Submitted:
07 June 2024
Posted:
11 June 2024
You are already at the latest version
Abstract
Keywords:
1. Introduction
2. Materials and Methods
2.1. Collection of sjw Logs

2.2. Samples Preparation
2.3. Air-Drying of the Samples
2.4. Measurement of Cracking on Log End-Faces
2.5. Experimental Design and Statistical Analysis
3. Results
3.1. Cracking Formation During Air-Drying
3.1.1. Evolution of Environmental Conditions and Moisture Content (MC)

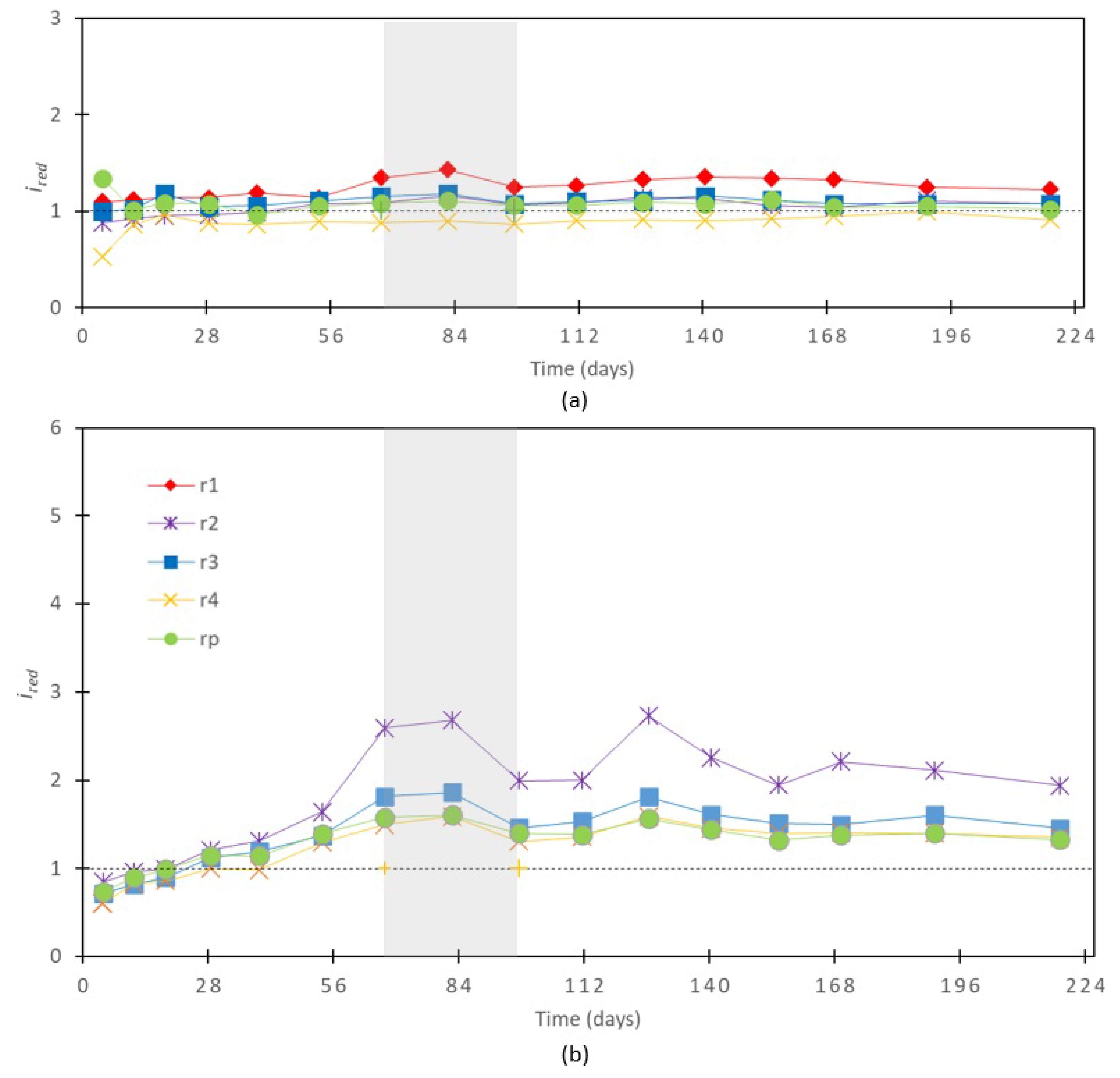
3.1.2. Evolution of Cracking over end-faces
3.1.3. Treatment Performance
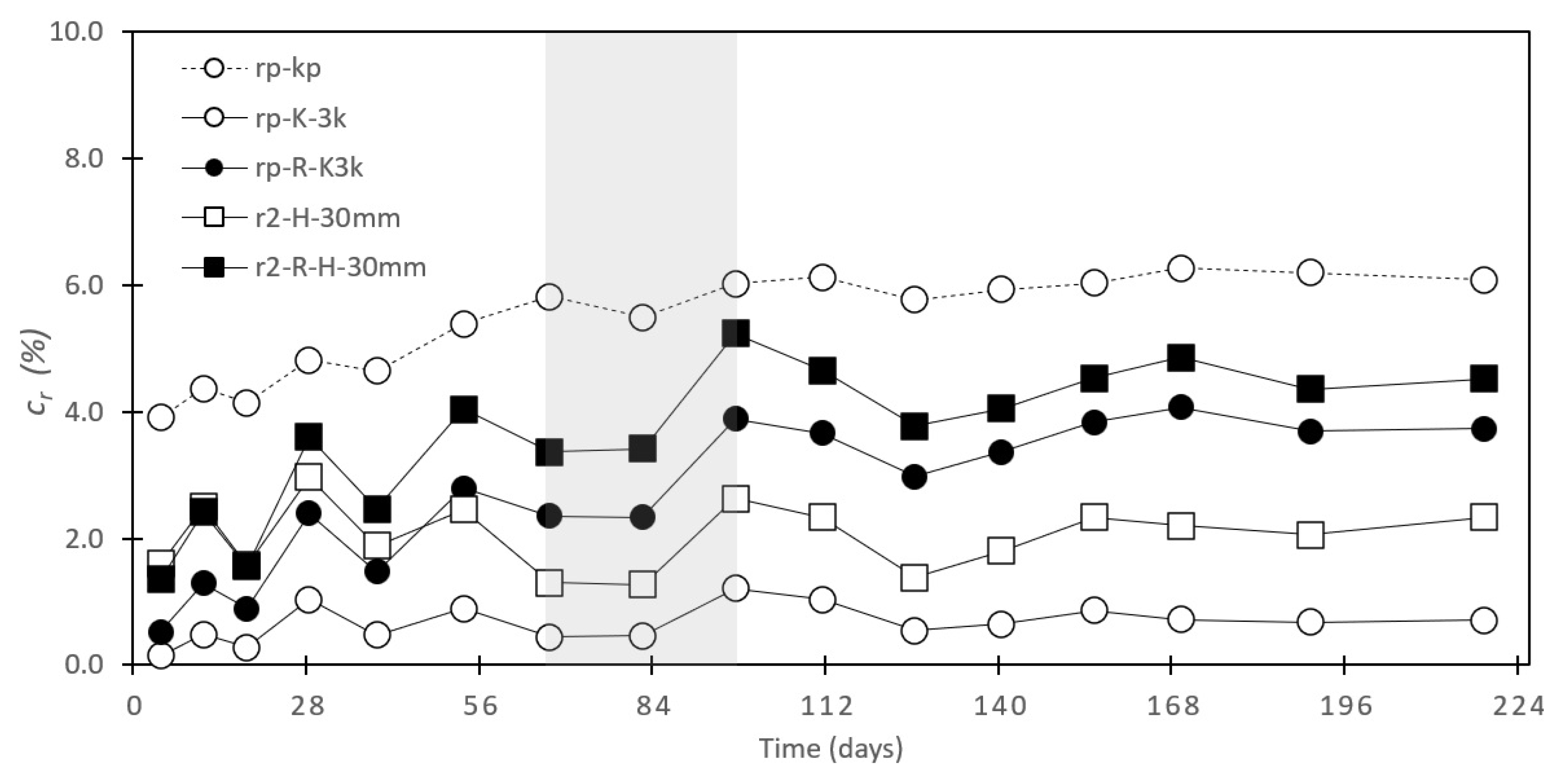
3.2. Log End-Face Final Cracks
3.2.1. Characteristics of Cracking
3.2.2. Effectiveness of Treatments
3.2.3. Kerfing as a Crack Control
4. Discussion

Acknowledgments
Conflicts of Interest
References
- Raposo, M.A.; Pinto Gomes, C.J.; Nunes, L.J. Evaluation of Species Invasiveness: A Case Study with Acacia dealbata Link. on the Slopes of Cabeça (Seia-Portugal). Sustainability 2021, 13, 11233. [CrossRef]
- Guerrero, F.; Hernández, C.; Toledo, M.; Espinoza, L.; Carrasco, Y.; Arriagada, A.; Muñoz, A.; Taborga, L.; Bergmann, J.; Carmona, C. Leaf thermal and chemical properties as natural drivers of plant flammability of native and exotic tree species of the Valparaíso region, Chile. International journal of environmental research and public health 2021, 18, 7191. [CrossRef]
- Hirsch, H.; Richardson, D.M.; Pauchard, A.; Le Roux, J.J. Genetic analyses reveal complex introduction histories for the invasive tree Acaciadealbata Link around the world. Diversity and Distributions 2021, 27, 360–376. [CrossRef]
- IFN, I. 60◦ Inventário Florestal Nacional. Portugal: ICNF-Instituto da Conservação da Natureza e das Florestas 2015.
- Nunes, L.J.; Raposo, M.A.; Meireles, C.I.; Pinto Gomes, C.J.; Ribeiro, N.M.A. Control of invasive forest species through the creation of a value chain: Acacia dealbata biomass recovery. Environments 2020, 7, 39. [CrossRef]
- Santos, A.J.; Anjos, O.M.; Simoes, R.M. Papermaking potential of Acacia dealbata and Acacia melanoxylon. Appita: Technology, Innovation, Manufacturing, Environment 2006, 59, 58–64.
- Linhares, T.; de Amorim, M.T.P. LCA of textile dyeing with Acacia Dealbata tree bark: a case study research. Procedia engineering 2017, 200, 365–369. [CrossRef]
- Bukauskas, A.; Mayencourt, P.; Shepherd, P.; Sharma, B.; Mueller, C.; Walker, P.; Bregulla, J. Whole timber construction: A state of the art review. Construction and Building Materials 2019, 213, 748–769. [CrossRef]
- Burton, R.; Dickson, M.; Harris, R. The use of roundwood thinnings in buildings–a case study. Building Research & Information 1998, 26, 76–93. [CrossRef]
- Wolfe, R.; others. Research challenges for structural use of small-diameter round timbers. Forest Products Journal 2000, 50, 21–29.
- Ramage, M.H.; Burridge, H.; Busse-Wicher, M.; Fereday, G.; Reynolds, T.; Shah, D.U.; Wu, G.; Yu, L.; Fleming, P.; Densley-Tingley, D.; others. The wood from the trees: The use of timber in construction. Renewable and Sustainable Energy Reviews 2017, 68, 333–359. [CrossRef]
- Green, D.W. Mechanical grading of 6-inch-diameter lodgepole pine logs for the Traveler’s Rest and Rattlesnake Creek bridges; Vol. 297, US Department of Agriculture, Forest Service, Forest Products Laboratory, 2005.
- Larson, D.; Mirth, R.; Wolfe, R. Evaluation of small-diameter ponderosa pine logs in bending. Forest Products Journal and Index 2004, 54, 52–58.
- Mergny, E.; Mateo, R.; Esteban, M.; Descamps, T.; Latteur, P. Influence of cracks on the stiffness of timber structural elements. Proceedings of the World conference on timber engineering, Vienna, Austria, 2016.
- Eckelman, C. Exploratory study of high-strength, low-cost through-bolt with cross-pipe and nut connections for square and roundwood timber frame construction. Forest products journal 2004, 54, 29.
- Moore, J.R.; Cown, D.J. Corewood (juvenile wood) and its impact on wood utilisation. Current Forestry Reports 2017, 3, 107–118. [CrossRef]
- Evans, P. The effects of incising on the checking of wood: A review. International Wood Products Journal 2016, 7, 12–25. [CrossRef]
- (US), F.P.L. Air Drying of Lumber; Vol. 117, US Department of Agriculture, Forest Service, Forest Products Laboratory, 1999.
- Dickson, A.; Dawson, B. Using cell cross-section dimensions and digital image correlation to evaluate drying shrinkage and collapse in Eucalyptus nitens wood. BioResources 2020, 15, 6149–6164.
- Gonya, N.; Naghizadeh, Z.; Wessels, C. An investigation into collapse and shrinkage behaviour of Eucalyptus grandis and Eucalyptus grandis-urophylla wood. European Journal of Wood and Wood Products 2022, 80, 139–157. [CrossRef]
- Fu, Z.; Chen, J.; Zhang, Y.; Xie, F.; Lu, Y. Review on wood deformation and cracking during moisture loss. Polymers 2023, 15, 3295. [CrossRef]
- Gril, J.; Jullien, D.; Bardet, S.; Yamamoto, H. Tree growth stress and related problems. Journal of Wood Science 2017, 63, 411–432. [CrossRef]
- Mugabi, P.; Rypstra, T.; Vermaas, H.; Nel, D. Zusammenhänge zwischen Trocknungsfehlerparametern und ausgewählten Wachstumseigenschaften von technisch getrockneten, südafrikanischen Eucalyptus grandis Masten. European Journal of Wood and Wood Products 2010, 68, 329–340.
- Yin, Q.; Liu, H.H. Drying stress and strain of wood: A Review. Applied Sciences 2021, 11, 5023. [CrossRef]
- Tomczak, K.; Tomczak, A.; Jelonek, T. Effect of Natural Drying Methods on Moisture Content and Mass Change of Scots Pine Roundwood. Forests 2020, 11, 668. [CrossRef]
- Evans, P.D.; Wingate-Hill, R.; Barry, S.C. The Effects of Different Kerfing and Center-Boring Treatments on the Checking of... Forest products journal 2000, 50.
- Simpson, W.T.; Wang, X.; others. Estimating air-drying times of small-diameter ponderosa pine and Douglas-fir logs. Forest Products Journal and Index 2004, 54, 24–28.
- Lee, C.J.; Oh, S.W.; Lee, N.H.; Kang, C.W. Effect of the knife-incising pretreatment on the surface checks occurrence of red pine heavy timber after drying. European Journal of Wood and Wood Products 2017, 75, 143–145. [CrossRef]
- Yeo, H.; Eom, C.D.; Smith, W.B.; Shim, K.B.; Han, Y.; Park, J.H.; Lee, D.S.; Lee, H.W.; Park, M.J.; Park, J.S.; others. Effects of center boring and kerf treatment on kiln-drying of larch square and round timbers. Forest products journal 2007, 57.
- Lee, N.H.; Zhao, X.F.; Shin, I.H.; Lee, C.J. Air Circulating Oven-drying Characteristics of Hollowed Round-post for Korean Main Conifer Species-Part 2: For Korean red pine hollowed round-post. Journal of the Korean Wood Science and Technology 2012, 40, 61–70. [CrossRef]
- Park, J.; Park, Y.; Han, Y.; Choi, J.; Choi, I.; Lee, J.; Yeo, H. Effect of outer surface sealing treatment on the reduction of surface check occurrence during the drying of center-bored round timber. Drying technology 2014, 32, 236–243. [CrossRef]
- Lim, J.; Oh, J.K.; Yeo, H.; Lee, J.J. Behavior of center-bored round timber beams in center-point bending test. Journal of wood science 2013, 59, 389–395. [CrossRef]
- Martins, C.; Dias, A.M.; Cruz, H. Bonding performance of Portuguese Maritime pine glued laminated timber. Construction and Building Materials 2019, 223, 520–529. [CrossRef]
- Pinilla Suárez, J.C.; Vásquez, V.; Hernández, C.; Luengo Vergara, K.; Campos, P.; Elgueta, M.; Catalán, L.; Navarrete, T.; others. Tensiones admisibles de la madera aserrada de aromo (Acacia dealbata D. Link.) clasificada visualmente 2019.
- Ananías, R.A.; Salvo, L.; Estrada, R.; Briones, R. Estudio experimental del secado a temperaturas convencionales de acacias. Maderas. Ciencia y tecnología 2008, 10, 151–162. [CrossRef]
- Rocha-Sepúlveda, M.F.; Vega, M.; Gendvilas, V.; Williams, D.; Harrison, P.A.; Vaillancourt, R.E.; Potts, B.M. R-based image analysis to quantify checking and shrinkage from wood wedges. European Journal of Wood and Wood Products 2021, 79, 1269–1281. [CrossRef]
- Schneider, C.A.; Rasband, W.S.; Eliceiri, K.W. NIH Image to ImageJ: 25 years of image analysis. Nature methods 2012, 9, 671–675. [CrossRef]
- RStudio Team, U.; others. RStudio: integrated development for R, 2020.
- Tamarit-Urias, J.C.; Quintanar-Olguin, J.; Ordóñez-Prado, C.; Rodríguez-Acosta, M.; Fuentes-López, M.E. Evaluation of the solar drying process of Guadua aculeata Rupr. ex E. Fourn. culms. Revista mexicana de ciencias forestales 2023, 14, 141–164.
- Montero, C.; Rozas, C. Estudio exploratorio para la caracterización de la tasa de secado de la madera de Eucalyptus nitens, aplicando modelos de regresión múltiple. Scientia Forestalis Piracicaba 2019, 47, 105–113. [CrossRef]
- Machado, J.S.; Louzada, J.L.; Santos, A.J.; Nunes, L.; Anjos, O.; Rodrigues, J.; Simões, R.M.; Pereira, H. Variation of wood density and mechanical properties of blackwood (Acacia melanoxylon R. Br.). Materials & Design (1980-2015) 2014, 56, 975–980. [CrossRef]
- Dinwoodie, J. Timber. (No Title) 2000, p. 212.
- Botter-Kuisch, H.; Van den Bulcke, J.; Baetens, J.; Van Acker, J. Cracking the code: real-time monitoring of wood drying and the occurrence of cracks. Wood Science and Technology 2020, 54, 1029–1049. [CrossRef]
- Lee, C.J.; Eom, C.D. Effects of knife-incising and longitudinal kerfing pretreatments on high-temperature drying of red pine and pitch pine timbers. BioResources 2021, 16, 8184.
- Dias, A.; Morgado, T.; Negrão, J.; Saporiti Machado, J. Connection for round wood timber members using multiple glued-in rods 2014.
- Huybers, P. Timber pole space frames. International Journal of Space Structures 1987, 2, 77–86.










| Reference(R) | Kerfing (K) | Hollow (H) | |||
|---|---|---|---|---|---|
| Samples | 16 | 16 | 16 | ||
| End-faces pairs | - | 16 | 16 | ||
| Variations | - | 8 (K-2k) | 8 (K-3k) | 8 (H-16mm) | 8 (H-30mm) |
| ( dm) | ||||||||||
| r1 | r2 | r3 | r4 | rp | r1 | r2 | r3 | r4 | rp | |
| Reference | ||||||||||
| Mean | 5.36 | 3.75 | 3.68 | 3.79 | 3.36 | 6.86 | 4.18 | 3.68 | 2.93 | 2.37 |
| S.Error | 0.47 | 0.27 | 0.24 | 0.20 | 0.18 | 0.32 | 0.26 | 0.21 | 0.19 | 0.14 |
| SD | 2.55 | 1.48 | 1.34 | 0.75 | 0.96 | 1.83 | 1.49 | 1.21 | 0.73 | 0.79 |
| Max | 10.76 | 6.82 | 6.94 | 4.82 | 5.73 | 11.14 | 7.16 | 6.90 | 3.98 | 3.81 |
| Min | 1.03 | 0.84 | 1.13 | 2.63 | 1.01 | 4.77 | 1.59 | 1.59 | 1.99 | 0.77 |
| Count (uts.) | 30 | 30 | 30 | 14 | 30 | 32 | 32 | 32 | 14 | 32 |
| K-2k | ||||||||||
| Mean | 4.61 | 3.31 | 1.99 | 1.24 | 0.74 | 6.57 | 5.17 | 4.05 | 2.29 | 1.39 |
| S.Error | 1.50 | 0.75 | 0.64 | 0.33 | 0.18 | 0.87 | 0.54 | 0.55 | 0.59 | 0.20 |
| SD | 3.97 | 1.98 | 1.70 | 0.67 | 0.49 | 2.47 | 1.53 | 1.55 | 1.19 | 0.57 |
| Max | 11.55 | 6.54 | 5.48 | 1.84 | 1.52 | 9.55 | 7.16 | 6.90 | 3.98 | 2.44 |
| Min | 0.64 | 1.25 | 0.45 | 0.28 | 0.28 | 1.59 | 3.18 | 2.65 | 1.19 | 0.52 |
| Count (uts.) | 7 | 7 | 7 | 4 | 7 | 8 | 8 | 8 | 4 | 8 |
| K-3k | ||||||||||
| Mean | 4.28 | 3.54 | 2.15 | 1.08 | 0.70 | 6.17 | 5.17 | 3.65 | 2.92 | 1.16 |
| S.Error | 1.00 | 0.60 | 0.62 | 0.22 | 0.38 | 0.47 | 0.50 | 0.80 | 0.13 | 0.40 |
| SD | 2.82 | 1.70 | 1.76 | 0.38 | 1.07 | 1.33 | 1.41 | 2.28 | 0.23 | 1.14 |
| Max | 9.23 | 6.25 | 5.13 | 1.37 | 3.20 | 7.96 | 7.16 | 6.90 | 3.18 | 3.06 |
| Min | 0.89 | 1.45 | 0.33 | 0.66 | 0.00 | 4.77 | 3.18 | 0.53 | 2.79 | 0.00 |
| Count (uts.) | 8 | 8 | 8 | 3 | 8 | 8 | 8 | 8 | 3 | 8 |
| H-16mm | ||||||||||
| Mean | 3.78 | 3.31 | 3.22 | 3.33 | 3.03 | 6.68 | 5.25 | 4.24 | 4.24 | 2.36 |
| S.Error | 0.89 | 0.63 | 0.49 | 0.56 | 0.42 | 0.62 | 0.38 | 0.36 | 0.87 | 0.13 |
| SD | 2.68 | 1.88 | 1.48 | 0.97 | 1.26 | 1.96 | 1.20 | 1.15 | 1.51 | 0.41 |
| Max | 8.57 | 6.37 | 6.10 | 4.43 | 5.53 | 9.55 | 7.16 | 5.84 | 5.97 | 3.12 |
| Min | 0.65 | 1.08 | 1.71 | 2.62 | 1.75 | 4.77 | 3.98 | 2.65 | 3.18 | 1.66 |
| Count (uts.) | 9 | 9 | 9 | 3 | 9 | 10 | 10 | 10 | 3 | 10 |
| H-30mm | ||||||||||
| Mean | - | 2.55 | 2.94 | 3.11 | 3.11 | - | 4.51 | 4.16 | 3.28 | 2.61 |
| S.Error | - | 0.52 | 0.36 | 0.43 | 0.25 | - | 0.34 | 0.59 | 0.25 | 0.38 |
| SD | - | 1.28 | 0.87 | 0.85 | 0.61 | - | 0.82 | 1.44 | 0.50 | 0.93 |
| Max | - | 4.47 | 4.15 | 4.21 | 4.02 | - | 5.57 | 6.90 | 3.98 | 4.21 |
| Min | - | 0.92 | 2.03 | 2.20 | 2.38 | - | 3.18 | 2.65 | 2.79 | 1.79 |
| Count (uts.) | - | 6 | 6 | 4 | 6 | - | 6 | 6 | 4 | 6 |
| r1 | r2 | r3 | r4 | rp | r1 | r2 | r3 | r4 | rp | |
| r1 | - | - | - | - | - | - | - | - | - | - |
| r2 | 0.002 * | - | - | - | - | < 0.001 * | - | - | - | - |
| r3 | < 0.001 * | 0.999 | - | - | - | < 0.001 * | 0.569 | - | - | - |
| r4 | 0.026 * | 0.999 | 0.999 | - | - | < 0.001 * | 0.032 * | 0.039 * | - | - |
| rp | < 0.001 * | 0.884 | 0.941 | 0.927 | - | < 0.001 * | < 0.001 * | < 0.001 * | 0.694 | - |
| Value-F | 6.96 | 51.29 | ||||||||
| Value-p | < 0.001 ** | < 0.001 ** | ||||||||
Disclaimer/Publisher’s Note: The statements, opinions and data contained in all publications are solely those of the individual author(s) and contributor(s) and not of MDPI and/or the editor(s). MDPI and/or the editor(s) disclaim responsibility for any injury to people or property resulting from any ideas, methods, instructions or products referred to in the content. |
© 2024 by the authors. Licensee MDPI, Basel, Switzerland. This article is an open access article distributed under the terms and conditions of the Creative Commons Attribution (CC BY) license (http://creativecommons.org/licenses/by/4.0/).