Submitted:
19 June 2024
Posted:
21 June 2024
You are already at the latest version
Abstract
Keywords:
1. Introduction
2. Methods
2.1. Base: Total Exchange Flow Box Model
2.2. Variation 1: Sinking Tracer Model
2.3. Variation 2: The Peter-Parker Model
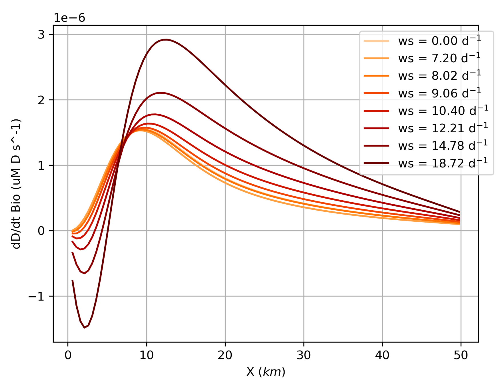
3. Results: Effects of Sinking Speed on Tracer or Detritus Accumulation
4. Discussion: Timescales Analysis
4.1. Timescales Definitions
4.2. Sinking Tracer Timescales
4.3. Sinking Detritus Timescales
4.4. Sinking Tracer vs Sinking Detritus
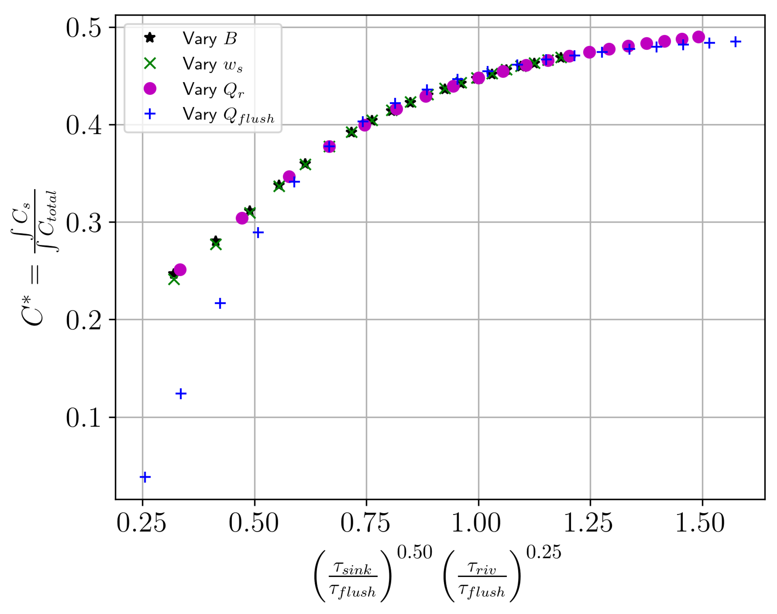
5. Summarizing the Behavior with a Dimensionless Group
6. Conclusion
Author Contributions
Funding
Data Availability Statement
Acknowledgments
Conflicts of Interest
Abbreviations
| ETM | Estuarine Turbidity Maximum |
| NPZD | Nutrient-Phytoplankton-Zooplankton-Detritus |
| SPM | Suspended Particulate Matter |
| TEF | Total Exchange Flow |
Appendix A
Appendix A.1. Varying Flushing, River flow, and Estuary Surface Area

Appendix A.2. Development of Dimensionless Group
References
- Hansen, D.V.; Rattray Jr, M. Gravitational circulation in straits and estuaries. Technical report, Department of Oceanography, University of Washington, 1966.
- Geyer, W.R.; MacCready, P. The Estuarine Circulation. Annual Review of Fluid Mechanics 2014, 46, 175–197, Publisher: Annual Reviews. [Google Scholar] [CrossRef]
- Burchard, H.; Schuttelaars, H.M.; Ralston, D.K. Sediment Trapping in Estuaries. Annual Review of Marine Science 2018, 10, 371–395, Publisher: Annual Reviews. [Google Scholar] [CrossRef] [PubMed]
- Festa, J.F.; Hansen, D.V. Turbidity maxima in partially mixed estuaries: A two-dimensional numerical model. Estuarine and Coastal Marine Science 1978, 7, 347–359. [Google Scholar] [CrossRef]
- Allen, G.P.; Salomon, J.C.; Bassoullet, P.; Du Penhoat, Y.; de Grandpré, C. Effects of tides on mixing and suspended sediment transport in macrotidal estuaries. Sedimentary Geology 1980, 26, 69–90. [Google Scholar] [CrossRef]
- Sanford, L.P.; Suttles, S.E.; Halka, J.P. Reconsidering the physics of the Chesapeake Bay estuarine turbidity maximum. Estuaries 2001, 24, 655–669. [Google Scholar] [CrossRef]
- Burchard, H.; Baumert, H. The formation of estuarine turbidity maxima due to density effects in the salt wedge. A hydrodynamic process study. Journal of Physical Oceanography 1998, 28, 309–321. [Google Scholar] [CrossRef]
- Emmett, R.; Llansó, R.; Newton, J.; Thom, R.; Hornberger, M.; Morgan, C.; Levings, C.; Copping, A.; Fishman, P. Geographic signatures of North American West Coast estuaries. Estuaries 2012, 23, 765–792. [Google Scholar] [CrossRef]
- Babson, A.L.; Kawase, M.; MacCready, P. Seasonal and Interannual Variability in the Circulation of Puget Sound, Washington: A Box Model Study. null 2003, 44, 29–45, Publisher: Taylor & Francis. [Google Scholar] [CrossRef]
- Feely, R.A.; Alin, S.R.; Newton, J.; Sabine, C.L.; Warner, M.; Devol, A.; Krembs, C.; Maloy, C. The combined effects of ocean acidification, mixing, and respiration on pH and carbonate saturation in an urbanized estuary. ESTUARINE COASTAL AND SHELF SCIENCE 2010, 88, 442–449. [Google Scholar] [CrossRef]
- MacCready, P.; McCabe, R.M.; Siedlecki, S.A.; Lorenz, M.; Giddings, S.N.; Bos, J.; Albertson, S.; Banas, N.S.; Garnier, S. Estuarine Circulation, Mixing, and Residence Times in the Salish Sea. Journal of Geophysical Research: Oceans 2021, 126, e2020JC016738, Publisher: John Wiley & Sons, Ltd. [Google Scholar] [CrossRef]
- Banas, N.S.; Lessard, E.J.; Kudela, R.M.; MacCready, P.; Peterson, T.D.; Hickey, B.M.; Frame, E. Planktonic growth and grazing in the Columbia River plume region: A biophysical model study (vol 114, 2009). Journal of Geophysical Research-Oceans 2009, 114, C00B13, Place: WASHINGTON; 2000 FLORIDA AVE NW, WASHINGTON, DC 20009 USA Publisher: AMER GEOPHYSICAL UNION. [Google Scholar] [CrossRef]
- MacCready, P. Calculating Estuarine Exchange Flow Using Isohaline Coordinates. Journal of Physical Oceanography 2011, 41, 1116–1124, Place: BOSTON; 45 BEACON ST, BOSTON, MA 02108-3693 USA Publisher: AMER METEOROLOGICAL SOC. [Google Scholar] [CrossRef]
- Burchard, H.; Bolding, K.; Feistel, R.; Graewe, U.; Klingbeil, K.; MacCready, P.; Mohrholz, V.; Umlauf, L.; van der Lee, E.M. The Knudsen theorem and the Total Exchange Flow analysis framework applied to the Baltic Sea. Progress in Oceanography 2018, 165, 268–286, Place: OXFORD; THE BOULEVARD, LANGFORD LANE, KIDLINGTON, OXFORD OX5 1GB, ENGLAND Publisher: PERGAMON-ELSEVIER SCIENCE LTD. [Google Scholar] [CrossRef]
- Cokelet, E.D.; Stewart, R.J. The Exchange of Water in Fjords - the Efflux/reflux Theory of Advective Reaches Separated by Mixing Zones. Journal of Geophysical Research-Oceans 1985, 90, 7287–7306, Place: WASHINGTON; 2000 FLORIDA AVE NW, WASHINGTON, DC 20009 Publisher: AMER GEOPHYSICAL UNION. [Google Scholar] [CrossRef]
- Chatwin, P.C. Some remarks on the maintenance of the salinity distribution in estuaries. Estuarine and Coastal Marine Science 1976, 4, 555–566. [Google Scholar] [CrossRef]
- Franks, P.; Wroblewski, J.S.; Flierl, G.R. Behavior of a Simple Plankton Model with Food-Level Acclimation by Herbivores. Marine Biology 1986, 91, 121–129, Place: NEW YORK; 175 FIFTH AVE, NEW YORK, NY 10010 Publisher: SPRINGER VERLAG. [Google Scholar] [CrossRef]
- Davis, K.A.; Banas, N.S.; Giddings, S.N.; Siedlecki, S.A.; MacCready, P.; Lessard, E.J.; Kudela, R.M.; Hickey, B.M. Estuary-enhanced upwelling of marine nutrients fuels coastal productivity in the U.S. Pacific Northwest. Journal of Geophysical Research: Oceans 2014, 119, 8778–8799, Publisher: John Wiley & Sons, Ltd. [Google Scholar] [CrossRef]
- Fischer, H.B. Mixing and Dispersion in Estuaries. Annual Review of Fluid Mechanics 1976, 8, 107–133. [Google Scholar] [CrossRef]














| Model | Name | Units | Value/Definition | Description |
|---|---|---|---|---|
| Base | Volume shallow box | |||
| Volume deep box | ||||
| Volume shallow section | ||||
| Volume deep section | ||||
| m | 501.54 | Length each box | ||
| L | 50 | Length entire estuary | ||
| m | 20 | Depth shallow layer | ||
| m | 20 | Depth deep layer | ||
| B | 3 | Estuary width | ||
| Eq. 2 | Shallow layer flux | |||
| Eq. 2 | Deep layer flux | |||
| Eq. 3 | Shallow layer flow | |||
| Eq. 3 | Deep layer flow | |||
| Eq. 4 | Fraction of flow refluxed down | |||
| Eq. 4 | Fraction of flow effluxed up | |||
| 1,000 | River flux | |||
| 6,500 | Cumulative river flow | |||
| 1 | 1 | Sinking tracer river loading concentration. | ||
| 0 | Sinking tracer ocean loading concentration. | |||
| 1 and 2 | Variable | Tracer or D sinking speed | ||
| d | 200 | Simulation time | ||
| 2 | Eq. 8 | Instantaneous P growth rate | ||
| 2.2 | Max inst. P growth rate | |||
| 4.6 | Half-saturation N uptake by P | |||
| ( | 0.07 | Initial slope growth-light curve | ||
| E | Eq. 10 | Photosynthetically available radiation | ||
| 200 | Maximum light | |||
| 0.13 | Light attenuation seawater | |||
| 0.018 | Light attenuation by P | |||
| m | 0.1 | Non-grazing P mortality | ||
| I | Eq. 9 | Z ingestion of P | ||
| 4.8 | Max Z ingestion rate of P | |||
| 3 | Half-saturation Z ingestion of P | |||
| 2.0 | Z mortality | |||
| 0.3 | Z growth efficiency | |||
| 0.5 | Fraction losses Z egested | |||
| r | 0.1 | Remineralization rate | ||
| 5 | River nutrients | |||
| 0 | N ocean boundary condition | |||
| 0.01 | P river seed population | |||
| 0.01 | P ocean seed population | |||
| 0.01 | Z river seed populations | |||
| 0.01 | Z ocean seed populations | |||
| 0 | D river boundary conditions | |||
| 0 | D ocean boundary conditions |
| Name | Process | Formula |
|---|---|---|
| Sinking | Time for concentration to sink from the shallow to deep layer | |
| Vertical Mixing | Time for concentration to efflux to shallow from deep () or reflux to deep from shallow () at location i | |
| Longitudinal Exchange | Time for concentration to flow out towards the ocean () or in towards the river () at location i | |
| Estuarine Dispersion | Time for concentration peak to be reduced by the longitudinal and vertical mixing at location i | |
| Messy Eating | Time for fraction of phytoplankton missed by zooplankton to become detritus | |
| P Mortality | Time for phytoplankton to become detritus from methods other than grazing | |
| Z Mortality/Higher Predation | Time for zooplankton to become detritus due to mortality or higher predation | |
| Remineralization | Time for detritus to become nutrients |
Disclaimer/Publisher’s Note: The statements, opinions and data contained in all publications are solely those of the individual author(s) and contributor(s) and not of MDPI and/or the editor(s). MDPI and/or the editor(s) disclaim responsibility for any injury to people or property resulting from any ideas, methods, instructions or products referred to in the content. |
© 2024 by the authors. Licensee MDPI, Basel, Switzerland. This article is an open access article distributed under the terms and conditions of the Creative Commons Attribution (CC BY) license (https://creativecommons.org/licenses/by/4.0/).
