaze, E.S.; Brodovsky, V.N.; Vvedensky, V.A.; et al. Servo Drives: In 3 volumes [Sledyashhie Privody] (in Russian); Ed. B.K. Chemodanov; Publishing house of BMSTU: Moscow, Russia [Izdatel'stvo MGTU im. N. Je. Baumana: Moskva, Rossija], 2003; ISBN 5-7038-1384-0. [Google Scholar]
- Shornikov, Yu.V.; Bessonov, A.V. The Component for Specification of Hybrid Systems in LISMA PDE Language [Komponenta Specifikacii Modelej Gibridnyh Sistem na Yazyke “LISMA_PDE"] (in Russian). Certificate of State Registration of Computer Programs # 2015617191 [Svidetel'stvo o Gosudarstvennoj Registracii Programmy dlja JeVM # 2015617191]. Federal Service For Intellectual Property (Rospatent), Moscow, 2015, 1p.
- OpenModelica product page on the official website of Open Source Modelica Consortium (OSMC). Available online: https://openmodelica.org/ (accessed on 15 April 2024).
- JuliaSim product page on the official website of JuliaHub. Available online: https://info.juliahub.com/products/juliasim (accessed on 15 April 2024).
- HyVisual product page on the official website of The University of California, Berkeley. Available online: https://ptolemy.berkeley.edu/hyvisual/ (accessed on 15 April 2024).
- Stateflow product page on the official website of MathWorks. Available online: https://www.mathworks.com/products/stateflow.html (accessed on 15 April 2024).
- Antlr product page. Available online: https://www.antlr.org/ (accessed on 15 April 2024).
- Novikov, E.A. Explicit Methods for Stiff Systems [Javnye Metody dlja Zhestkih Sistem] (in Russian); Nauka: Novosibirsk, Russia [Nauka: Novosibirsk, Rossija], 1997; 192 p, ISBN 5-02-031245-2. [Google Scholar]
- Skvortsov, L.M. Construction and Analysis of Explicit Adaptive Onestep Methods for Numerical Solution of Stiff Problems [Postroyeniye i Analiz Yavnykh Adaptivnykh Odnoshagovykh Metodov Chislennogo Resheniya Zhestkikh Zadach] (in Russian), Journal of Computational Mathematics and Mathematical Physics [Zhurnal Vychislitel'noy Matematiki I Matematicheskoy Fiziki], 2020, Vol. 60, pt. 7, p. 1111–1125. [CrossRef]
- Shornikov, Yu.V.; Novikov, E.A.; Dostovalov, D.N.; Myssak, M.S. Visual Modeling of Dynamical Systems by Instrumental Facilities. 7 IFAC Conference on Manufacturing Modelling, Management, and Control (MIM'2013), St. Petersburg, IFAC, 2013; Manufacturing modelling, management, and control, vol. 7, pt. 1, p. 2185–2190. [CrossRef]












| (a) | (b) |



| Platform | Time | Angular velocity | Angle of rotation | |||
|---|---|---|---|---|---|---|
| ISMA | 1.5⸱10-6 | 1.3⸱10-5 | 1.5⸱10-4 | 8.4⸱10-5 | 6.5⸱10-6 | 7.1⸱10-5 |
| SimInTech | 9.5⸱10-6 | 7.4⸱10-6 | 2.0⸱10-4 | 2.7⸱10-5 | 4.3⸱10-5 | 1.7⸱10-5 |
| MATLAB | -2.2⸱10-11 | -1.6⸱10-10 | -2.2⸱10-9 | 2.0⸱10-10 | -4.3⸱10-10 | -2.3⸱10-9 |
| Ptolemy II | 4.0⸱10-5 | 2.1⸱10-4 | 2.5⸱10-4 | 3.5⸱10-4 | 1.8⸱10-4 | 1.4⸱10-4 |
Disclaimer/Publisher’s Note: The statements, opinions and data contained in all publications are solely those of the individual author(s) and contributor(s) and not of MDPI and/or the editor(s). MDPI and/or the editor(s) disclaim responsibility for any injury to people or property resulting from any ideas, methods, instructions or products referred to in the content. |
© 2025 by the authors. Licensee MDPI, Basel, Switzerland. This article is an open access article distributed under the terms and conditions of the Creative Commons Attribution (CC BY) license (http://creativecommons.org/licenses/by/4.0/).