Preprint
Article

This version is not peer-reviewed.

Coulometric Titration as a Tool to Compare the Antioxidant Capacity of Selenium and Sulfur Containing Substances and Selenocystine Mimetic Properties

Submitted:

12 June 2024

Posted:

13 June 2024

You are already at the latest version

Abstract
Sulfur and selenium-containing organic compounds (amino acids and xenobiotics) have received interests as potential medicines, sources of the selenium and antioxidants. The purpose of the study was to comparatively investigate the antioxidant capacity of sulfur- and selenium-containing amino acids, xenobiotics and the study of possible mimetic properties of selenocystine. To evaluate the antioxidant capacity, coulometric oxidation with electrogenerated bromine was used. Methionine, cystine and selenocystine react with bromine quickly and quantitatively. Diacetophenonyl selenide, ebselen and selenopyran are oxidized nonstoichiometrically, but show high antioxidant capacity. We hypothesized that selenium xenobiotcs might be exert prolonged antioxidant effect. Conditions have been optimized to determine antioxidant capacity of selenium and sulfur substances in water and methanol. We proposed theory and reactions schemes for the interaction of bromine with methionine, cystine, selenocystine diacetophenonylselenide, ebselen, thiopyran and selenopyran. Antioxidant capacities in both water and methanol decrease in the following order: L-cystine > L-selenocystine > methionine. Sulfur-containing substances in methanol show higher antioxidant capacity than selenium-containing antioxidants. Among selenium-containing xenobiotics, DAPS shows the highest antioxidant capacity (comparable to cystine). Selenopyran and ebselen are less active as antioxidants. Diselenide bond is a selenocystin chromophore for its UV-assay. For the first time we demonstrated the ability of selenocystine to be actively involved in redox reactions and to act as a mimetic, a low-molecular-weight analogue of glutathione peroxidase.
Keywords: 
;  ;  ;  ;  ;  

1. Introduction

Resistance to oxidative stress plays an important role in maintaining homeostasis in living organisms. Oxidation and the resulting reactive oxygen species (ROS) are important for the many important physiological functions of lipids, membrane-bound enzymes, ion transport, energy-producing processes, DNA replication. In contrast, an excess of free radicals leads to damage important biomolecules, nucleic acids, cell membranes [1]. In humans, the oxidative stress has been associated with cardiovascular, oncological and neurodegenerative diseases [2,3,4].
In a live cells ROS concentrations are controlled and balanced through enzymatic and nonenzymatic complexes. Enzymatic antioxidant system includes superoxide dismutase, catalase, glutathione peroxidase, etc., nonenzymatic antioxidants include low molecular weight substances produced in the body (glutathione, cysteine, coenzyme Q) and exogenous compounds derived from natural sources (vitamins, flavonoids, etc.) [5]. Nonenzymatic in turn can be divided into five groups: proton donors, polyenes, catalysts (antioxidant enzyme mimetics), radical scavengers, complexing agents [6]. Antioxidants also act as direct and indirect. Chemical compounds with antioxidant properties have therapeutic potential and can be used for the treatment of many pathologies, including myocardial infarction, atherosclerosis, coronary heart disease, cataracts, and liver diseases [7].
Currently, the growing interest is observed in the antioxidant properties of organic xenobiotics and amino acids [8]. Natural amino acids, their derivatives, sulfur and selenium containing xenobiotics are promising compounds as for their effect to influence on the particular free radical defense. Selenium-containing antioxidants have been less explored, although the studies show the ebselen and selenocystine can be an effective scavenger of organic hydroperoxides [9]. Selenocysteine with a selenol group (-SeH) can act as a proton donor (to form selenyl radicals), iron chelator, and glutathione peroxidase mimic and so is effective for protection from lipid peroxidation.
The purpose of the study was to comparatively investigate the antioxidant capacity of sulfur- and selenium-containing amino acids, xenobiotics and the study of possible the mimetic properties of selenocystin. We developed the conditions for direct coulometric titration to access the antioxidant capacity of sulfur-and selenium-containing compounds with electrogenerated bromine in aqueous and methanol solutions and provided theoretical bases of their oxidation.
Antioxidant capacity was determined as the amount of electricity, total charge (C) spent on titration of 10 μmol of the test substance.In our study reversible coulometric oxidation and subsequent reduction by sodium borohydride of selenocystine was used as a marker of in vivo mimetic properties.

2. Results

Coulometric titration of sulfur- and selenium-containing amino acids was carried out with electrogenerated bromine. Electrooxidation of bromide ions on a platinum electrode in acidic media can lead to the formation of oxidizers - Br3-, Br2, as well as short–lived bromine radicals (Br*) adsorbed on the surface of the platinum electrode [10]. The resulting bromine and bromine-containing compounds easily enter into radical, redox, electrophilic aromatic substitution, and addition reactions [11]. Coulorimetric titration can be performed in different solvents, pH, to test and compare different antioxidants. Aminoacids have been examined in water solutions, nonpolar selenium-containing xenobiotics – in methanol.
At the beginning, controlled-current coulometry of aminoacids were carried out in aqueous solution at 5.0 mA [12]. Then to compare the antioxidant properties of selenium- and sulfur-containing substances, bromine was electrogenerated in 85% methanol at 50 mA [13]. The current has been increased to minimize adverse reactions and the duration of the analysis.
In coulometric titration (controlled-current coulometry) the endpoint indication is effected voltametrically by modulating an alternating current of constant strength to a double Pt electrode. This results in a voltage differential between the Pt wires. This is drastically reduced as the free bromine are present (Figure 1).
L-Methionine antioxidant capacity. In vivo oxidation of methionine into sulfoxide (Met-O), can regulate protein functions. L-Methionine can be reduced back by L-methionine sulfoxide reductases, so the reversible methionine oxidation plays an important role in protecting cells against oxidative stress and damage [14,15]. L-Methionine reversible redox cycle have been implicated in regulation of aging process and impacts the lifespan [16,17].
Stoichiometric relationship between methionine and electrogenerated halogens (chlorine, bromine and iodine) are known [18]. Our coulometric titration with bromine was in good agreement with those in the literature, so we used L-methionine as a reference substance to determine the electrochemical ratios of tested substances. The reaction of L-methionine with bromine proceeds in a ratio of 1:1 (2 electrons), to give amino acid sulfoxide (L-methionine sulfone) (Scheme 1).
We noted a slight less (10-14%) antioxidant capacity of methionine and amino acids, in the methanol electrolyte over in water solutions. This should be a result of possible alternative reactions with bromine in methanol and application of higher current to reduce the analysis time.
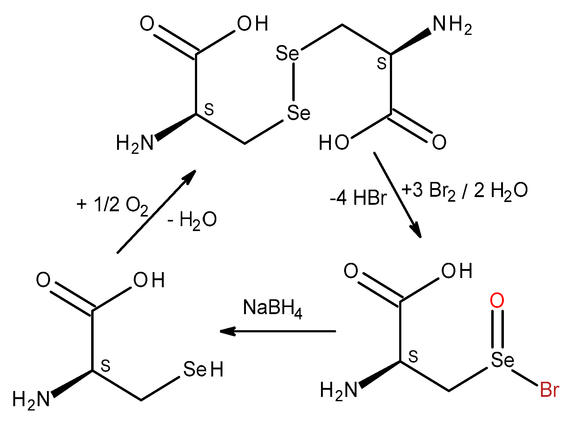
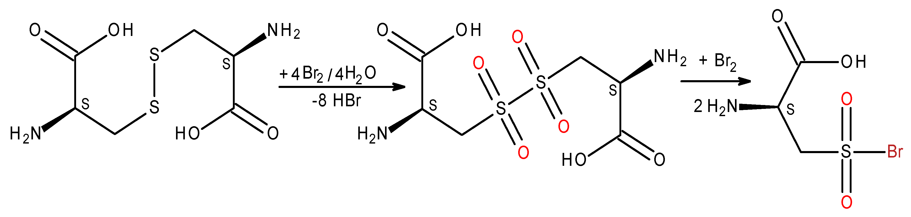
L-selenocysteine antioxidant capacity. L-selenocysteine/selenocystine is the 21st amino acid which forms catalytically active centre of glutathione peroxidases and essential for their activity [19]. The central functions of glutathione peroxidases are reduction of complex hydroperoxides, balance oxidative homeostasis in cells and protect them from oxidative damage. Electrochemical oxidation of selenocystine in which six electron-transfers were involved, yielded selenocystine selenoxide [20]. In our experiments L-Selenocystine reacts with electrogenerated bromine quickly and quantitatively in water and in methanol with the ratio selenocystine-bromine 1:3. The oxidation induces a transfer of six electrons which underlies the formation of 2-amino-3-bromosele ninylpropanoic acid (Scheme 2, Figure 1).
L-Cystine antioxidant capacity. L-Cystine is a protein sulfur-containing amino acid, participates in antioxidant defenses as a free radical scavenger and is involved in cell redox balance [21,22,23]. L-Cysteine is highly susceptible to oxidation, its oxidation occurs in two steps. Under the action of relatively weak oxidizer (iodine) cysteine is oxidized into cystine (dimer), whereas more strong oxidizer (electrogenerated bromine) yields disulfonacystine and 2-amino-3-bromosulfonylpropanoic acid.
The chemistry of L-cystine oxidation with bromine is consistent with the oxidation of disulfides to sulfoxides or further to sulfones [24], to form amino acid sulfone and 2-amino-3-bromosulfonylpropanoic acid as a products in the ratio of 1:5 (10 ē).
Scheme 3. Reaction of electrogenerated bromine with L-cystine.
Scheme 3. Reaction of electrogenerated bromine with L-cystine.
Preprints 109144 sch003
In our experiments after the endpoint of coulometric titration of cystine we saw an additional change in the Ox/Red potential which can be attributed to a new wave of oxidation. The first step on the cystine coulometry corresponds to oxidation to sulfoxide. At potentials of the second stage, further oxidation of the reaction products probably occurs (Figure 2).
Thus, in water solutions, the antioxidant capacity decreases in the following order: L-cystine>L-selenocystine > L-methionine (Figure 3).
Among the tested substances the greatest antioxidant capacity was recorded for L-cystine, its selenium analog L-selenocystine exhibited particularly lower values. The results are consistent with [25,26] where cysteine-sulfinic acid is also easily oxidized to sulfonic acid (Cys-SO3), whereas Sec-SeO2"resists" further oxidation into selenonic acid (Sec-SeO3). Such specific features can be explained by dual-functionalities of selenocystine to act both as anantioxidant and pro-oxidant. Selenium, unlike sulfur, is resistant to over-oxidation and can be reduced easily.
Selenium-containing xenobiotics – ebselen, selenopyran [27], diacetophenonyl selenide [28] – are both antioxidants and enzyme mimetics [29], can activate antioxidant defence in various organisms [30,31].
Ebselene antioxidant capacity. Ebselene (2-phenylbenzoselenazole-1,2-3(2h)-oh), a selenium–containing xenobiotic, effectively compensates the decrease in GPX activity and is considered as a potentially pharmacologically active molecule for the treatment of diseases associated with diabetes – atherosclerosis and nephropathy [32]. At the same time, the selenium in ebselen is not released and thus is not bioavailable [33]. In the adipose tissues it is present in the form of metabolites, which, under the action of GSH, are easily reduced to the initial ebselene [34]. Ebselene is oxidized by hydrogen peroxide accompanied by hydrolysis, so the oxidation does not stop at selenoxide, and leads to form selenic acid [35]. Ebselene exhibits radical-scavenging activity in the radical polymerization of methyl methacrylate, and can act in biological systems as a suppressor of polyunsaturated fatty acid radicals [36].
It was found that ebselen in coulometric cell reacts with electrogenerated bromine in a stoichiometric ratio between ebselen and bromine 1:1.6, i.e., induces a transfer of electrons ranging from 2 to 4, which underlies the formation of several alternative oxidation-bromination products (Scheme 4).
It should be noted that in constant-current coulometry of organic antioxidants, unlike amino acids, it is possible to determine the beginning of bromine generation on the coulometric titration curve (Figure 4).
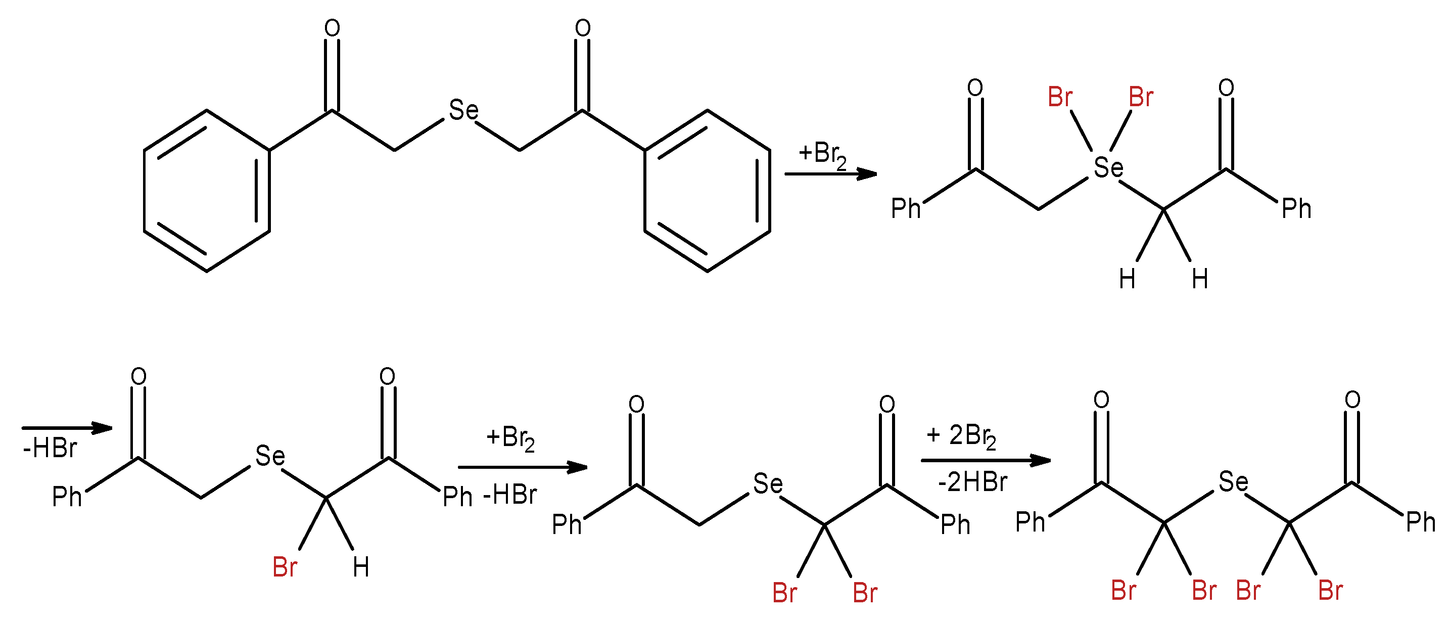
Diacetophenonyl selenide (DAPS-25, 1,5-diphenyl-3-selenapentadion-1,5) antioxidant capacity. The direct antioxidant activity of diacetophenonyl selenide was not tested so far, but its possibility to act in vivo as antioxidant enzymes activators and lipid peroxidation protector are discussed [37]. Zhukov et al investigated reaction of several 3-thio(selenium)pentane-1,5-diones and diacetophenonyl selenide in particular with PCl5 and found that carbonyl group was not affected. Sulfur-containing 1,5-diketones undergo rearrangement, forming the 2-chlorine derivatives, and their selenium-containing analogues, at any reagents ratios, form a stable 3,3-dichloro-3-selenapentane-1,5-dione [38].
In our experiment, diacetophenonyl selenide reacts with electrogenerated bromine in stoichiometric ratio between diacetophenonyl selenide and bromine of 1:4, which differs from the literature [38]. It is possible that bromination begins with the bromine attack on heteroatom (selenium) with further rearrangement, elimination of HBr and formation of alpha-substitution products (Scheme 5).
At the end of coulometric titration, an increase in the voltage was detected reflecting a decrease in the bromine in the solution (Figure 5). We believe that the reaction of diacetophenonyl selenide with bromine does not stop at alpha-bromination and is accompanied by electrophilic aromatic substitution in the benzene moiety.
The antioxidant capacity of diacetophenonyl selenide is superior to ebselene and selenopyran.
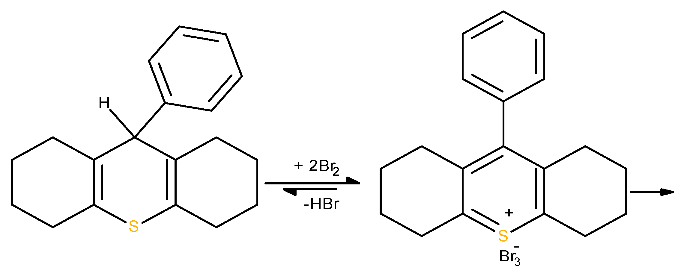
Thiopyran antioxidant capacity. Thiopyran (9-phenyl-cym-nona-hydro-10-thiaanthracene), and its selenium analogue selenopyran (9-phenyl-cym-nona-hydro-10-selenaanthracene) have close similarities as for their ionization potentials (thiopyran – 7.51-7.54 eV, selenopyran – 7.46-7.54 eV) and can be easily oxidized [27]. Unlike selenopyran, the antioxidant activity of thiopyran has not been studied so far.
Monocyclic 4H-thiopyranes in reaction with bromine undergo heteroaromatization, and form substitution and addition products [27]. Their analog thioxanthene, under the action of bromine, turns into perbromide of thioxanthylium [39]. During photochemical oxidation, chalcogenpyrans form heteroaromatic cations [40].
Thiopyran among the tested xenobiotics has the highest antioxidant capacity and reacts with electrogenerated bromine in a ratio of 1:5, similar to L-cystine. As for L-cystine/ L-selenocystine comparison, selenium compounds show lower antioxidant capacity then sulfur. Selenium is heavier and more polarizable, its higher oxidation states are less stable then sulfur. The oxidation of halcogenes involves the sequence of two steps. Although the first oxidation of sulfides/ selenides to sulfoxides/selenoxides is fairly comparable, with selenium being slightly more reactive, the second oxidation is more difficult for selenoxides. We propose that at the first step the coulometric oxidation of thiopyran gave tribromide of 9-phenyl-cym -octahydro-10-thionianthracene which has a lower electrode potential and can be brominated more easily than the starting thiopyran according to Scheme 6.
The resulting coulometric bromination products, can consume free bromine, which is expressed in an increase in the voltage in titration (Figure 6).
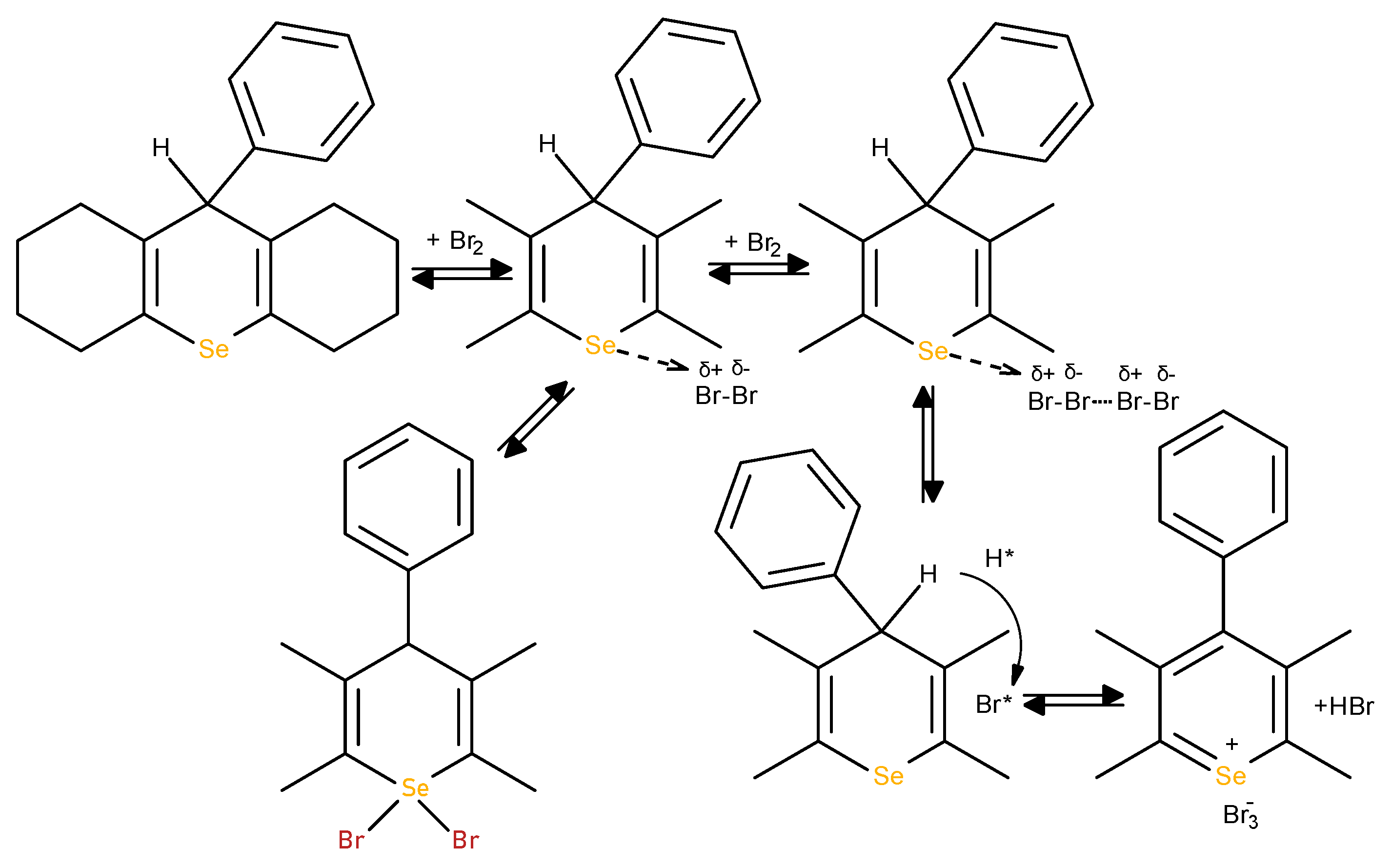
Antioxidant capacity of selenopyran. Experimental evidence of antioxidant activity of selenopyran (9-phenyl-simone-hydro-10-selenaanthracene) and its comparison with butyloxytoluene was obtained in vitro on thermal oxidation of methyl oleater. It was found that selenopyrane more effectively then butyloxytoluene reduced the amounts of peroxides [27].
Selenopyrans, as well as their oxo- and thioanalogs, are easily oxidized by iodine in diethyl ether to form triodides. Relative activity of 9R-sim-nonahydro-10-oxa(chalcogen)anthracenes in this process do not correlate with their electrodonor activity and decrease in the order: pyran>thiopyran >>selenopyran, i.e. selenopyran was the most resistant to oxidaion by iodine. It is believed that the lower activity of selenopyranes compared with pyran and thiopyrane can be explained by the reversible formation of selenium diiodides, which slows down the iodination process [27]. We beliene the bromination of selenopyrane included the similar steps. In our experiments selenopyran reacts with electrogenated bromine in a ratio of 1:2, a plausible mechanism for bromination is illustrated in the Scheme 7.
At the end of coulometric titration of thiopyran and selenopyran as for diacetophenonyl selenide, we recorded an additional increase in the voltage, thiopyran has two and selenopyran has up to seven peaks (Figure 7). We suggest the bromination-oxidation proceeds through the formation of mesomeric stabilized cation radicals, which can undergo further oxidation to sulfoxides, sulfones, as well as products of electrophilic substitution (bromination).
Constant-current coulometry in methanol allowed to compare sulfur- and selenium-containing antioxidants – amino acids and organic xenobiotics. Sulfur-containing antioxidants show higher antioxidant capacity than selenium ones. Among selenium-containing xenobiotics, diacetophenoyl selenide has superior antioxidant capacity (comparable to L-cystine), while selenopyran and ebselene are less active as antioxidants. We suppose that inconsistency between the ratio of reagents and stoichiometric coefficients in bromination of selenopyran and ebselene demonstrate further and side reactions which are more complex than a simple electron transfer. The structural peculiarity of selenium and aromatic moiety qualifiy them as prolonged antioxidants.
In general, the studied sulfur- and selenium-containing antioxidants can be divided into two groups. The first droup are brominated with electrogenerated bromine in one step and stoichiometrically, the second show an additional peak or even a number of peaks in a time dependence of voltage in coulometry titration curves associated with the formation of intermediates capable of further oxidation. The second group can be interesting as a mild prolonged antioxidants for further research.
Mimetic properties of L-selenocystine.L-Selenocysteine is essential component of selenoproteins which act as an antioxidants by reducing of ROS [41]. L-Selenocysteine can mimic the GPX, i.e. behave as a selenoprotein catalysts and involve in maintaining oxidative homeostasis without new free radicals [42]. In comparison with direct antioxidants, nimetics are effective in low concentrations and are not consumed during reactions of elimination of ROS and free radicals.
Low-molecular-weight mimetics of superoxide dismutase and glutathione peroxidase with anti-inflammatory, antitumor, immunotropic properties are potential therapeutic agents [43,44]. The effect of selenocysteine can be attributed to its higher reduction potential compared to cysteine, the ability to neutralize toxic peroxides and free radicals to counteract the effects of oxidative stress.
In our research, we investigated the mimetic properties of L-selenocystin, its ability to participate in both oxidation and reduction reactions. We conducted the electrochemical and chemical modeling of in vivo selenocystine reversible redox reactions.
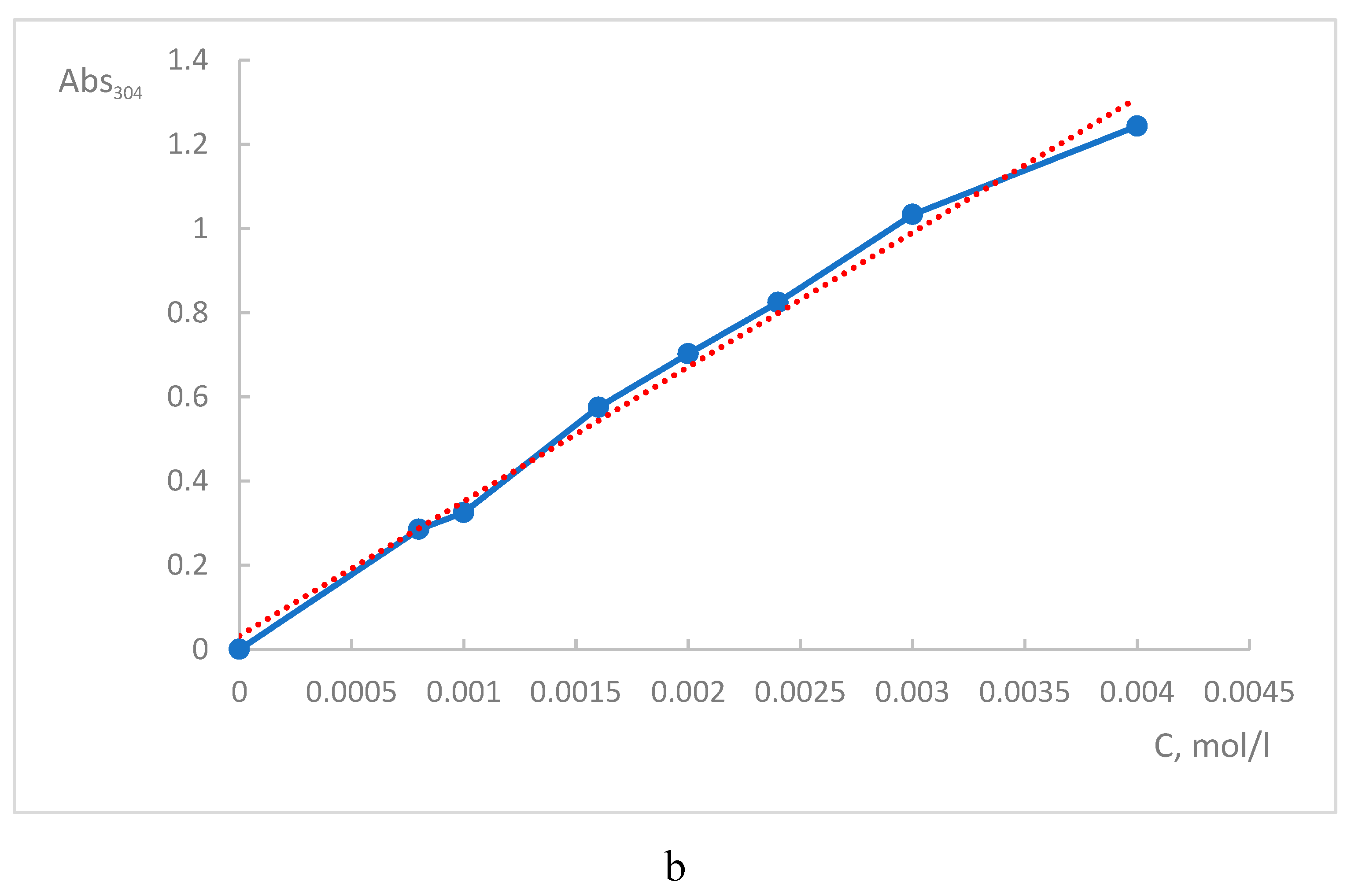
L-Selenocystine is soluble in acidic (0.1N HCl) and alkaline (1M Na2CO3) aqueous solutions. It was found that the selenocystine diselenide bond is a chromophore with an absorption maximum (λmax = 304 nm) (Figure 8а). The linear correlation were obtained between absorbance at 304 nm and concentration of L-selenocystein. The molar absorption coefficient determined from the calibration plot was 340 M−1⋅cm−1(Figure 8b). The absorption spectra of L-selenocysteine (reduced form of L-selenocystine) do not show any significant absorption in the 280-700 nm and do not have a maximum at 304 nm in contrast to L-selenocystine.
Therefore here we demonstrated the possibility to monitor the reversible redox conversion of selenocystin by spectrophotometry. At the beginning we carried out the reaction of selenocystine reduction. To determine the concentration of selenocystine we measured the absorbance before and after the addition of reductant. It was important to choose a suitable reducing agent. As glutathione does not reduce diselenides we selected the SH-containing lower molecular weight reductants - dithiothreitol and beta-mercaptoethanol (BME) which can reduce disulfides and diselenides [45]. We excluded dithiothreitol as for its inability to participate in reversible reactions - the oxidation product of dithiothreitol is a cyclic intramolecular disulfide, which is not able to form a selenosulfide bond. In our reversible reactions, we use BME and N-acetylcysteine (NAC), as a reductants. NAC is a registered mucolytic drug, it is in vivo reducing agent which degrade the mucus network by reducing the disulphide bonds. It was interesting to study the possibility of NAC to reduce diselenides and compare its reducing ability with traditional mercaptoethanol.
The addition of BME to selenocystine almost immediately resulted in decrease in the absorbance at 304 nm indicating the reduction of the diselenide bond. Next, within 20 minutes, the absorption increases slightly, which indicates the reverse oxidation of the selenol groups of L-selenocysteine, assuming the equilibrium between initial selenocystine and reduced selenocysteine (Figure 9а).
Increase the BME concentration (the original reductant) resulted in more dramatic decline of the final absorption at 304 nm and therefore the degree of selenocystine reduction. We propose the scheme of selenocystine reversible conversion (Scheme 8). Experimental data indicate the equilibrium between the product and the original selenocystine. So to shift the equilibrium towards products, a large excess of mercaptoethanol is needed, since even with a threefold excess, the diselenide consumption was 37.4%.
NAC, like mercaptoethanol, reduces the selenocysteine diselenide bond. When NAC was added to the selenocystine solution , a dose-dependent decrease in absorption was also observed at 304 nm, indicating the disappearance of the diselenide chromophore (Figure 9b). The reaction was completed instantantly, reversible, but the degree of conversion (reduction) of selenocystine in the presence of NAC was lower than with BME. Therefore NAC is a less effective reductant then BME, probably because of steric hindrance created by bulk acetyl and carboxyl groups. The scheme of the redox L-selenocysteine/L-selenocystine equilibrium is shown in Scheme 8.
Initial and final L-selenocysteine concentration was calculated by Beer–Lambert law, and the equilibrium constant (Kc) (Table 1) was determined taking into account the stoichiometry of the process (Scheme 8):
K c = [ S e c S e H ] 2 · [ N A C o k ] S e c S e S e S e c · [ N A C ] 2
K c = [ S e c S e H ] 2 · [ B M E o k ] S e c S e S e S e c · [ B M E ] 2
To prove the mimetic properties of L-selenocystine to act as in vivo redox switch we aimed to demonstrate the possibility of its reduction after oxidation. The initial and final concentration of L-selenocystine were measured by coulometric titration developed previously (Scheme 2).
To simulate in vivo redox switch functions of L-selenocystine (Scheme 9), we oxidized it with electrogenerated bromine, and then performed the reverse reaction (reduction) of the coulometric bromination product (2-amino-3-bromoseleninylpropanoic acid) to the corresponding selenol under the action of sodium borohydride (30 min). The excess of reductant was hydrolyzed by sulfuric acid, then bubbled into the reaction mixture (pH 8.0) air (1 hour). We believe that under these conditions, L-selenocystine was formed – the solution turned yellow, an absorption peak appeared at 304 nm (chromophore, diselenide bond), and 92.2-95.9% of selenocystine have been regenerated.
Thus, L-selenocysteine can be reversibly oxidized, reduced, have a mimetic properties, a low-molecular-weight analog of glutathione peroxidase.

3. Discussion

Coulometric titration with electrogenerated bromine has been developed to assess the antioxidant capacity of different organic antioxidants in aqueous and methanol solutions.
In aqueous solutions, the antioxidant capacity of amino acids decreases in the following order: L-cystine >L-selenocystine > L-methionine, a similar trend but with comparatively lower capacities were observed in methanol.
Coulometry in methanol was effective to compare sulfur- and selenium–containing antioxidants - amino acids and organic xenobiotics, which are different in structure and solubility. Among organic xenobiotics, the highest antioxidant capacity was observed for thiopyran>diacetophenonyl selenide>selenopyran>ebselene. Therefore, sulfur-containing antioxidants have a higher antioxidant capacity than selenium, which can be attributed the properties of selenium and its dual nature: organoselenium compounds are more resistant to overoxidation and can be easily reduced unlike sulfur compounds.
Some of the studied antioxidants are brominated in one step without additional antioxidant activity, and the others, after the main oxidation showed prolonged antioxidant activity.
Chromophore diselenide bond in selenocystine brought the new possibilities to study its transformations. SH-containing reductants (mercaptoethanol and N-acetylcysteine) are able to reduce L-selenocystine whereas N-acetylcysteine is weaker oxidizer. We demonstrate the mimetic behavior of selenocystine its ability to participate in reversible redox conversion. Our study involved oxidation of L-selenocystine with electrogenerated bromine and reduction with sodium borohydride. The amount of regenerated selenocystine was 92.2-95.9%, which confirms its properties as a mimetic, a low-molecular analogue of glutathione peroxidase.

4. Materials and Methods

General Experimental. The following reagents were used in the work: L-Cystine and L-methionine were from the set of amino acids LAA21 (Sigma-Aldrich, United States), L-selenocystine was synthesized by the method published earlier [46], ebselene was synthesized according to the method [47]. 0.01M solutions of aminoacids were prepared in background electrolytes or 1M Na2CO3 solution. Thiopyran, selenopyran, diacetophenonyl selenide were kindly provided by Professor of Penza State Agricultural University Boryaev G.I. Solutions were prepared in distilled water and in methanol.
Antioxidant capacity assay. The total antioxidant activity of tested substances was determined on a coulometric analyzer Expert-006 (Econix-Expert, Russia) according to Lapin’s method [48]. Electrogeneration of halogens was carried out in Expert-006 coulometric analyzer at a current 5.0 mA in water solutions (0.2 M KBr in 0.1 M H2SO4) and at a current of 50 mA in 85% methanol (0.1 M KBr in 0.3 M HCl).
Coulometric determination was carried out in a 50 ml cell into which 30 ml of a background solution was added, then the electrodes were applied and the electrical circuit was turned on. Upon reaching a certain value of the indicator current, (0.1 cm3), 10 μmol of the tested samples, accurately prepared at a known concentration were added into the cell. Aminoacid samples were in water solutions, ebselene, thiopyran, selenopyran, diacetophenonyl selenide were in 85% methanol. The amount of electricity (coulomb, Q, C) spent on the generation of bromine was determined automatically by the device. Antioxidant capacity was determined as the amount of electricity used to titrate 10 μmol of tested substances. All values were measured in triplicate at least and averaged.
Reduction of selenocystine. L-Selenocystine (0,01M stock) was dissolved in 1M Na2CO3, then tested solutions (0,001, 0,002, 0,003M) were prepared and their absorbance were measured. Mercaptoethanol/N-acetylcysteine (0,1M in 1M Na2CO3) were added to the Selenocystine solutions in the rations selenocystine – reductant 1:1, 1:2, 1:3, stirred for 30 sec. The resulted absorbance were measured spectrophotomerically every 60 sec for 6 min.
Mimetic properties of L-selenocystine. Oxidation of L-selenocystine was performed in coulometric cell. 30 ml of a background solution was added to the cell, then the electrodes were applied and the electrical circuit was turned on. Upon reaching a certain value of the indicator current, L-selenocystine solution (3 cm3), 0.01M in 0,1M HCl) was added into the cell. The amount of electricity (coulomb, Q, C) spent on the generation of bromine was determined automatically by the device.
Reduction of 2-amino-3-bromoseleninylpropanoic acid (a product of coulometric bromination) to the corresponding selenol was carried out in the presence of 50 mg sodium borohydride (30 min), the excess of NaBH4 was hydrolyzed with sulfuric acid (pH was controlled to pH 2). Then pH was adjust to pH 8 by sodium carbonate and diselenide bond was formed by bubbling the air in the resulting mixture (1 h).
Oxidation of the product of the reduction was performed in coulometric cell similarly to the initial oxidation.
All values were measured in triplicate at least and averaged.
Absorption spectra of selenocystine were recorded in a 1 M Na2CO3 on Spectrophotometer SF-201 (ZAO NPKF Akvilon, Russia).

Author Contributions

Conceptualization, P.A.P. and A.V.K.; methodology, all authors; validation and formal analysis, P.A.P. and A.V.K.; writing—original draft preparation, all authors; writing—review and editing, P.A.P. and N.N.G.; supervision, P.A.P., A.V.K. and Ya.I.M.; project administration, P.A.P. and A.V.K.; funding acquisition, P.A.P. All authors have read and agreed to the published version of the manuscript.

Funding

This research received no external funding.

Institutional Review Board Statement

Not applicable.

Informed Consent Statement

Not applicable.

Data Availability Statement

Data supporting reported results can found on the Molecules web site or obtained by e-mailing P.A.P.

Conflicts of Interest

The authors declare no conflicts of interest.

References

  1. Schieber, M.; Chandel, N.S. ROS function in redox signaling and oxidative stress. Curr. Biol. 2014, 24, 453–462. [Google Scholar] [CrossRef]
  2. Dubois-Deruy, E.; Peugnet, V.; Turkieh, A.; Pinet, F. Oxidative stress in cardiovascular diseases. Antioxidants (Basel). 2020, 9, 864. [Google Scholar] [CrossRef]
  3. Zhao, Y.; Ye, X.; Xiong, Z.; Ihsan, A.; Ares, I.; Martínez, M.; Lopez-Torres, B.; Martínez-Larrañaga, M.; Anadón, A.; Wang, X.; Martínez, M. Cancer metabolism: the Role of ROS in DNA damage and induction of apoptosis in cancer cells. Metabolites. 2023, 13, 796. [Google Scholar] [CrossRef]
  4. Singh, A.; Kukreti, R.; Saso, L.; Kukreti, S. Oxidative Stress: a key modulator in neurodegenerative diseases. Molecules. 2019, 24, 1583. [Google Scholar] [CrossRef]
  5. Lobo, V.; Patil, A.; Phatak, A.; Chandra, N. Free radicals, antioxidants and functional foods: Impact on human health. Pharmacogn Rev. 2010, 4, 118–126. [Google Scholar] [CrossRef]
  6. Zaitsev, V.G.; Ostrovskii, O.V.; Zakrevskii, V.I. Classification of the direct-acting antioxidants based on a relationship between chemical structure and target. Еxperimental and clinical pharmacology. 2003, V. 66. № 4. p. 66-70.
  7. Matuz-Mares, D.; Riveros-Rosas, H.; Vilchis-Landeros, M.; Vázquez-Meza, H. Glutathione participation in the prevention of cardiovascular diseases. Antioxidants (Basel). 2021, 10, 1220. [Google Scholar] [CrossRef]
  8. Jain, A.; Kumar Mehra, N.; Nitin Kumar Swarnakar, N. Role of antioxidants for the treatment of cardiovascular diseases: challenges and opportunities. Current Pharmaceutical Design. 2015, 21. [Google Scholar] [CrossRef]
  9. Fujisawa, S.; Kadoma, Y. Kinetic studies of the radical-scavenging activity of ebselen, a seleno-organic compound. Anticancer Research. 2005, 25, 3989–3994. [Google Scholar]
  10. Casalbore, G.; Mastragostino, M.; Valcher, S. Electrochemical bromination of benzene, toluene and xylene in acetonitrile. J. Electroanal. Chem. 1978, V. 87, pp. 411-418, 87.
  11. Abullin, I.F.; Budnikov, G.K. Zavod. Lab., 1998, V. 64, pp. 1–12.
  12. Lapin, A.A. , MVI-001-44538054-07. Summarnaya antioksidantnaya aktivnost'. Metodika vypolneniya izmerenii na kulonometricheskom analizatore (MVI-001-44538054-07. Total Antioxidant Activity. Methods of Measurement on a Coulometric Analyzer). Zherdevka: OOO Kontsern Otechestvennye innovatsionnye tekhnologii. 2011. 35 p.
  13. Siggia, S. Instrumental methods of organic functional group analysis. Moscow. 1974, pp. 446.
  14. Weissbach, H.; Etiennea, F.; Hoshib, T.; Heinemann, S.H.; Lowtherd, W.T.; Matthewsd, B.; John, G.S.; Nathane, C.; Brotef, N. Peptide methionine sulfoxide reductase: Structure, mechanism of action, and biological function. Arch. Biochem. Biophys. 2002, 397, 172–178. [Google Scholar] [CrossRef]
  15. Yermolaieva, O.; Xu, R.; Schinstock, C.; Brot, N.; Weissbach, H.; Heinemann, S.H.; Hoshi, T. Methionine sulfoxide reductase A protects neuronal cells against brief hypoxia/reoxygenation. Proc. Natl. Acad. Sci. USA. 2004, 101, 1159–1164. [Google Scholar] [CrossRef]
  16. Ruan, H.; Tang, X.D.; Chen, M.-L.; Joiner, M.-L.; Sun, G.; Brot, N.; Weissbach, H.; Heinemann, S.H.; Iverson, L.; Wu, C.-F. High-quality life extension by the enzyme peptide methionine sulfoxide reductase. Proc. Natl. Acad. Sci. USA. 2002, 99, 2748–2753. [Google Scholar] [CrossRef]
  17. Moskovitz, J.; Bar-Noy, S.; Williams, W.M.; Requena, J.; Berlett, B.S.; Stadtman, E.R. Methionine sulfoxide reductase (MsrA) is a regulator of antioxidant defense and lifespan in mammals. Proc. Natl. Acad. Sci. USA. 2001, 98, 12920–12925. [Google Scholar] [CrossRef]
  18. Ziyatdinova, G.K. , Grigor’eva, L. V. & Budnikov, G.K. Coulometric determination of sulfur-containing amino acids using halogens as oxidizing titrants. J. Anal. Chem. 2007, 62, 1176–1179. [Google Scholar] [CrossRef]
  19. Böck, A.; Forchhammer, K.; Heider, J.; Leinfelder, W.; Sawers, G.; Veprek, B.; Zinoni, F. Selenocysteine: the 21st amino acid. Molecular Microbiology. 1991, 5, 515–520. [Google Scholar] [CrossRef]
  20. Bai, Y.; Wang, T.; Liu, Y.; Zheng, W. Electrochemical oxidation of selenocystine and selenomethionine. Colloids and Surfaces B: Biointerfaces. 2009, V.74, 150-153. [CrossRef]
  21. Paul, B.D.; Sbodio, J.I.; Snyder, S.H. Cysteine metabolism in neuronal redox homeostasis. Trends Pharmacol Sci. 2018, 39, 513–524. [Google Scholar] [CrossRef]
  22. Noda, T.; Iwakiri, R.; Fujimoto, K.; Rhoads, C.A.; Aw, T.Y. Exogenous cysteine and cystine promote cell proliferation in CaCo-2 cells. Cell Prolif. 2002, 35, 117–129. [Google Scholar] [CrossRef]
  23. Mereto, G.C.; Balestra, L.; Henriquet, F. Alveolar surfactant in lungs of operated patients after acetylcysteine treatment. Eur. J. Respir. Dis. 1980, V. 61, pp. 160-161.
  24. Vogel, A.I. Elementary practical organic chemistry. Part 3. Quantitative organic analysis 2nd edition, Longman group ltd. London, 1975, 840 p.
  25. Lavine, Т.F. The oxidation of cystine in non-aqueous media: study of the reactions of the disulfoxide of l-cystine, especially of its dismutative decompositions. 1936, V.113, I. 2, pp. 583–597. [CrossRef]
  26. Pálla, T.; Mirzahosseini, A.; Noszál, B. Properties of selenolate-diselenide redox equilibria in view of their thiolate-disulfide counterparts. Antioxidants. 2023, 12, 822. [Google Scholar] [CrossRef]
  27. Blinokhvatov, A.F. , 9-R-sim-nonahydro-10-oxa(chalcogene)anthracenes and salts of 9-R-sim-octahydro-10-oxonium (chalcogenonium) anthracene, Doctoral (Chem.) Dissertation, Saratov, 1993, 378 p.
  28. Poluboyarinov, P.A.; Elistratov, D.G.; Shvets, V.I. Metabolism and mechanism of toxicity of selenium-containing supplements used for optimizing human selenium status. Fine Chemical Technologies. 2019, 14, 5–24, (In Russ.). [Google Scholar] [CrossRef]
  29. Sies, H. Ebselen, a selenoorganic compound as glutathione peroxidase mimic. Free Radic. Biol. Med. 1993, V. 14, p. 313-323. [CrossRef]
  30. Blinokhvatov, A.F.; Denisova, G.V.; Il’in, D.Yu. Selenv biosfere (Selenium in Biosphere), Blinokhvatov, A.F., Ed., Penza: Penzensk. S.-kh. Akad., 2001, 322 p.
  31. Poluboyarinov, P.A.; Kuznetsova, A.V.; Moiseeva, I.Y.; Mikulyak, N.I.; Kaplun, A.P. Induction of the antioxidant activity by selenium compounds in the Aspergillus niger mycelium // Bioorganičeskaâ himiâ. 2023, V. 49, pp. 523–536. [CrossRef]
  32. Chew, P.; Yuen, D.Y.; Stefanovic, N.; Pete, J.; Coughlan, M.T.; Jandeleit-Dahm, K.A.; Thomas, M.C.; Rosenfeldt, F.; Cooper, M.E.; de Haan, J.B. Antiatherosclerotic and renoprotective effects of ebselen in the diabetic apolipoprotein E/GPx1-double knockout mouse. Diabetes. 2010, 59, 3198–3207. [Google Scholar] [CrossRef]
  33. Parnham, M.J.; Sies, H. The early research and development of ebselen. Biochem. Pharmacol. 2013, V. 86, 1248–1253. [Google Scholar] [CrossRef]
  34. Masumoto, H.; Hashimoto, K.; Nakaoka, M.; Hakusui, H. Metabolism of ebselen (DR-3305). Relation to the Antioxidant Activity. 1995, V.10, pp. 158-161.
  35. Bhabak, K.P.; Vernekar, A.A.; Jakka, S.R.; Roy, G.; Mugesh, G. Mechanistic investigations on the efficient catalytic decomposition of peroxynitrite by ebselen analogues. Org. Biomol. Chem., 2011, 9, 5193–5200. [Google Scholar] [CrossRef]
  36. Fujisawa, S.; Kadoma, Y. Kinetic studies of the radical-scavenging activity of ebselen, a seleno-organic compound. Anticancer research. 2005, 25, 3989–3994. [Google Scholar]
  37. Rusetskaya, N.Y.; Borodulin, V.B.; Sarattsev, A.V.; Borodulin, Y.V. Comparative antioxidant activity of selenoorganic compound diacetophenonyl selenid and it nitroderivative in organs and tissues of mice with various oxidoresistance. Basic research. 2013, No 4-1. pp. 125-129.
  38. Zhukov, O.I. 3-Chalcogenapentane-1,5-diones: synthesis and features of transformations. PhD thesis (Chem.) Dissertation, Saratov, 1997.
  39. Kharchenko, V.G.; Chalaya, S.N. Thiopyrans, thiopyryllium salts and related compounds. Saratov, 1987, 160 p.
  40. Demidov, A.A.; Dmitrienko, T.G. Sensitizers based on nanostructured selenium heterocycles and they applications in medicine. Modern problems of science and education. 2013, № 5, pp. 707–707.
  41. Minich, W.B. Selenium metabolism and biosynthesis of selenoproteins in the human body. Biochemistry (Mosc). 2022, 87, 102–168. [Google Scholar] [CrossRef]
  42. Zhao, H.; Xu, C.; Wang, T.; Liu, J. Biomimetic construction of artificial selenoenzymes. Biomimetics (Basel). 2023, 8, 54. [Google Scholar] [CrossRef]
  43. Muscoli, C.; Cuzzocrea, S.; Riley, D.P.; Zweier, J.L.; Thiemermann, C.; Wang, Z.Q.; Salvemini, D. On the selectivity of superoxide dismutase mimetics and its importance in pharmacological studies. Br. J. Pharmacol, 2003; 140, 445–460. [Google Scholar] [CrossRef]
  44. Vera, M.; Torramade-Moix, S.; Martin-Rodriguez, S.; Cases, A.; Cruzado, J.M.; Rivera, J.; Escolar, G.; Palomo, M.; Diaz-Ricart, M. Antioxidant and anti-inflammatory strategies based on the potentiation of glutathione peroxidase activity prevent endothelial dysfunction in chronic kidney disease. Cell Physiol Biochem. 2018, 51, 1287–1300. [Google Scholar] [CrossRef]
  45. Pálla, T.; Mirzahosseini, A.; Noszál, B. Properties of selenolate-diselenide redox equilibria in view of their thiolate-disulfide counterparts. Antioxidants (Basel). 2023, 12, 822. [Google Scholar] [CrossRef]
  46. Poluboyarinov, P.A.; Moiseeva, I.Ya.; Mikulyak, N.I.; Golubkina, N.А.; Kaplun, A.P. A new synthesis of cystine and sele-nocystine enanthiomers and their derivatives. ChemChemTech [Izv. Vyssh. Uchebn. Zaved. Khim. Khim. Tekhnol.]. 2022, V. 65, №2, pp. 19-29. [CrossRef]
  47. Poluboyarinov, P.A.; Aniskov, A.A. Analysis of ebselen using HPLC and NMR spectroscopy. Education and science in the modern world. Innovation. 2017; No 1, 73–80. [Google Scholar]
Scheme 1. Reaction of electrogenerated bromine with L-methionine.
Scheme 1. Reaction of electrogenerated bromine with L-methionine.
Preprints 109144 sch001
Scheme 2. The reaction of electrogenerated bromine with L-selenocystine.
Scheme 2. The reaction of electrogenerated bromine with L-selenocystine.
Preprints 109144 sch002
Figure 1. Coulometric titration curve of selenocystine.
Figure 1. Coulometric titration curve of selenocystine.
Preprints 109144 g001
Figure 2. Coulometric titration of L-cystine.
Figure 2. Coulometric titration of L-cystine.
Preprints 109144 g002
Figure 3. Antioxidant capacity of amino acids and xenobiotics (oxidant is electrogenerated bromine).
Figure 3. Antioxidant capacity of amino acids and xenobiotics (oxidant is electrogenerated bromine).
Preprints 109144 g003
Scheme 4. Possible reaction of electrogenerated bromine with ebselene.
Scheme 4. Possible reaction of electrogenerated bromine with ebselene.
Preprints 109144 sch004
Figure 4. Coulometric ebselene titration curve.
Figure 4. Coulometric ebselene titration curve.
Preprints 109144 g004
Scheme 5. Possible reaction of electrogenerated bromine with diacetophenonyl selenide.
Scheme 5. Possible reaction of electrogenerated bromine with diacetophenonyl selenide.
Preprints 109144 sch005
Figure 5. Coulometric titration curve of diacetophenonyl selenide.
Figure 5. Coulometric titration curve of diacetophenonyl selenide.
Preprints 109144 g005
Scheme 6. Possible reaction of electrogenerated bromine with tyopyrane.
Scheme 6. Possible reaction of electrogenerated bromine with tyopyrane.
Preprints 109144 sch006aPreprints 109144 sch006b
Figure 6. Coulometric titration curve of the thiopyrane.
Figure 6. Coulometric titration curve of the thiopyrane.
Preprints 109144 g006
Scheme 7. Possible reaction of electrogenerated bromine with selenopyrane.
Scheme 7. Possible reaction of electrogenerated bromine with selenopyrane.
Preprints 109144 sch007
Figure 7. Coulometric titration curve of selenopyrane.
Figure 7. Coulometric titration curve of selenopyrane.
Preprints 109144 g007
Figure 8. a. Absorption spectrum of L-selenocystine solution. b. Dependence of optical density on the concentration of L-selenocystin in solution.
Figure 8. a. Absorption spectrum of L-selenocystine solution. b. Dependence of optical density on the concentration of L-selenocystin in solution.
Preprints 109144 g008aPreprints 109144 g008b
Figure 9. Change in the optical density of a solution of L-selenocystine (3 mmol), with the addition of mercaptoethanol (a) and NAC (b) in the ratios L-selenocystine - reducing agent: 1:1, 1:2, 1:3.
Figure 9. Change in the optical density of a solution of L-selenocystine (3 mmol), with the addition of mercaptoethanol (a) and NAC (b) in the ratios L-selenocystine - reducing agent: 1:1, 1:2, 1:3.
Preprints 109144 g009
Scheme 8. Reaction of L-selenocystin with BME or NAC.
Scheme 8. Reaction of L-selenocystin with BME or NAC.
Preprints 109144 sch008
Scheme 9. The scheme of the experiment to study the mimetic properties of L-selenocystine.
Scheme 9. The scheme of the experiment to study the mimetic properties of L-selenocystine.
Preprints 109144 sch009
Table 1. Reduction of selenocystine by mercaptoethanol (BME) and acetylcysteine (NAC).
Table 1. Reduction of selenocystine by mercaptoethanol (BME) and acetylcysteine (NAC).
Ratio of the reagents
Sec-Sec : BME/NAC
Recovery (reduction) of Sec-Sec: BME/NAC, % Кc
Sec-Sec :BME / NAC
1:1 20,3 / 11,8 0,1187 / 0,0126
1:2 28,2 / 17,9 0,0610 / 0,0104
1:3 37,4 / 22,0 0,0655 / 0,0084
Table 2. The results of coulometric determination of L-selenocystine, before and after reduction.
Table 2. The results of coulometric determination of L-selenocystine, before and after reduction.
Introduced, microgram Found, F = 1/6 Found after reduction,
microgram
Regenerated, %
10,0 9,487 8,746
8,979
9,101
92,2
94,6
95,9
Disclaimer/Publisher’s Note: The statements, opinions and data contained in all publications are solely those of the individual author(s) and contributor(s) and not of MDPI and/or the editor(s). MDPI and/or the editor(s) disclaim responsibility for any injury to people or property resulting from any ideas, methods, instructions or products referred to in the content.
Copyright: This open access article is published under a Creative Commons CC BY 4.0 license, which permit the free download, distribution, and reuse, provided that the author and preprint are cited in any reuse.
Prerpints.org logo

Preprints.org is a free preprint server supported by MDPI in Basel, Switzerland.

Subscribe

Disclaimer

Terms of Use

Privacy Policy

Privacy Settings

© 2026 MDPI (Basel, Switzerland) unless otherwise stated