Submitted:
12 June 2024
Posted:
12 June 2024
You are already at the latest version
Abstract

Keywords:
1. Introduction
2. Physical Background
3. Overview of Approximate Methods Used in the Present Work
3.1. Multi-Band Approximation for the Spectral Absorption Coefficient
3.2. The P1 Method of Spherical Harmonics
3.3. The Discrete Ordinate Method
3.4. Approximate Net Emission Coefficient
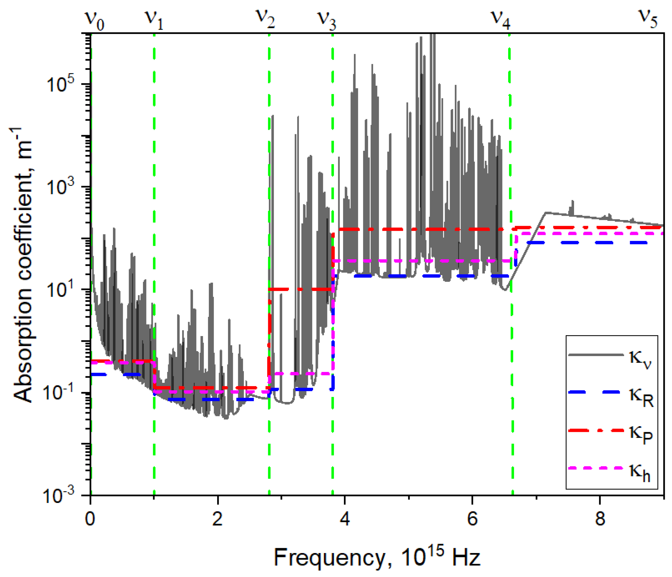
4. Computation of the Absorption Coefficient
- Dataset I
- Dataset II
5. Results and Discussion
5.1. Isothermal Cylindrical Plasma
5.2. The Free-Burning Arc
6. Conclusions
- The approximate () and the numerically obtained () NECs depend on the datasets for the spectral absorption coefficient in particular for plasma temperatures beyond about 15000 K. The approximate NEC is lower than independent of the datasets that have been used.
- The NECs obtained with a division of the spectrum into 5 and 16 spectral bands are very close to each other. The P1 method and the DOM for solving the equation of radiative transfer provide practically the same numerical NECs .
- The NECs depend on the way of averaging the spectral absorption coefficient within the spectral bands. NECs that are obtained applying the Planck mean values are larger than those applying the Rosseland mean values. A hybrid definition of the mean absorption coefficient provides intermediate values.
- The implementation of the NEC for a plasma radius of 1 mm, the P1 method and the DOM with five spectral bands and a hybrid mean value of the spectral absorption coefficient into the model of the free-burning arc shows very similar values of the plasma temperature in the hot arc core and deviations in the range of 1000 K in the arc periphery. Such deviations can hardly be approved in experiments with optical emission spectroscopy.
- The arc models with the P1 method and the DOM indicate negative radiative losses (absorption of radiation) near the electrodes in contrast to the models with NEC.
- The predicted plasma temperature in the models with NECs is practically the same despite the discrepancy in the radiative loss term Qr for the two datasets for the spectral absorption coefficient, which are considered in the present study.
Author Contributions
Funding
Data Availability Statement
Conflicts of Interest
Appendix A
Appendix B
References
- Murphy, A.B.; Uhrlandt, D. Foundation of high-pressure thermal plasmas, Plasma Sources Sci. Technol. 2018 27, 063001. [CrossRef]
- Fauchais, P.; Coudert, J.F.; Vardelle, M., Eds. Diagnostics in thermal plasma Plasma Diagnostics, Academic, Boston, 1989.
- Colombo, V.; Concetti, A.; Ghedini, E.; Dallavalle, S.; Vancini, M. High-speed imaging in plasma arc cutting: a review and new developments, Plasma Sources Sci. Technol. 2009 18, 023001. [CrossRef]
- Bachmann, B.; Kozakov, R.; Gött, G.; Ekkert, K.; Bachmann, J.P.; Marques, J.L.; Schöpp, H.; Uhrlandt, D.; Schein, J. High-speed three-dimensional plasma temperature determination of axially symmetric free-burning arcs, J. Phys. D: Appl. Phys. 2013 46, 125203. [CrossRef]
- Murphy, A.B.; D Farmer, A.J.; Haidar, J. Laser-scattering measurement of temperature profiles of a free-burning arc. Appl. Phys. Lett., 1992 60, pp. 1304-1306. [CrossRef]
- [Hsu1984] Hsu, K.C.; Pfender, E. Modeling of a free-burning, high-intensity arc at elevated pressures. Plasma Chem. Plasma Process., 1984, 4, pp. 219-234. [CrossRef]
- [Simonin1992] Simonin, O.; Delalondre, C.; Violett, P.-L. Modelling in thermal plasma and electric arc column, Pure & Appl. Chem., 1992, 64, pp. 623-628. [CrossRef]
- [Wendelstorf1996] Wendelstorf, J.; Decker, I.; Wohlfart, H.; Simon, G. TIG and plasma arc modelling: a survey, In Mathematical Modelling of Weld Phenomena, Ed. Cerjak, H., Book- Institute of Materials, 650, London, 1997, pp.848-897.
- Gleizes, A.; Gonzalez, J.- J.; Freton, P. Thermal plasma modelling, 2005 J. Phys. D: Appl. Phys., 38, pp. R153–83. [CrossRef]
- Trelles, J.P.; Heberlein, J.V.R. Simulation results of arc behavior in different plasma spray torches, J. Therm. Spray Tech., 2006, 15, pp. 563–569. [CrossRef]
- Shigeta, M. Turbulence modelling of thermal plasma flows, J. Phys. D: Appl. Phys., 2016, 49, 493001. [CrossRef]
- Trelles, J.P.; Heberlein, J.V.R.; Pfender, E. Non-equilibrium modelling of arc plasma torches, J. Phys. D: Appl. Phys. 2007, 40, pp. 5937–5952. [CrossRef]
- Baeva, M.; Kozakov, R.; Gorchakov, S.; Uhrlandt, D. Two-temperature chemically non-equilibrium modelling of transferred arcs, Plasma Sources Sci. Technol. 2012, 21, 055027. [CrossRef]
- Baeva, M.; Benilov, M.S.; Almeida, N.A.; Uhrlandt, D. Novel non-ewuilibrium modelling of a DC electric arc in argon, J. Phys. D: Appl. Phys. 2016, 49, 245205. [CrossRef]
- Choquet, I. Gas tungsten arc models including the physics of the cathode layer: remaining issues, Welding in the World, 2018, 62, pp. 177-196. [CrossRef]
- Benilov, M.S. Modeling the physics of interaction of high-pressure arcs with their electrodes: advances and challenges, J. Phys. D: Appl. Phys. 2020, 53, 013002. [CrossRef]
- Nordborg, H.; Iordanis, A.A. Self-consistent radiation based modelling of electric arcs: I. Efficient radiation approximations, J. Phys. D: Appl. Phys. 2008, 41, 135205. [CrossRef]
- Tanaka, Y.; Fujino, T.; Iwao, T. Review of thermal plasma simulation technique, IEEJ Trans., 2019, 14, pp. 1582-1594. [CrossRef]
- Lowke, J.J. Predictions of arc temperature profiles using approximate emission coefficients for radiation losses, JQSRT, 1974, 14, pp.111-122. [CrossRef]
- Modest, M. F. Radiative Heat Transfer 3rd edn, Elsevier inc., Amsterdam, 2013.
- Iordanis, A.A,; Franck, C.M. Self-consistent radiation based modelling of electric arcs: II. Application to gas circuit breakrs, J. Phys. D: Appl. Phys., 2008, 41, 135206. [CrossRef]
- Mohsni, C.; Baeva, M.; Franke, St.; Gortschakow, S.; Araoud, Z.; Charrada, K. Effect of a bidirectional coupling of a LTE arc column to a refractory cathode in atmospheric pressure argon, Phys. Plasmas, 2020, 27, 073514. [CrossRef]
- Baeva, M.; Zhu, T.; Kewitz, T.; Testrich, H.; Foest, R. Self-consistent cathode-plasma coupling and role of the fluid flow approach in torch modelling, J. Therm. Spray. Technol., 2021, 30, pp. 1737–1750. [CrossRef]
- Benilov, M.S. Theory and Modelling of Arc Cathodes. Plasma Sources Sci. Technol., 2002, 11, pp. A49-A54. [CrossRef]
- Pateyron, B.; Delluc, G.; Calve, N. T&T Winner-Software for Thermo-Chemistry, Univ. Limoges, 2015, 87051 Limoges Cedes, France.
- Murphy, A.B,; Arundel, C.J. Transport Coefficients of Argon, Nitrogen, Oxygen, Argon-Nitrogen, and Argon-Oxygen Plasmas, Plasma Chem. Plasma Process., 1994, 14(4), pp. 451-490. [CrossRef]
- Smith, D.; Altovsky, I.V.; Barabash, V.R.; Beeston, J. 1991 ITER Blanker, Shield and Material Database, ITER Documentation Series (IAEA, Vienna), Vol. 29.
- Touloukian, Y.S. 1970 Thermal Conductivity: Metallic Elements and Alloys (IFI/Plenum).
- Tencer, J.; Howell, J.R. Coupling radiative heat transfer in participating media with other heat transfer modes. J Braz. Soc. Mech. Sci. Eng., 2016, 38, pp. 1473–1487. [CrossRef]
- Bartlova, M; Bogatyreva, N.; Aubrecht, V. Radiation heat transfer in thermal argon plasma with iron vapours, Plasma Phys. Technol., 2014, 1, pp. 8-10.
- Kloc, P.; Aubrecht, V.; Bartlova, M. and Fuchs, R. Comparison of mean absorption methods for radiation transfer models in air plasma at various pressures, Plasma Chem Plasma Process, 2023, 43, pp. 429-447. [CrossRef]
- Kozu, S.; Fujino, T.; Yoshino, T.; Mori, T. Radiative transfer calculation of CO2 thermal plasma using a hybrid Plack-Rosseland mean absorption coefficient, In Proceedings of the 22nd Int. Conf. Gas Discharges and Their Applications, Novi Sad, Serbia, pp. 127-130, 2-7 September 2018.
- Church, C.H.; Schlecht, R.G.; Liberman, I.; Swanson, B.W. Studies of highly radiative plasmas using the wall-stabilized pulsed arc discharge, AIAA, 1966, 4, pp. 1947-1953. [CrossRef]
- Bogatyreva, N.; Bartlova, M.; Aubrecht, V. Absorption properties of argon arc plasma, In Proceedings of the 43rd EPS Conference on Plasma Physics, pp. 481-484, Leuven, Belgum, 4-8 July 2016.
- Griem, H. R. Plasma Spectroscopy, Mc.Graw-Hill, 1964.
- Liebermann R.W.; Lowke, J.J. Radiation emission coefficients for sulfur hexafluoride arc plasmas, JQSRT, 1976, 16, pp. 253–64. [CrossRef]
- Cressault ,Y.; Gleizes, A. Thermal plasma properties for Ar–Al, Ar–Fe and Ar–Cu mixtures used in welding plasmas processes: I. Net emission coefficients at atmospheric pressure, J. Phys. D: Appl. Phys., 2013, 46, 415206. [CrossRef]
- Cabannes, F. and Chapelle, J. Spectroscopic plasma diagnostic reactions under plasma conditions, vol 1. Wiley-Interscience, New York, 1971.
- Kramida, A; Ralchenko, Yu; Reader, J and NIST ASD Team, NIST Atomic Spectra Database (ver. 5.10), [Online]. Available: https://physics.nist.gov/asd [2022, November 15]. National Institute of Standards and Technology, Gaithersburg, MD. [CrossRef]
- Whitting, E.E. An empirical approximation to the Voigt profile, JQSRT, 1968, 8, pp. 1379–84. [CrossRef]
- Essoltani, A.; Proulx, P.; Boulos, M.I.; Gleizes, A. Volumetric emission of argon plasmas in the presence of vapors of Fe, Si, and AI, Plasma Chem. Plasma Process., 1994, 14, pp. 437-450. [CrossRef]
- Cressault, Y. A recent computation according to [37] with updated line data.
- Lassner, E.; Schubert, W.D. Tungsten: Properties, Chemistry, Technology of the Element. Alloys, and Chemical Compounds, Springer, New York, 1999. [CrossRef]
- Incorpera, F.P.; DeWitt, D.P.; Bergman, T.L.; Lavine, A. S. Fundamentals of Heat and Mass Transfer, 6th edn, John Wiley, New York, 2006.
- Baeva, M.; Gorchakov, S.; Kozakov, R.; Uhrlandt, D.; Schoenemann, T. Non-equilibrium modelling of the electrical characteristics of a free-burning arc, High Voltage Engineering, 2013, 39, pp. 2159-2165.
- Baeva, M.; Cressault, Y.; Kloc, P. Comparative studies on the radiative heat transfer in a self-consistent model of a free-burning arc in argon —Dataset.













Disclaimer/Publisher’s Note: The statements, opinions and data contained in all publications are solely those of the individual author(s) and contributor(s) and not of MDPI and/or the editor(s). MDPI and/or the editor(s) disclaim responsibility for any injury to people or property resulting from any ideas, methods, instructions or products referred to in the content. |
© 2024 by the authors. Licensee MDPI, Basel, Switzerland. This article is an open access article distributed under the terms and conditions of the Creative Commons Attribution (CC BY) license (http://creativecommons.org/licenses/by/4.0/).