Submitted:
14 June 2024
Posted:
17 June 2024
You are already at the latest version
Abstract
Keywords:
1. Introduction
2. Theoretical Analysis Procedures
2.1. Fluid Lubrication Equations
2.2. Foil Deformation Equation
2.3. Dynamic Characteristics Calculation
3. Results
3.1. Structure Parameters of Foil Thrust Bearing
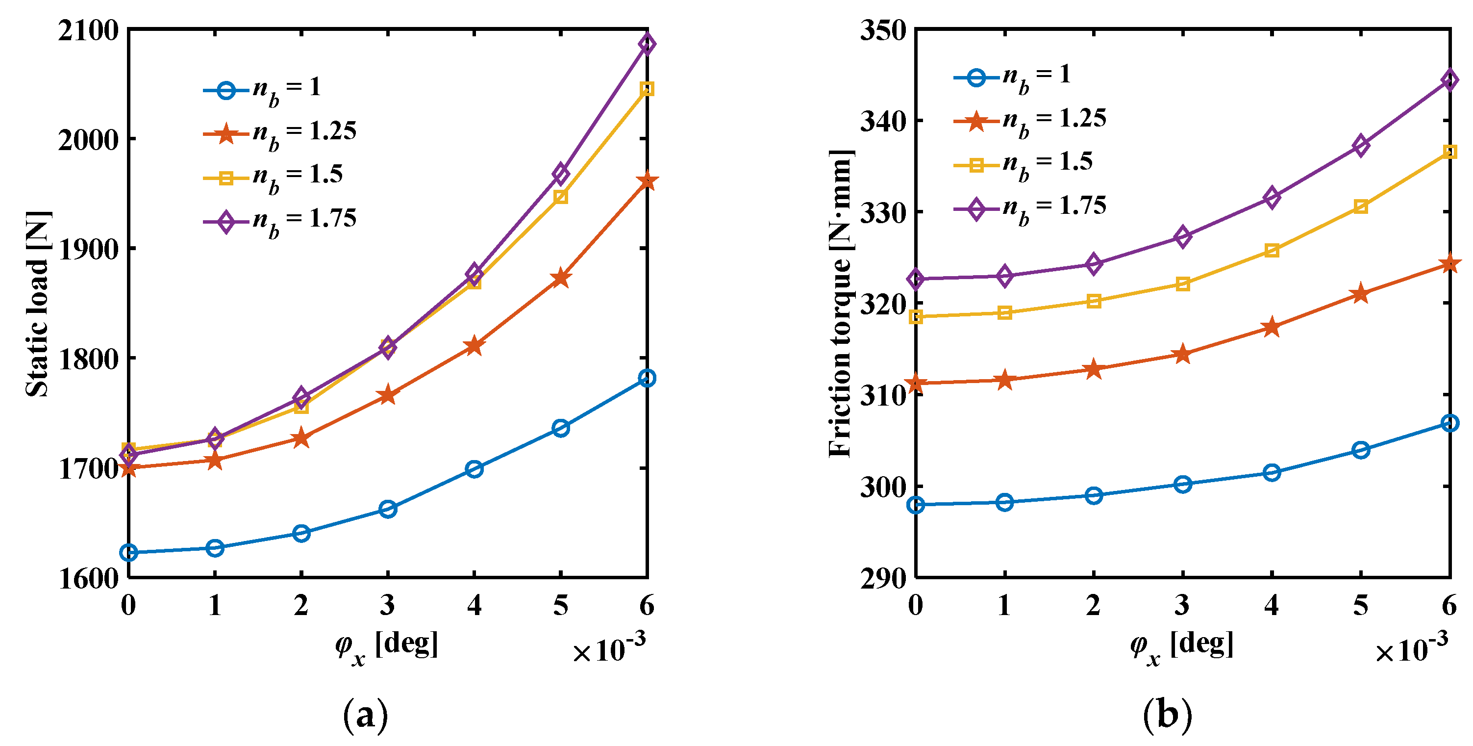
3.2. Static Characteristics Analysis
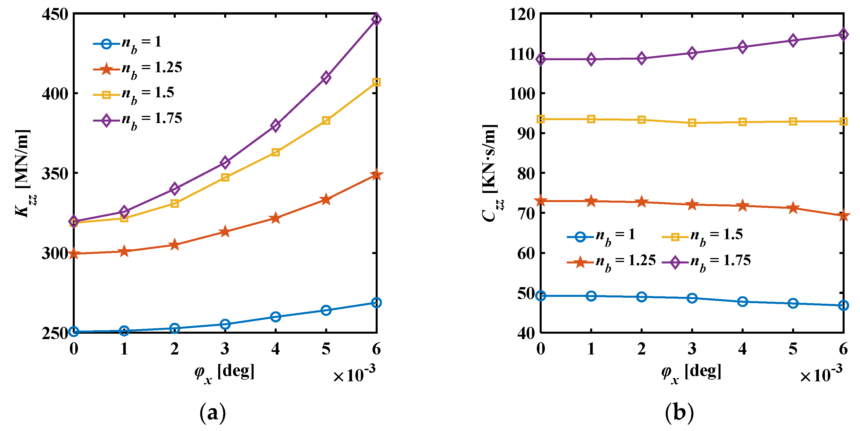
3.3. Dynamic Characteristics Analysis
4. Conclusions
Author Contributions
Funding
Data Availability Statement
Conflicts of Interest
Nomenclature
| b | Pitch ratio |
| Cij | Dynamic damping coefficients (i, j=z,,) |
| E | Young’s modulus [Pa] |
| Fload | Static load [N] |
| g | Wedge surface clearance [m] |
| h | Film thickness [m] |
| hb | Foil height [m] |
| h1 | Inlet film thickness [m] |
| h2 | Outlet film thickness [m] |
| ht | Wedge height [m] |
| Tilt clearance thickness caused by rotor misalignment [m] | |
| H | Dimensionless film thickness |
| Kij | Dynamic stiffness coefficients (i, j=z,,) |
| Kf | Overall stiffness matrix [N/m] |
| Kt | Top foil stiffness matrix [N/m] |
| Kv | Effective stiffness matrix of the foil [N/m] |
| lb | Half bump length [m] |
| nb | Wave foil thickness ratio |
| N | Film thickness ratio (h1/h2) |
| p | Film pressure [Pa] |
| P | Dimensionless film pressure |
| Ps | Supply pressure [Pa] |
| P0 | Steady-state dimensionless film pressure |
| Perturbation pressure (=z,,) | |
| r | Axial coordinate [m] |
| r1 | Inner diameter of the thrust pad [m] |
| r2 | Outer diameter of the thrust pad [m] |
| t | Time variable [s] |
| Dimensionless time variable | |
| Foil thickness [m] | |
| Top foil thickness [m] | |
| Tc | Friction torque [N·m] |
| z | Axial coordinate [m] |
| Angular range of the top foil and bump foil [°] | |
| Foil deformation [m] | |
| Dimensionless foil deformation | |
| Coefficient of friction between the bump foil and the top foil | |
| Excitation frequency ratio | |
| Bearing number, | |
| Coefficient of friction between the bump foil and the bearing housing | |
| Dynamic viscosity of liquid nitrogen [Pa·s] | |
| Poisson’s ratio of the top foil and bump foil | |
| Angular speed of the shaft [rad/s] | |
| Excitation frequency [rad/s] | |
![]() |
Circumferential coordinate [°] |
| Tilt angle in the X-axis direction [°] | |
| Tilt angle in the Y-axis direction [°] |
References
- Okayasy, A.; Ohta, T.; Kamijyo, A.; Yamada, H. Key technology for reusable rocket engine turbopump. Acta Astronaut. 2002, 50, 351–355. [Google Scholar] [CrossRef]
- Lance, A.D. First stage recovery. Engineering 2016, 2, 152–153. [Google Scholar]
- Baiocco, P. Overview of reusable space systems with a look to technology aspects. Acta Astronaut. 2021, 189, 10–25. [Google Scholar] [CrossRef]
- Baiocco, P.; Bonnal, Ch. Technology demonstration for reusable launchers. Acta Astronaut. 2016, 120, 43–58. [Google Scholar] [CrossRef]
- Xu, J.; Li, C.; Miao, X.; Zhang, C.; Yuan, X. An overview of bearing candidates for the next generation of reusable liquid rocket turbopumps. Chin. J. Mech. Eng. 2020, 33, 26. [Google Scholar] [CrossRef]
- Xu, J.; Zhang, C.; Wang, J.; Wang, W. Experimental investigations of novel compound bearing of superconducting magnetic field and hydrodynamic fluid field. IEEE T. Appl. Supercon. 2020, 30, 3600407. [Google Scholar] [CrossRef]
- Nosaka, M.; Takada, S.; Kikuchi, M.; Sudo, T.; Yoshida, M. Ultra-high-speed performance of ball bearings and annular seals in liquid hydrogen at up to o 3 million DN (120000 rpm). Tribol. T. 2004, 47, 43–53. [Google Scholar] [CrossRef]
- Lv, F.; Shangguan, Y.; Zou, D.; Ji, A. Transient mixed-lubrication analysis of low-viscosity lubricated bearings under impact load with consideration of turbulence. Phys. Fluids 2022, 34, 033108. [Google Scholar] [CrossRef]
- Deng, X. Study of temperature drop region in transitional region in fluid-film thrust bearings. J. Fluids Eng. –T. ASME 2024, 146, 121201. [Google Scholar] [CrossRef]
- Deng, X. A mixed zero-equation and one-equation turbulence model in fluid-film thrust bearings. J. Tribol.-T. ASME 2024, 146, 034101. [Google Scholar] [CrossRef]
- Deng, X.; Harrison, G.; Roger, F.; Houston, W. Methodology of turbulence parameter correction in water-lubricated thrust bearings. J. Fluids Eng. –T. ASME 2019, 141, 070014. [Google Scholar] [CrossRef]
- Deng, X.; Brian, W.; Cori, W.; Michael, B.; Houston, W.; Roger, F. Modeling Reichardt’s formula for eddy viscosity in the fluid film of tilting pad thrust bearings. J. Eng. Gas Turb. Power 2018, 140, 082505. [Google Scholar] [CrossRef]
- Hannum, N.; Nielson, C. The performance and application of high speed long life hybrid bearings for reusable rocket engine turbomachinery. In Proceedings of the 19th Joint Propulsion Conference cosponsored by the AIAA, SAE and ASME, Seattle, USA, 198.
- Ohta, T.; Kitamura, A.; Ogata, H. LH<sub>2</sub> turbopump test with hydrostatic bearing. Proceedings of 35th AIAA/ASME/SAE/ASEE Joint Propulsion Conference and Exhibit, California, USA; 1999. [Google Scholar]
- ayolle, P.; Lambert, P-A.; Gelain, P.; Fonteyn, P.; Olofsson, H.; Ore, S.; Supie, P.; Dehouve, J. Major achievements reached through TPX LH<sub>2</sub>-turbopump demonstration program. In Proceedings of the 47th AIAA/ASME/SAE/ASEE Joint Propulsion Conference & Exhibit, California, 2011.
- Mertz, D.H. Lift-off performance in flexure pivot pad and hybrid bearing. Master-Texas A&M University, Texas, 2008.
- Xu, J.; Chen, R.; Hong, H.; Yuan, X.; Zhang, C. Static characteristics of high-temperature superconductor and hydrodynamic fluid-film compound bearing for rocket engine. IEEE T. Appl. Supercon. 2015, 25, 3601908. [Google Scholar] [CrossRef]
- Xu, J.; Yuan, X.; Zhang, C.; Miao, X. Dynamic characteristics of high-Tc superconductor and hydrodynamic fluid-film compound bearing for rocket engine. IEEE T. Appl. Supercon. 2016, 26, 3600505. [Google Scholar]
- A feasibility study on the use of foil bearings in cryogenic turbopumps. In Proceedings of 27th AIAA/SAE/ASME/ASEE Joint Conference, California, USA, 1991.
- Guo, Z.; Feng, K.; Liu, T.; Lyu, P.; Zhang, T. Nonlinear dynamic analysis of rigid rotor supported by gas foil bearings: Effects of gas film and foil structure on subsynchronous vibrations. Mech. Syst. Signal. Pr. 2018, 107, 549–566. [Google Scholar] [CrossRef]
- Gu, A. Cryogenic foil bearing turbopumps. In Proceedings of 32nd Aerospace Sciences Meeting & Exhibit, Nevada, USA, 1994.
- Guan, H.; Li, J.; Wei, K.; Zou, H. Rotordynamics of a rotor radially and axially supported by active bump-type foil bearings and bump-type thrust bearings. Mech. Syst. Signal. Pr. 2024, 208, 110995. [Google Scholar] [CrossRef]
- Shi, J.; Cao, H.; Jin, X. Investigation on the static and dynamic characteristics of 3-DOF aerostatic thrust bearings with orifice restrictor. Tribol. Int. 2019, 138, 435–449. [Google Scholar] [CrossRef]
- Xu, Z.; Li, C.; Du, J.; Li, J.; Wang, Y. Load-carrying characteristics of bump-type gas foil thrust bearings. Int. J. Mech. Sci. 2023, 244, 108080. [Google Scholar] [CrossRef]
- Chen, R.; Zhao, Y.; Yao, J.; Wang, Z. Research on the performance of foil bearings under dynamic disturbances. Tribol. Int. 2022, 174, 107744. [Google Scholar] [CrossRef]
- Feng, K.; Liu, L.J.; Guo, Z.Y.; Zhao, X.Y. Parametric study on static and dynamic characteristics of bump-type gas foil thrust bearing for oil-free turbomachinery. P. I. Mech. Eng. J. –J. Eng. 2016, 230, 944–961. [Google Scholar] [CrossRef]
- Somaya, K.; Kishino, T.; Miyatake, M.; Yoshimoto, S. Static characteristics of small aerodynamic foil thrust bearings operated up to 350,000 r/min. P. I. Mech. Eng. J. –J. Eng. 2014, 228, 928–936. [Google Scholar] [CrossRef]
- Lee, D.; Kim, D. Design and performance prediction of hybrid air foil thrust bearings. J. Eng. Gas Turb. Power 2011, 133, 042501. [Google Scholar] [CrossRef]
- LaTray, N.; Kim, D. Design of novel gas foil thrust bearings and test validation in a high-speed test rig. J. Tribol.-T. ASME 2020, 142, 071803. [Google Scholar] [CrossRef]
- Li, C.; Du, J.; Yao, Y. Modeling of a multi-layer foil gas thrust bearing and its load carrying mechanism study. Tribol. Int. 2017, 114, 172–185. [Google Scholar] [CrossRef]
- Guo, Y.; Hou, Y.; Wang, Y.; Zhao, Q.; Zheng, Y.; Lai, T. Numerical analysis of aerodynamic lubricated double-decked protuberant foil thrust bearing. J. Adv. Mech. Des. Syst. 2019, 13, JAMDSM0056. [Google Scholar] [CrossRef]
- Lee, D.; Kim, D. Three-dimensional thermohydrodynamic analyses of Rayleigh step air foil bearing with radially arranged bump foils. Tribol. T. 2011, 54, 432–448. [Google Scholar] [CrossRef]
- Gad, A.M.; Kaneko, S. Performance characteristics of gas-lubricated bump-type foil thrust bearing. P. I. Mech. Eng. J. –J. Eng. 2015, 229, 746–762. [Google Scholar] [CrossRef]
- Gad, A.M. On the performance of foil thrust bearing with misaligned bearing runner. Ind. Lubr. Tribol. 2017, 69, 105–115. [Google Scholar] [CrossRef]
- Feng, K.; Kaneko, S. Analytical model of bump-type foil bearings using a link-spring structure and a finite-element shell mode. J. Tribol.-T. ASME 2010, 132, 021706. [Google Scholar] [CrossRef]
- Jang, G.H.; Kim, Y.J. Calculation of dynamic coefficients in a hydrodynamic bearing considering five degrees of freedom for a general rotor-bearing system. J. Tribol.-T. ASME 1999, 121, 499–505. [Google Scholar] [CrossRef]
















| Parameter | Value |
|---|---|
| Inner radius /mm | 25.4 |
| Outer radius /mm | 50.8 |
| Number of bearing pads | 6 |
| Top foil and bump foil angular extent | 60° |
| Pitch ratio b | 0.5 |
| Number of bumps | 12 |
| Half bump length /mm | 0.9 |
| Bump height /mm | 0.4 |
| Top foil thickness /mm | 0.1016 |
| Bump foil thickness /mm | 0.1016 |
| Young’s modulus /GPa | 214 |
| Poisson’s ratio of bump foil and top foil | 0.29 |
| Dynamic viscosity of liquid nitrogen, μ0/μPa·s | 160.7 |
| Supply pressure Ps/MPa | 1 |
Disclaimer/Publisher’s Note: The statements, opinions and data contained in all publications are solely those of the individual author(s) and contributor(s) and not of MDPI and/or the editor(s). MDPI and/or the editor(s) disclaim responsibility for any injury to people or property resulting from any ideas, methods, instructions or products referred to in the content. |
© 2024 by the authors. Licensee MDPI, Basel, Switzerland. This article is an open access article distributed under the terms and conditions of the Creative Commons Attribution (CC BY) license (http://creativecommons.org/licenses/by/4.0/).
