Submitted:
17 June 2024
Posted:
18 June 2024
You are already at the latest version
Abstract
Keywords:
1. Introduction
2. Materials and Methods
2.1. Study Design and Settings
2.2. Participants
2.3. Diaphragm Muscle Ultrasound
2.4. The mMRC (Modified Medical Research Council) Scale
2.5. The 6 Minute Walk Test
2.6. MET (The Metabolic Equivalent) Score
2.7. Statistical Analysis
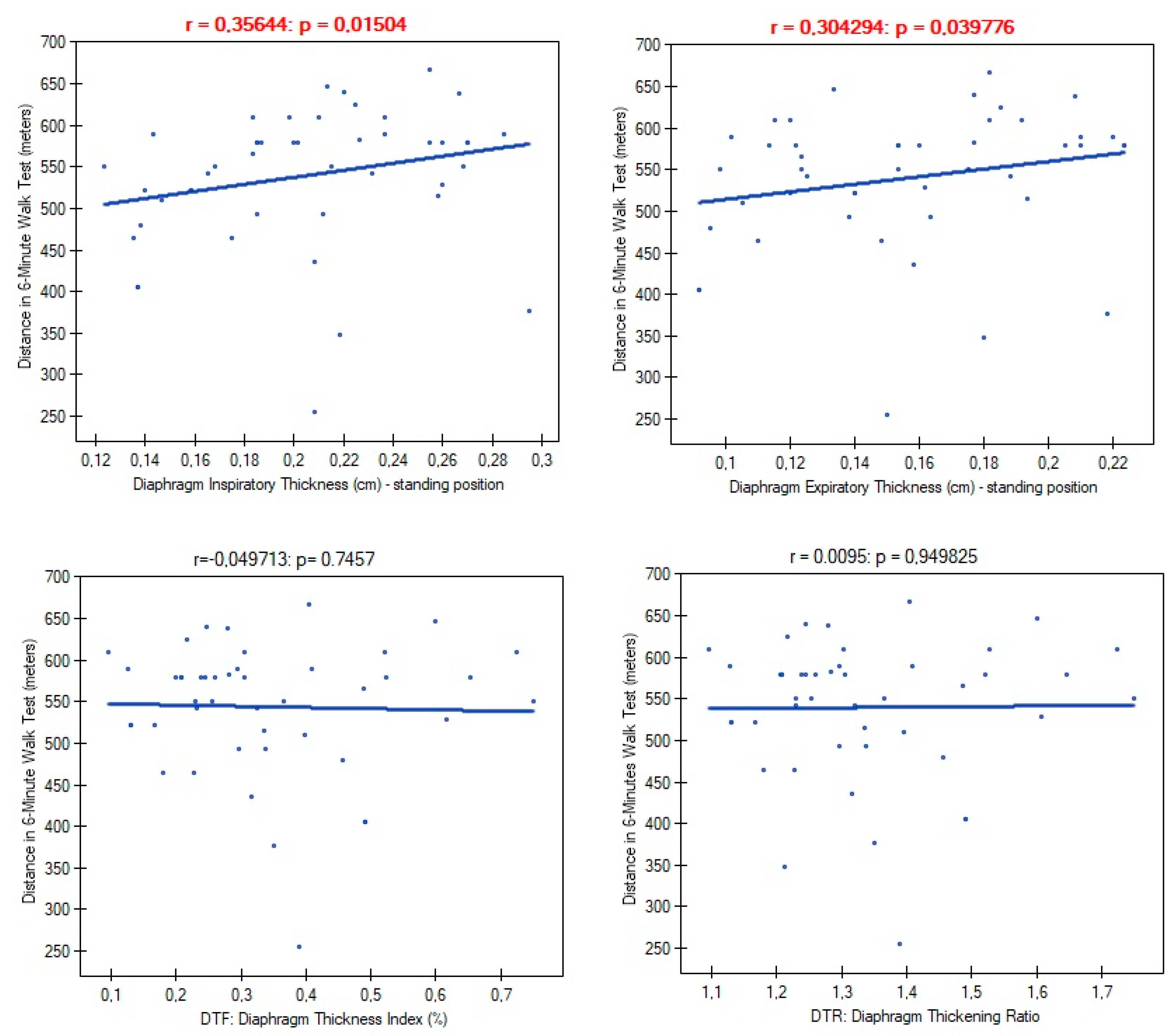
3. Results
4. Discussion
5. Conclusions
Author Contributions
Funding
Institutional Review Board Statement
Informed Consent Statement
Data Availability Statement
Conflicts of Interest
References
- Kocjan, J.; Adamek, M.; Gzik-Zroska, B.; Czyżewski, D.; Rydel, M. Network of breathing. Multifunctional role of the diaphragm: a review. Adv Respir Med 2017, 85, 224–232. [Google Scholar] [PubMed]
- Bordoni, B.; Zanier, E. Anatomic connections of the diaphragm: influence of respiration on the body system. J Multidiscip Healthc 2013, 6, 281–291. [Google Scholar] [CrossRef] [PubMed]
- McCool, F.D.; Tzelepis, G.E. Dysfunction of the diaphragm. N Engl J Med. 2012, 366, 932–942. [Google Scholar] [CrossRef] [PubMed]
- Ricoy, J.; Rodríguez-Núñez, N.; Álvarez-Dobaño, J.M.; Toubes, M.E.; Riveiro, V.; Valdés, L. Diaphragmatic dysfunction. Pulmonology 2019, 25, 223–235. [Google Scholar] [CrossRef] [PubMed]
- Melero, M.J.; Mazzei, M.E.; Bergroth, B.; Cantardo, D.M.; Duarte, J.M.; Corti, M. Bilateral diaphragmatic paralysis in an HIV patient: Second reported case and literature review. Lung India. 2014, 31, 149–151. [Google Scholar] [PubMed]
- Huh, S.; Chung, J.H.; Kwon, H.J.; Ko, H.Y. Unilateral Diaphragm Paralysis Associated With Neurosyphilis: A Case Report. Ann Rehabil Med 2020, 44, 338–341. [Google Scholar] [CrossRef] [PubMed]
- Rudrappa, M.; Kokatnur, L.; Chernyshev, O. Neurological Respiratory Failure. Diseases 2018, 6, 7. [Google Scholar] [CrossRef] [PubMed]
- Betensley, A.D.; Jaffery, S.H.; Collins, H.; Sripathi, N.; Alabi, F. Bilateral diaphragmatic paralysis and related respiratory complications in a patient with West Nile virus infection. Thorax 2004, 59, 268–269. [Google Scholar] [CrossRef] [PubMed]
- Ratnayake, E.C.; Shivanthan, C.; Wijesiriwardena, B.C. Diaphragmatic paralysis: a rare consequence of dengue fever. BMC Infect Dis 2012, 12, 46. [Google Scholar] [CrossRef]
- Oike M, Naito T, Tsukada M, Kikuchi Y, Sakamoto N, Otsuki Y, et al. A case of diaphragmatic paralysis complicated by herpes-zoster virus infection. Intern Med 2012, 51, 1259–1263. [CrossRef]
- van der Linden V, Lins OG, de Lima Petribu NC, de Melo ACMG, Moore J, Rasmussen SA, et al. Diaphragmatic paralysis: Evaluation in infants with congenital Zika syndrome. Birth Defects Res. 2019, 111, 1577–1583. [CrossRef] [PubMed]
- Fu L, Wang B, Yuan T, Chen X, Ao Y, Fitzpatrick T, et al. Clinical characteristics of coronavirus disease 2019 (COVID-19) in China: A systematic review and meta-analysis. J Infect 2020, 80, 656–665. [CrossRef] [PubMed]
- Jacobs LG, Gourna Paleoudis E, Lesky-Di Bari D, Nyirenda T, Friedman T, Gupta A, et al. Persistence of symptoms and quality of life at 35 days after hospitalization for COVID-19 infection. PLoS One 2020, 15, e0243882.
- Malik P, Patel K, Pinto C, Jaiswal R, Tirupathi R, Pillai S, et al. Post-acute COVID-19 syndrome (PCS) and health-related quality of life (HRQoL)-A systematic review and meta-analysis. J Med Virol 2022, 94, 253–262. [CrossRef] [PubMed]
- Halpin SJ, McIvor C, Whyatt G, Adams A, Harvey O, McLean L, et al. Postdischarge symptoms and rehabilitation needs in survivors of COVID-19 infection: A cross-sectional evaluation. J Med Virol 2021, 93, 1013–1022. [CrossRef] [PubMed]
- Sarwal, A.; Walker, F.O.; Cartwright, M.S. Neuromuscular ultrasound for evaluation of the diaphragm. Muscle Nerve 2013, 47, 319–329. [Google Scholar] [CrossRef] [PubMed]
- Boussuges, A.; Rives, S.; Finance, J.; Brégeon, F. Assessment of diaphragmatic function by ultrasonography: Current approach and perspectives. World J Clin Cases 2020, 8, 2408–2424. [Google Scholar] [CrossRef]
- Pinto, S.; Pinto, A.; de Carvalho, M. Phrenic nerve studies predict survival in amyotrophic lateral sclerosis. Clin Neurophysiol 2012, 123, 2454–2459. [Google Scholar] [CrossRef]
- Cardenas, L.Z.; Santana, P.V.; Caruso, P.; Ribeiro de Carvalho, C.R.; Pereira de Albuquerque, A.L. Diaphragmatic Ultrasound Correlates with Inspiratory Muscle Strength and Pulmonary Function in Healthy Subjects. Ultrasound Med Biol 2018, 44, 786–793. [Google Scholar] [CrossRef]
- Houston, J.G.; Fleet, M.; Cowan, M.D.; McMillan, N.C. Comparison of ultrasound with fluoroscopy in the assessment of suspected hemidiaphragmatic movement abnormality. Clin Radiol 1995, 50, 95–98. [Google Scholar] [CrossRef]
- Mahler, D.A.; Wells, C.K. Evaluation of clinical methods for rating dyspnea. Chest 1988, 93, 580–586. [Google Scholar] [CrossRef] [PubMed]
- Singh SJ, Puhan MA, Andrianopoulos V, Hernandes NA, Mitchell KE, Hill CJ, et al. An official systematic review of the European Respiratory Society/American Thoracic Society: measurement properties of field walking tests in chronic respiratory disease. Eur Respir J 2014, 44, 1447–1478. [CrossRef] [PubMed]
- Ainsworth BE, Haskell WL, Whitt MC, Irwin ML, Swartz AM, Strath SJ, et al. Compendium of physical activities: an update of activity codes and MET intensities. Med Sci Sports Exerc 2000, 32, S498–S504. [CrossRef] [PubMed]
- Imamović A, Wagner D, Lindenmann J, Fink-Neuböck N, Sauseng S, Bajric T, et al. Life threatening rupture of the diaphragm after Covid 19 pneumonia: a case report. J Cardiothorac Surg 2022, 17, 145. [CrossRef] [PubMed]
- Shi Z, de Vries HJ, Vlaar APJ, van der Hoeven J, Boon RA, Heunks LMA, et al. Dutch COVID-19 Diaphragm Investigators. Diaphragm Pathology in Critically Ill Patients With COVID-19 and Postmortem Findings From 3 Medical Centers. JAMA Intern Med 2021, 181, 122–124. [CrossRef] [PubMed]
- de Boer W, Veldman C, Steenbruggen I, Patberg KW, Van Den Berg J. Diaphragm strength in COVID-19 patients and breathlessness. Eur Respir J 2021, 58, OA4344.
- Formenti P, Umbrello M, Castagna V, Cenci S, Bichi F, Pozzi T, et al. Respiratory and peripheral muscular ultrasound characteristics in ICU COVID 19 ARDS patients. J Crit Care 2022, 67, 14–20. [CrossRef] [PubMed]
- FitzMaurice, T.S.; McCann, C.; Walshaw, M.; Greenwood, J. Unilateral diaphragm paralysis with COVID-19 infection. BMJ Case Rep 2021, 14, e243115. [Google Scholar] [CrossRef] [PubMed]
- Shahid, M.; Ali Nasir, S.; Shahid, O.; Nasir, S.A.; Khan, M.W. Unilateral Diaphragmatic Paralysis in a Patient With COVID-19 Pneumonia. Cureus 2021, 13, e19322. [Google Scholar] [CrossRef]
- Dandawate, N.; Humphreys, C.; Gordan, P.; Okin, D. Diaphragmatic paralysis in COVID-19: a rare cause of postacute sequelae of COVID-19 dyspnoea. BMJ Case Rep 2021, 14, e246668. [Google Scholar] [CrossRef]
- Gill, C.; Garg, A.; Fakih, R.; Hamzeh, N.Y. Bilateral diaphragmatic dysfunction: A cause of persistent dyspnea in patients with post-acute sequelae of SARS-CoV-2. SAGE Open Medical Case Reports. 2022, 10. [Google Scholar] [CrossRef]
- Borroni B, Gazzina S, Dono F, Mazzoleni V, Liberini P, Carrarini C, et al. Diaphragmatic myoclonus due to SARS-CoV-2 infection. Neurol Sci 2020, 41, 3471–3474. [CrossRef] [PubMed]
- Satici, C.; Aydin, S.; Tuna, L.; Köybasi, G.; Koşar, F. Electromyographic and Sonographic Assessment of Diaphragm Dysfunction in Patients Who Recovered from the COVID-19 Pneumonia. Tuberk Toraks 2021, 69, 425–428. [Google Scholar] [CrossRef] [PubMed]
- Helmy, M.A.; Magdy Milad, L.; Osman, S.H.; Ali, M.A.; Hasanin, A. Diaphragmatic excursion: A possible key player for predicting successful weaning in patients with severe COVID-19. Anaesth Crit Care Pain Med 2021, 40, 100875. [Google Scholar] [CrossRef] [PubMed]
- Umbrello M, Guglielmetti L, Formenti P, Antonucci E, Cereghini S, Filardo C, et al. Qualitative and quantitative muscle ultrasound changes in patients with COVID-19-related ARDS. Nutrition 2021, 91–92, 111449. [CrossRef] [PubMed]
- Corradi F, Vetrugno L, Orso D, Bove T, Schreiber A, Boero E, et al. Diaphragmatic thickening fraction as a potential predictor of response to continuous positive airway pressure ventilation in Covid-19 pneumonia: A single-center pilot study. Respir Physiol Neurobiol 2021, 284, 103585.
- Corradi F, Isirdi A, Malacarne P, Santori G, Barbieri G, Romei C, et al. UCARE (Ultrasound in Critical care and Anesthesia Research Group). Low diaphragm muscle mass predicts adverse outcome in patients hospitalized for COVID-19 pneumonia: an exploratory pilot study. Minerva Anestesiol 2021, 87, 432–438.
- van Steveninck AL, Imming LM. Diaphragm dysfunction prior to intubation in a patient with Covid-19 pneumonia; assessment by point of care ultrasound and potential implications for patient monitoring. Respir Med Case Rep 2020, 31, 101284.
- Farr E, Wolfe AR, Deshmukh S, Rydberg L, Soriano R, Walter JM, et al. Diaphragm dysfunction in severe COVID-19 as determined by neuromuscular ultrasound. Ann Clin Transl Neurol 2021, 8, 1745–1749. [CrossRef] [PubMed]
- Mittal, A.; Dua, A.; Gupta, S.; Injeti, E. A research update: Significance of cytokine storm and diaphragm in COVID-19. Curr Res Pharmacol Drug Discov 2021, 2, 100031. [Google Scholar] [CrossRef]






| Variables | M ± SD [95% CI] or N(%) |
|
Age (years): <40 yo 41-50 yo 51-60 yo 61-70 yo >70 yo |
58.24 ± 10.70 [55.02-61.46] 2 (4.44%) 9 (20.0%) 16 (35.55) 13 (28.88%) 5 (11.11%) |
|
Gender: male female |
20 (43.47%) 26 (56.52%) |
| Height (cm) | 1.67 ± 0.08 [1.64 - 1.69] |
| Weight (kg) | 79.64 ± 16.50 [74.73 - 84.54] |
|
BMI (points): 18.50-24.99 (normal weight) 25.00-29.99 (overweight) >30.00 (obesity) |
28.42 ± 4.83 [26.98 - 29.85] 11 (23.91%) 17 (36.95%) 23 (50.0%) |
|
COVID-19 symptoms: lack of symptoms cough fever dyspnoe loss of smell loss of taste chest pain neck pain vomiting reflux general muscle pain intercostal pain mean number of symptoms per patient |
0 (0.0%) 29 (63.04%) 33 (71.73%) 33 (71.73%) 24 (52.17%) 23 (50.0%) 20 (43.47%) 8 (17.39%) 5 (10.87%) 1 (2.17%) 30 (65.21%) 10 (21.73%) 4.80 ± 1.83 (4.25 - 5.34] |
| COVID-19 symptoms duration time (weeks): | 3.76 ± 2.59 [2.99 - 4.53] |
| Time since recovery to start physiotherapy (weeks): | 26.65 ± 9.98 [22.68 - 28.61] |
|
severity of covid disease : asymptomatic mild moderate severe critical |
0 (0%) 12 (26.09%) 31 (67.39%) 3 (6.52%) 0 (0%) |
|
oxygen therapy use during COVID-19 course: yes no |
21 (45.65%) 25 (54.35%) |
|
mMRC scale (points): grade 0 grade 1 grade 2 grade 3 |
1.24 ± 0.80 [1.00 - 1.48] 14 (30.43%) 20 (43.48%) 10 (21.74%) 2 (4.35%) |
| 6-minute walk test distance (meters): | 539.60 ± 83.29 [514.87 - 564.34] |
|
Borg scale (points): fatigue dyspnoe |
2.65 ± 1.05 [2.33 - 2.96] 1.91 ± 1.47 [1.47 - 2.35] |
|
Saturation: before 6MWT after 6MWT |
95.51 + 1.78 [94.68 - 95.74] 95.41 + 1.90 [94.84 - 95.97] |
| MET (ml O2/min/kg ): | 7.35 ±1.92 [6.78 - 7.93] |
| Variables | supine position | standing position | p-value | |
| Diaphragm Inspiratory Thickness [cm] |
left | 0.219 ± 0.052 (0.204 - 0.235) |
0.201 ± 0.047 (0.187 - 0.216) |
<0.001 |
| right | 0.228 ± 0.049 (0.213 - 0.242) |
0.208 ± 0.046 (0.194 - 0.222) |
<0.001 | |
| p-value | 0.085 | 0.089 | - | |
| Diaphragm Expiratory Thickness [cm] |
left | 0.163 ± 0.040 (0.151 - 0.175) |
0.153 ± 0.039 (0.141 - 0.165) |
0.121 |
| right | 0.167 ± 0.040 (0.155 - 0.179) |
0.157 ± 0.039 (0.145 - 0.169) |
0.113 | |
| p-value | 0.121 | 0.093 | - | |
| Diaphragm Thickness Fraction (DTF) [%] |
left | 36.26 ± 18.72 (30.70 - 41.82) |
33.03 ± 15.77 (28.34 - 37.71) |
0.118 |
| right | 38.69 ± 18.99 (33.05 - 44.33) |
34.42 ± 18.30 (28.98 - 39.85) |
0.087 | |
| p-value | 0.159 | 0.439 | - | |
| Diaphragm Thickening Ratio (DTR) |
left | 1.367 ± 0.186 (1.311 - 1.423) |
1.332 ± 0.158 (1.284 - 1.380) |
0.096 |
| right | 1.390 ± 0.190 (1.332 - 1.447) |
1.347 ± 0.183 (1.292 - 1.402) |
0.093 | |
| p-value | 0.197 | 0.420 | - | |
| Variables | Saturation before 6MWT | Saturation after 6MWT | Borg scale: fatigue | Borg scale: dyspnoea | MET | |
| ThIns | r | -0.021 | -0.020 | -0.534 | -0.417 | 0.323 |
| p-value | 0.8848 | 0.8914 | 0.0001 | 0.0038 | 0.0281 | |
| ThExp | r | -0.083 | -0.128 | -0.362 | -0.302 | 0.277 |
| p-value | 0.5814 | 0.3959 | 0.0134 | 0.0409 | 0.0615 | |
| DTF | r | 0.171 | 0.334 | -0.129 | -0.077 | -0.0541 |
| p-value | 0.2598 | 0.0248 | 0.3954 | 0.6117 | 0.7239 | |
| DTR | r | 0.163 | 0.324 | -0.138 | -0.098 | -0.013 |
| p-value | 0.2782 | 0.0280 | 0.3596 | 0.5129 | 0.9290 | |
Disclaimer/Publisher’s Note: The statements, opinions and data contained in all publications are solely those of the individual author(s) and contributor(s) and not of MDPI and/or the editor(s). MDPI and/or the editor(s) disclaim responsibility for any injury to people or property resulting from any ideas, methods, instructions or products referred to in the content. |
© 2024 by the authors. Licensee MDPI, Basel, Switzerland. This article is an open access article distributed under the terms and conditions of the Creative Commons Attribution (CC BY) license (http://creativecommons.org/licenses/by/4.0/).