Submitted:
28 June 2024
Posted:
29 June 2024
You are already at the latest version
Abstract
Keywords:
1. Introduction
1.1. Endometriosis Development and Biomarkers
- IL-8 (interleukin 8), known as an α-chemokine with chemotactic activity and acting as a strong angiogenic agent, primarily produced by peripheral macrophages, has been detected in high concentrations in peritoneal fluid of women with endometriosis. In addition to its chemotactic and activating properties for granulocytes, IL-8 has recently been found to stimulate the proliferation of endometrial cells [65,66,67,68].
- Vascular endothelial growth factor (VEGF), one of the main angiogenic factors with ability to stimulate mitogenesis, migration, and differentiation of endothelial cells, is strongly expressed in endometriotic tissue as well as in peritoneal macrophages. Peritoneal activated macrophages are major source of VEGF in endometriosis, and this expression is directly regulated by ovarian steroids. E2 acts on various macrophage signaling pathways, especially those related to the support of inflammatory cell recruitment and the remodeling of inflamed tissues, such as mitogen-activated protein kinase (MAPK), phosphatidylinositol-3-kinase/protein kinase B, and Nuclear factor kappa-light-chain-enhancer of activated B cells (NF-kB). Consequently, dysregulation of ovarian steroid hormone homeostasis could influence survival of ectopic endometrial cells and promote lesion vascularization. It is well known that hypoxia induces expression of VEGF. Effects of hypoxia are mainly mediated by a protein complex called hypoxia-inducible factor-1 (HIF-1), which consists of two subunits, HIF-lα, the inducible unit, and HIF-1β, the constitutive unit. In endometriotic lesions, abnormally high levels of HIF-lα complex have been found, clearly proving that hypoxia is involved in production of VEGF in endometriosis [67,68].
- IL-10 (interleukin 10), secreted largely by macrophages, is known for inhibiting T cell activation, but also for reducing expression of co-stimulatory molecules (CD-80 and CD-86) and indoleamine 2,3-dioxygenase. Interestingly, macrophages secrete IL-15 (interleukin 15), a chemoattractant for uNK (uterine natural killer) cells and downregulate the cytotoxicity of uNK cells [66,67].
- Nerve growth factors (NGF), especially BDNF (Brain-derived neurotrophic factor), are abnormally synthesized and released by activated macrophages, mast cells, NK (natural killer) cells, and leukocytes within endometriotic formations, close to sensitive nerve fibers, and in peritoneal fluid. These sensitize or stimulate endings of sensitive nerve fibers, leading to a vicious cycle characterized by nociceptor sensitization, focal neoneurogenesis, and activation of sensitive nerve fibers, resulting in hyperalgesia [68].
1.2. Objectives
2. Results
2.1. Patient Characteristics
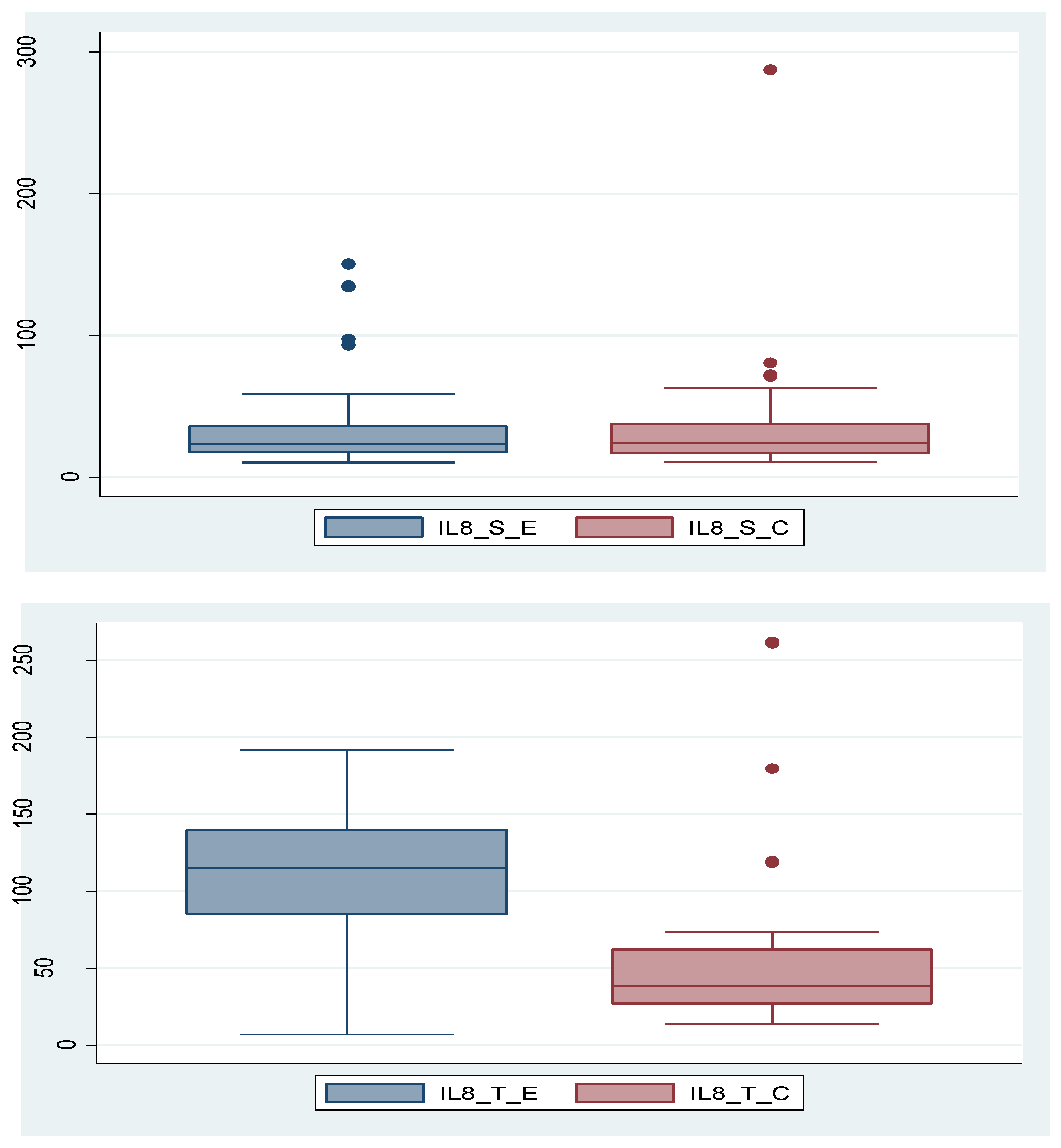
2.2. Expression of Biomarkers at Serum and Tissue Levels
- Uterine fibroid: exhibits elevated IL-8 values similar to endometriosis, with a similar trend for IL-10 but less elevated tissue values compared to endometriosis, higher BDNF values both serum and tissue, and lower serum VEGF-A values but higher tissue values.
- Non-endometriotic ovarian cyst: tissue expression of IL-8 and IL-10 had significantly lower values in cases of non-endometriotic ovarian cysts (43.15 vs 114.36 pg/mL and 29.53 vs 71.88 pg/mL, respectively). Regarding BDNF and VEGF-A, only the latter showed higher tissue values.
- Mature ovarian teratoma: shows reduced tissue values of IL-8 and IL-10, but higher values for BDNF and VEGF-A.
2.3. Results of BSGE Questionnaire
2.4. Correlation and Regression of Severity Determinants in Endometriosis
2.5. Analysis of Correlations between IL-8, IL-10 and the Severity of Endometriosis
2.6. Analysis of Linear Regression of Patient-Reported Pain and Physical Activity on Severity of Endometriosis
3. Discussion
- relatively small number of patients in the two study groups
- sample of patients exclusively of Caucasian race
- heterogeneity of the control group
4. Materials and Methods
- Patients who did not freely express their consent for enrollment in the study.
- Patients who did not meet necessary conditions for study enrollment or who did not attend scheduled follow-up visits as per the protocol.
- A form containing general data, family and personal medical history, symptomatology
- Questionnaire regarding the physical activity practiced by the patient.
- BSGE questionnaire.
4.1. Analysis of Patient Symptoms and Endometriosis Severity
- unaffected,
- patient trying to conceive for less than 18 months without success, or
- patient trying to conceive for more than 18 months without success.
4.2. Analysis of Investigated Biomarkers
- IL 8 - Elabscience Human IL-8 (Interleukin 8) Elisa kit, catalog no: E-EL-H6008
- IL 10 - Elabscience Human IL-10 (Interleukin 10) Elisa kit, catalog no: E-EL-H6154
- VEGF - Elabscience Human VEGF-A (Vascular Endothelial Cell Growth Factor A) ELISA kit, catalog no: E-EL-H0111
- BDNF - Elabscience Human BDNF (Brain Derived Neurotrophic Factor) ELISA kit, catalog No: E-EL-H0010.
4.3. Statistical Analysis
5. Conclusion
Author Contributions
Funding
Institutional Review Board Statement
Informed Consent Statement
Conflicts of Interest
References
- Della Corte, Luigi et al. “The Burden of Endometriosis on Women's Lifespan: A Narrative Overview on Quality of Life and Psychosocial Wellbeing.” International journal of environmental research and public health vol. 17,13 4683. 29 Jun. 2020. [CrossRef]
- Škegro, Bernarda et al. “Endometriosis, Pain and Mental Health.” Psychiatria Danubina vol. 33,Suppl 4 (2021): 632-636.
- Koninckx, Philippe R et al. “Pathogenesis Based Diagnosis and Treatment of Endometriosis.” Frontiers in endocrinology vol. 12 745548. 25 Nov. 2021. [CrossRef]
- Rahmioglu, N., Mortlock, S. et al. The genetic basis of endometriosis and comorbidity with other pain and inflammatory conditions. Nat Genet 55, 423–436 (2023). [CrossRef]
- Bulun, Serdar E. “Endometriosis caused by retrograde menstruation: now demonstrated by DNA evidence.” Fertility and sterility vol. 118,3 (2022): 535-536. [CrossRef]
- D'Hooghe, Thomas M, and Sophie Debrock. “Endometriosis, retrograde menstruation and peritoneal inflammation in women and in baboons.” Human reproduction update vol. 8,1 (2002): 84-8. [CrossRef]
- Guo, Sun-Wei et al. “From Retrograde Menstruation to Endometrial Determinism and a Brave New World of "Root Treatment" of Endometriosis: Destiny or a Fanciful Utopia?.” Biomolecules vol. 13,2 336. 9 Feb. 2023. [CrossRef]
- Liang, Yanchun et al. “Pro-endometriotic niche in endometriosis.” Reproductive biomedicine online vol. 38,4 (2019): 549-559. [CrossRef]
- Tong, Shan-Shan et al. “Case report of pulmonary endometriosis and review of the literature.” The Journal of international medical research vol. 47,4 (2019): 1766-1770. [CrossRef]
- Andres, Marina P et al. “Extrapelvic Endometriosis: A Systematic Review.” Journal of minimally invasive gynecology vol. 27,2 (2020): 373-389. [CrossRef]
- Fukui, Atsushi et al. “Pelvic endometriosis and natural killer cell immunity.” American journal of reproductive immunology (New York, N.Y. : 1989) vol. 85,4 (2021): e13342. [CrossRef]
- Szukiewicz, Dariusz. “Epigenetic regulation and T-cell responses in endometriosis - something other than autoimmunity.” Frontiers in immunology vol. 13 943839. 22 Jul. 2022. [CrossRef]
- Zutautas, Katherine B et al. “The dysregulation of leukemia inhibitory factor and its implications for endometriosis pathophysiology.” Frontiers in immunology vol. 14 1089098. 23 Mar. 2023. [CrossRef]
- Ho, H N et al. “Peritoneal cellular immunity and endometriosis.” American journal of reproductive immunology (New York, N.Y. : 1989) vol. 38,6 (1997): 400-12. [CrossRef]
- Wang, Linlin et al. “A History of Endometriosis Is Associated With Decreased Peripheral NK Cytotoxicity and Increased Infiltration of Uterine CD68+ Macrophages.” Frontiers in immunology vol. 12 711231. 31 Aug. 2021. [CrossRef]
- Vinatier, D et al. “Theories of endometriosis.” European journal of obstetrics, gynecology, and reproductive biology vol. 96,1 (2001): 21-34. [CrossRef]
- Lamceva, Jelizaveta et al. “The Main Theories on the Pathogenesis of Endometriosis.” International journal of molecular sciences vol. 24,5 4254. 21 Feb. 2023. [CrossRef]
- Hill, Christopher J et al. “Endometriosis and the Fallopian Tubes: Theories of Origin and Clinical Implications.” Journal of clinical medicine vol. 9,6 1905. 18 Jun. 2020. [CrossRef]
- Czyzyk, Adam et al. “Update on endometriosis pathogenesis.” Minerva ginecologica vol. 69,5 (2017): 447-461. [CrossRef]
- Gruber, Teresa Mira, and Sylvia Mechsner. “Pathogenesis of Endometriosis: The Origin of Pain and Subfertility.” Cells vol. 10,6 1381. 3 Jun. 2021. [CrossRef]
- Aredo, Jacqueline V et al. “Relating Chronic Pelvic Pain and Endometriosis to Signs of Sensitization and Myofascial Pain and Dysfunction.” Seminars in reproductive medicine vol. 35,1 (2017): 88-97. [CrossRef]
- Singh, Sukhbir S et al. “Endometriosis and Pelvic Pain for the Gastroenterologist.” Gastroenterology clinics of North America vol. 51,1 (2022): 195-211. [CrossRef]
- Nezhat, Camran et al. “Optimal Management of Endometriosis and Pain.” Obstetrics and gynecology vol. 134,4 (2019): 834-839. [CrossRef]
- Bastu, Ercan et al. “Improvement in quality of life and pain scores after laparoscopic management of deep endometriosis: a retrospective cohort study.” Archives of gynecology and obstetrics vol. 302,1 (2020): 165-172. [CrossRef]
- Tanbo, Tom, and Peter Fedorcsak. “Endometriosis-associated infertility: aspects of pathophysiological mechanisms and treatment options.” Acta obstetricia et gynecologica Scandinavica vol. 96,6 (2017): 659-667. [CrossRef]
- Bulletti, Carlo et al. “Endometriosis and infertility.” Journal of assisted reproduction and genetics vol. 27,8 (2010): 441-7. [CrossRef]
- de Ziegler, Dominique et al. “Endometriosis and infertility: pathophysiology and management.” Lancet (London, England) vol. 376,9742 (2010): 730-8. [CrossRef]
- Haas, Dietmar et al. “The rASRM score and the Enzian classification for endometriosis: their strengths and weaknesses.” Acta obstetricia et gynecologica Scandinavica vol. 92,1 (2013): 3-7. [CrossRef]
- Nicolaus, Kristin et al. “Extensive endometriosis surgery: rASRM and Enzian score independently relate to post-operative complication grade.” Archives of gynecology and obstetrics vol. 301,3 (2020): 699-706. [CrossRef]
- Fruscalzo, Arrigo et al. “Endometriosis and Infertility: Prognostic Value of #Enzian Classification Compared to rASRM and EFI Score.” Journal of personalized medicine vol. 12,10 1623. 1 Oct. 2022. [CrossRef]
- Zondervan, Krina T et al. “Endometriosis Classification Systems: An International Survey to Map Current Knowledge and Uptake.” Journal of minimally invasive gynecology vol. 29,6 (2022): 716-725.e1. [CrossRef]
- Horne, Andrew W, and Stacey A Missmer. “Pathophysiology, diagnosis, and management of endometriosis.” BMJ (Clinical research ed.) vol. 379 e070750. 14 Nov. 2022. [CrossRef]
- Pascoal, E et al. “Strengths and limitations of diagnostic tools for endometriosis and relevance in diagnostic test accuracy research.” Ultrasound in obstetrics & gynecology : the official journal of the International Society of Ultrasound in Obstetrics and Gynecology vol. 60,3 (2022): 309-327. [CrossRef]
- Van den Bosch, Thierry, and Dominique Van Schoubroeck. “Ultrasound diagnosis of endometriosis and adenomyosis: State of the art.” Best practice & research. Clinical obstetrics & gynaecology vol. 51 (2018): 16-24. [CrossRef]
- Ahn, Soo Hyun et al. “Biomarkers in endometriosis: challenges and opportunities.” Fertility and sterility vol. 107,3 (2017): 523-532. [CrossRef]
- Jiang, Hong et al. “Bioinformatics identification and validation of biomarkers and infiltrating immune cells in endometriosis.” Frontiers in immunology vol. 13 944683. 29 Nov. 2022. [CrossRef]
- Králíčková, Milena et al. “The Search for Biomarkers in Endometriosis: a Long and Windy Road.” Reproductive sciences (Thousand Oaks, Calif.) vol. 29,6 (2022): 1667-1673. [CrossRef]
- Koninckx, Philippe R et al. “Deep endometriosis: definition, diagnosis, and treatment.” Fertility and sterility vol. 98,3 (2012): 564-71. [CrossRef]
- Kho, Rosanne M et al. “Surgical treatment of different types of endometriosis: Comparison of major society guidelines and preferred clinical algorithms.” Best practice & research. Clinical obstetrics & gynaecology vol. 51 (2018): 102-110. [CrossRef]
- França, Patricia Ribeiro de Carvalho et al. “Endometriosis: A Disease with Few Direct Treatment Options.” Molecules (Basel, Switzerland) vol. 27,13 4034. 23 Jun. 2022. [CrossRef]
- Mira, Ticiana A A et al. “Systematic review and meta-analysis of complementary treatments for women with symptomatic endometriosis.” International journal of gynaecology and obstetrics: the official organ of the International Federation of Gynaecology and Obstetrics vol. 143,1 (2018): 2-9. [CrossRef]
- Brichant, Geraldine et al. “New Therapeutics in Endometriosis: A Review of Hormonal, Non-Hormonal, and Non-Coding RNA Treatments.” International journal of molecular sciences vol. 22,19 10498. 28 Sep. 2021. [CrossRef]
- Asghari, Samira et al. “Endometriosis: Perspective, lights, and shadows of etiology.” Biomedicine & pharmacotherapy = Biomedecine & pharmacotherapie vol. 106 (2018): 163-174. [CrossRef]
- Tseng, J F et al. “Interleukin-6 secretion in vitro is up-regulated in ectopic and eutopic endometrial stromal cells from women with endometriosis.” The Journal of clinical endocrinology and metabolism vol. 81,3 (1996): 1118-22. [CrossRef]
- Khorram, O et al. “Peritoneal fluid concentrations of the cytokine RANTES correlate with the severity of endometriosis.” American journal of obstetrics and gynecology vol. 169,6 (1993): 1545-9. [CrossRef]
- Taylor, Hugh S et al. “Endometriosis is a chronic systemic disease: clinical challenges and novel innovations.” Lancet (London, England) vol. 397,10276 (2021): 839-852. [CrossRef]
- Orisaka, Makoto et al. “Chronic low-grade inflammation and ovarian dysfunction in women with polycystic ovarian syndrome, endometriosis, and aging.” Frontiers in endocrinology vol. 14 1324429. 13 Dec. 2023. [CrossRef]
- Wei, Yajing et al. “Autonomic nervous system and inflammation interaction in endometriosis-associated pain.” Journal of neuroinflammation vol. 17,1 80. 7 Mar. 2020. [CrossRef]
- Velho, Renata Voltolini et al. “Neurogenic Inflammation in the Context of Endometriosis-What Do We Know?.” International journal of molecular sciences vol. 22,23 13102. 3 Dec. 2021. [CrossRef]
- Sikora, Justyna et al. “Abnormal peritoneal regulation of chemokine activation-The role of IL-8 in pathogenesis of endometriosis.” American journal of reproductive immunology (New York, N.Y. : 1989) vol. 77,4 (2017): 10.1111/aji.12622. [CrossRef]
- Malhotra, Neena et al. “Correlation of angiogenic cytokines-leptin and IL-8 in stage, type and presentation of endometriosis.” Gynecological endocrinology : the official journal of the International Society of Gynecological Endocrinology vol. 28,3 (2012): 224-7. [CrossRef]
- Măluțan, Andrei Mihai et al. “Endometriosis-associated changes in serum levels of interferons and chemokines.” Turkish journal of medical sciences vol. 47,1 115-122. 27 Feb. 2017. [CrossRef]
- Rahmawati, Nanda Yuli et al. “IL-8 and IL-12p70 are associated with pelvic pain among infertile women with endometriosis.” Pain medicine (Malden, Mass.) vol. 24,11 (2023): 1262-1269. [CrossRef]
- Nishimoto-Kakiuchi, Ayako et al. “A long-acting anti-IL-8 antibody improves inflammation and fibrosis in endometriosis.” Science translational medicine vol. 15,684 (2023): eabq5858. [CrossRef]
- Suen, Jau-Ling et al. “IL-10 from plasmacytoid dendritic cells promotes angiogenesis in the early stage of endometriosis.” The Journal of pathology vol. 249,4 (2019): 485-497. [CrossRef]
- Zhong, Shulin et al. “Association between polymorphisms of cytokine genes and endometriosis: A comprehensive systematic review and meta-analysis.” Journal of reproductive immunology vol. 158 (2023): 103969. [CrossRef]
- Zhou, Wen-Jie et al. “Anti-inflammatory cytokines in endometriosis.” Cellular and molecular life sciences : CMLS vol. 76,11 (2019): 2111-2132. [CrossRef]
- Wang, X-M et al. “Inflammatory cytokines IL-6, IL-10, IL-13, TNF-α and peritoneal fluid flora were associated with infertility in patients with endometriosis.” European review for medical and pharmacological sciences vol. 22,9 (2018): 2513-2518. [CrossRef]
- Huang, Xin et al. “Single-cell transcriptome analysis reveals endometrial immune microenvironment in minimal/mild endometriosis.” Clinical and experimental immunology vol. 212,3 (2023): 285-295. [CrossRef]
- Malutan, Andrei Mihai et al. “The association between interleukin-10 (IL-10) -592C/A, -819T/C, -1082G/A promoter polymorphisms and endometriosis.” Archives of gynecology and obstetrics vol. 295,2 (2017): 503-510. [CrossRef]
- Matsuzaki, Sachiko et al. “IL-10 is not anti-fibrotic but pro-fibrotic in endometriosis: IL-10 treatment of endometriotic stromal cells in vitro promotes myofibroblast proliferation and collagen type I protein expression.” Human reproduction (Oxford, England) vol. 38,1 (2023): 14-29. [CrossRef]
- Tennfjord, Merete Kolberg et al. “Effect of physical activity and exercise on endometriosis-associated symptoms: a systematic review.” BMC women's health vol. 21,1 355. 9 Oct. 2021. [CrossRef]
- Abril-Coello, Rebeca et al. “Benefits of physical therapy in improving quality of life and pain associated with endometriosis: A systematic review and meta-analysis.” International journal of gynaecology and obstetrics: the official organ of the International Federation of Gynaecology and Obstetrics vol. 162,1 (2023): 233-243. [CrossRef]
- Ricci, Elena et al. “Physical activity and endometriosis risk in women with infertility or pain: Systematic review and meta-analysis.” Medicine vol. 95,40 (2016): e4957. [CrossRef]
- Haney, Muscato et al. “Peritoneal fluid cell populations in infertility patients.” Fertility and sterility vol. 35,6 (1981): 696-8. [CrossRef]
- van Furth, Raeburn et al. “Characteristics of human mononuclear phagocytes.” Blood vol. 54,2 (1979): 485-500.
- Dmowski, Steele et al. “Deficient cellular immunity in endometriosis.” American journal of obstetrics and gynecology vol. 141,4 (1981): 377-83. [CrossRef]
- Endometriosis Pathogenesis, Clinical Impact and Management; Volume 9: Frontiers in Gynecological Endocrinology – A. R. Genazzani, M. Nisolle, F. Petraglia, R. N. Taylor; Springer 2021; ISBN 978-3-030-57865-7.
- Martire, Francesco G et al. “Endometriosis and Adolescence: The Impact of Dysmenorrhea.” Journal of clinical medicine vol. 12,17 5624. 29 Aug. 2023. [CrossRef]
- Martire, Francesco Giuseppe et al. “Early noninvasive diagnosis of endometriosis: dysmenorrhea and specific ultrasound findings are important indicators in young women.” Fertility and sterility vol. 119,3 (2023): 455-464. [CrossRef]






| IL-8 S2 | IL 8-T3 | IL 10-S2 | IL-10 T3 | BDNF S2 | BDNF T3 | VEGF-A S2 | VEGF-A T3 | |
|---|---|---|---|---|---|---|---|---|
| average | 37.85 | 114.36 | 34.77 | 71.88 | 784.60 | 53.80 | 243.12 | 43.94 |
| Std. dev.1 | 36.93 | 39.5 | 20.75 | 20.69 | 505.77 | 25.32 | 185.53 | 19.86 |
| IL-8 S2 | IL-8 T3 | IL-10 S2 | IL-10 T3 | BDNF S2 | BDNF T3 | VEGF-A S2 | VEGF-A T3 | ||
|---|---|---|---|---|---|---|---|---|---|
| average | 34.73 | 56.95 | 33.41 | 34.34 | 958.60 | 65.96 | 314.04 | 148.33 | |
| Std. dev.1 | 42.02 | 54.28 | 18.84 | 15.65 | 639.74 | 48.85 | 378.49 | 120.44 | |
| IL 8 S1 | IL 8 T2 | IL 10 S1 | IL 10 T2 | BDNF S1 | BDNF T2 | VEGF-A S1 | VEGF-A T2 | |
|---|---|---|---|---|---|---|---|---|
| uterine leiomyoma | 36.42 | 100.99 | 37.97 | 48.89 | 994.31 | 99.05 | 167.81 | 240.58 |
| non-endometriotic ovarian cyst | 33.76 | 43.15 | 34.41 | 29.53 | 901.01 | 76.47 | 318.86 | 114.04 |
| mature ovarian teratoma | 25.29 | 32.91 | 37.57 | 23.78 | 1108.15 | 42.01 | 402.82 | 87.06 |
| uterine septum | 17.79 | 26.61 | 20.32 | 26.74 | 1215.63 | 70.78 | 215.19 | 97.67 |
| Coef. | Std. Err. | p-value | Coef. | Std. Err. | p-value | |
|---|---|---|---|---|---|---|
| IL-8_S | -0.027 | 0.036 | 0.464 | |||
| IL-8_T | ***0.065 | 0.021 | 0.003 | ***0.082 | 0.025 | 0.002 |
| IL-10_S | 0.035 | 0.065 | 0.591 | |||
| IL-10_T | ***0.094 | 0.032 | 0.005 | **0.087 | 0.038 | 0.029 |
| BDNF_S | 0.001 | 0.001 | 0.388 | |||
| BDNF_T | -0.017 | 0.023 | 0.469 | |||
| VEGF_S | -0.002 | 0.003 | 0.452 | |||
| VEGF_T | 0.042 | 0.030 | 0.175 | |||
| FSFI | **-0.753 | 0.290 | 0.013 | **0.655 | 0.317 | 0.047 |
| AVG_PAIN | ***2.310 | 0.587 | < 0.001 | ***2.239 | 0.639 | 0.001 |
| PROG_COC | ***-3.370 | 1.049 | 0.003 | **-2.760 | 1.198 | 0.028 |
| AGE | 0.122 | 0.077 | 0.120 | 0.168 | 0.103 | 0.112 |
| BMI | 0.061 | 0.113 | 0.592 | -0.074 | 0.140 | 0.602 |
| SPORT_PHACT | **-1.243 | 0.589 | 0.042 | **-1.682 | 0.718 | 0.026 |
| N = 46 ; Adj. R2 = 0.907 N = 46 ; Adj. R2 = 0.907 | ||||||
Disclaimer/Publisher’s Note: The statements, opinions and data contained in all publications are solely those of the individual author(s) and contributor(s) and not of MDPI and/or the editor(s). MDPI and/or the editor(s) disclaim responsibility for any injury to people or property resulting from any ideas, methods, instructions or products referred to in the content. |
© 2024 by the authors. Licensee MDPI, Basel, Switzerland. This article is an open access article distributed under the terms and conditions of the Creative Commons Attribution (CC BY) license (http://creativecommons.org/licenses/by/4.0/).