Preprint
Article

This version is not peer-reviewed.

Linking the Expansion of the Universe to the Dimension of Time

Submitted:

16 June 2024

Posted:

17 June 2024

You are already at the latest version

Abstract
We present a new theory to explain the expansion of the universe that augments general relativity to create a container within which quantum effects can be explained by treating time as an artefact of a fourth spatial dimension. The theory is tested by accurately modelling against stellar luminosity data that is available for redshifts, z
Keywords: 
;  ;  ;  ;  

1. Introduction

Presented here is a model for the expansion of the universe which treats the expansion itself as a further space dimension. We show that the model can accurately predict the available stellar luminosity data of “standard candles”—those that have intrinsic luminosity and whose distance from us can therefore be inferred—and provides results for the current Hubble constant and age of universe obtained in alignment with previous calculations. However, the model also shows that within the expansion dimension itself, the universe is in fact slowing in its growth and the apparent acceleration we observe is due solely to the volumetric increase caused by this fourth overlay dimension.
The model follows some very basic physical principles stemming from the one single premise of treating the expansion itself as a spatial dimension. As all historical light reaching us from distant luminous objects must have travelled at the speed of light and in a straight line from its point of origin to reach us, we need to consider only one spatial dimension and the expansion dimension to model it. It is also assumed that bending of any of these light ray paths as caused by gravity effects of objects that the light passes will be random and equalise out when considering the universe as a whole. This would mean that to reach us, each light beam has taken a path along the surface of the expanding sphere. Although other light beams will have taken completely different paths, each light pinpoint can be dealt with similarly. Therefore, for each photon, if we take a slice through the expansion dimension and the straight-line spatial path that each photon takes, then you will end up with a spiral path (in time) consistent with the expansion of the universe as seen in Figure 1. A different photon would require a different cross section/alignment, but the spiral path would simplify to be the same assuming that the expansion of the universe has been isotropically similar and dependent only on the distance from the Earth to the object being observed.
The magnitude of the observed light (expressed as the distance modulus m-M) of any object is related to the luminosity distance by:
m M = 5 l o g D L + 25
where D L is the luminosity distance in Mpc and can be defined as
D L = L 4 π F 1 2
L is the intrinsic luminosity of the object, and F is the observed flux. For nearby objects (those for which the time that has passed is minimal and there has been little increase in radius), this would approximate to the distance around an arc of our spiral model, D S p i r a l . For objects that are further away, then distortion will occur through two effects:
As the light stretches, the energy of the light diminishes, which causes a reduction in intensity. The wavelength of light will increase relative to r n o w / r t h e n as the circumference becomes proportionally larger for the same angle, so consequently, the energy of the light will drop in intensity relative to r t h e n / r n o w .
Second, the stretch will mean that the photon arrival rate within a beam of photons will be reduced again according to r t h e n / r n o w .
The consequence of this is shown below:
m M = 5 l o g ( 1 + z 2 D S p i r a l ) + 25
And
D L = 1 + z 2 D S p i r a l
where z is the observed redshift. The redshift observed for any point around the spiral will be directly related to the size of the universe at that point, i.e., the circumference. As the circumference of our expansion sphere is directly proportional to the radius, the stretching effect or redshift is:
z + 1 = r n o w r t h e n
The spiral distance of a light beam’s origin to earth can be seen to be the integral of the light travel distance:
D s p i r a l = r n o w r c v H d r
where v H is the observed rate of increase in r or the resultant velocity over time (we have used H in v H to denote that this is the observed expansion velocity derived from Hubble expansion) and r is the radius of the time expansion sphere.
If the rate of expansion were constant (i.e., v H is a constant and independent of r), then:
D s p i r a l = c v H r n o w r

2. Results

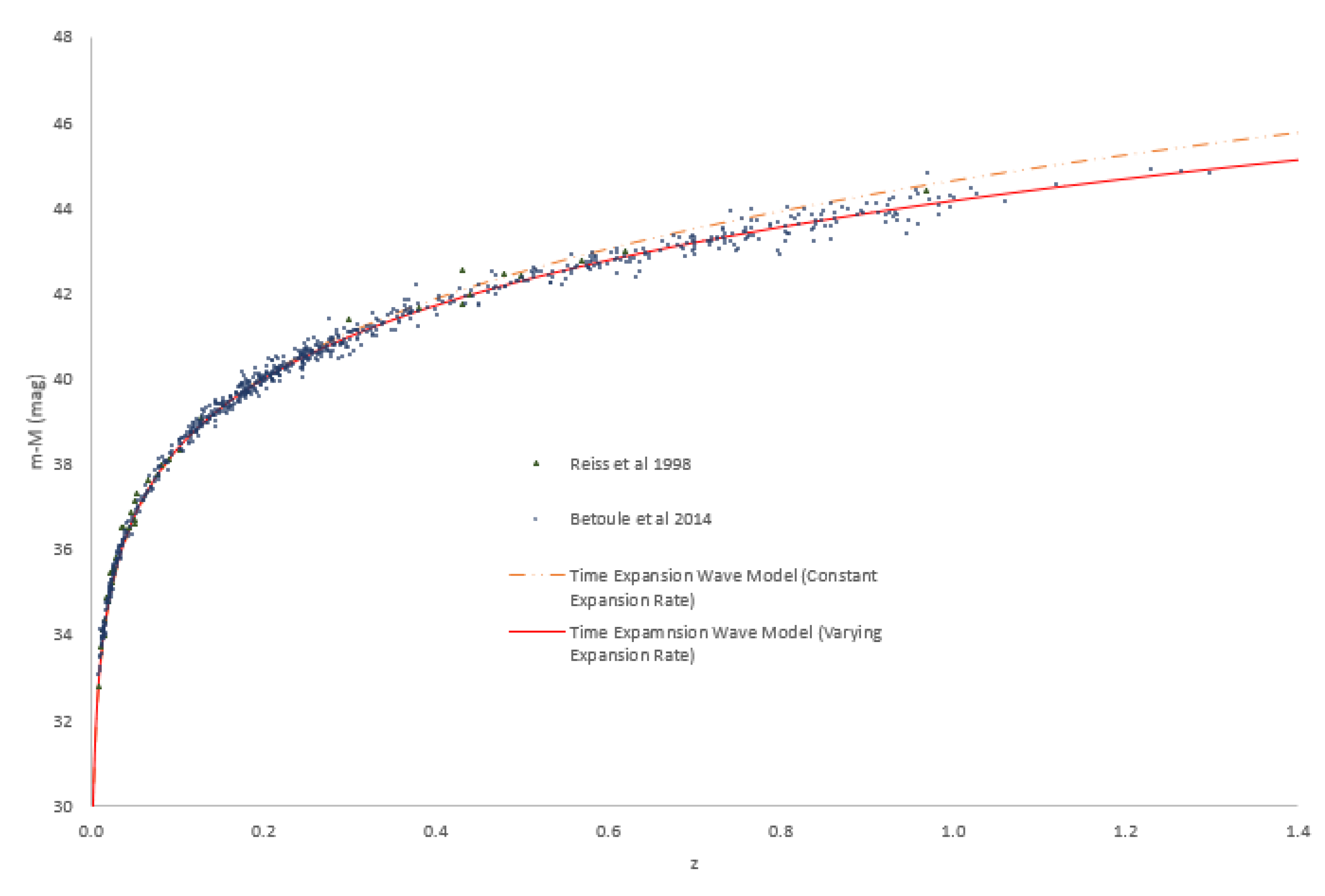
Figure 2 shows the results of our fit to the luminosity data of Reiss et al. [1] and Betoule et al. [2]. Although a constant velocity of expansion (as shown by the orange dashed line) can be seen to fit reasonably well for nearby objects, the best fit is obtained by allowing the velocity of expansion to vary with time. We fitted the speed of expansion using a simple exponential decay function of the velocity from time zero, and we found this to correlate accurately in the region (for z<1.3 and r>45 Mpc) for which we had data available.
v H = v t e k r + C
The expansion velocity versus the radius of the expansion sphere used in this model can be seen below over the range for which data are available:
Please be aware that the utilization of the exponential decay function in this context is not intended to represent an exact mathematical depiction of reality. Instead, it acts as an algorithm employed to ascertain the pattern of changes in the expansion speed within the specified region of interest. However, what is definitive from the results is that the average velocity over time (or the velocity of expansion of the universe) is slowing down.
To explain the results, it is surmised that the expansion had an initial dramatic increase, but then all “particles” in the universe moved and interacted to such an extent that they slowed in their expansion over billions of years to the current resultant average velocity and that we now exist in the tail of the expansion wave. From our discussion later in this paper, we deduce that the initial speed of time at r=0 must be the speed of light, which has decayed away from the current speed we observe today.
We therefore also fit the data restricting v t + C = c from equation 8 to achieve this. The imposed restriction yields a satisfactory fit, particularly for the accessible data within the z<1.2 range. However, when dealing with high-z data, the basic exponential fit encounters challenges, hinting at its limitations as a representation of the decline in the expansion rate. In response to this, we have introduced an extra exponential term to accommodate two distinct decay rates: an initial swift decay succeeded by a less abrupt decline:
v H = v t e k r + v t ' e k ' r + C
The restriction v t + v t ' + C = c is applied. The different types of models of expansion speed discussed above can be seen in the figure below:
As mentioned previously, the use of an exponential decay is simply a tool for mirroring the observed data, but it does at least give us the suggestion of at least two decay processes—one of rapid expansion followed by a less rapid tail. This is consistent with the idea that the universe had a rapid cosmic inflationary period at its inception [3]. We cannot determine from the data modelled here whether rapid expansion happened close to r=0 or was more spread out. The parameters obtained for our complex decay were as follows:
v t ' = 0.9476, v t =0.0309, C=0.0215 (expressed as fractions of c, the speed of light), r=96.411 Mpc, k=0.0318. A value of k’>0.18 needs to be used to achieve accurate results against the r<50 Mpc data. The value used in Figure 4 in yellow is for k’=0.2, but there is no significance in this value other than to visually show the effect of two decay mechanisms. k’=100 is shown for comparison which shows the extreme case where the initial expansion is extremely rapid.
The fit using our refined exponential decay results in a current average expansion rate of v H =6.87 ± 0.36 × 106 ms-1, which results in a Hubble expansion rate constant of 71.3 ± 3.7 km/s/Mpc, in broad agreement with previous figures [4,5]. The high z fits do not change the resultant v H but merely provide a more accurate fit at higher z and therefore can lead us to imply at least two types of decay were present. The extreme high k’ case is more consistent with inflationary theory. This is believed to be required to achieve the roughly equal distribution in temperature of the cosmic microwave background that is seen no matter where you look in the universe [6]. Consequently, we have used this fit throughout the rest of this paper and is the model presented in Figure 2 and Figure 3.
As seen above, the rate of increase in radius of the expansion wave is decreasing in time. However, when considering the volume of space generated by this expansion over time, each spatial dimension grows by a factor of 2πr, where ‘r’ represents the radius of the expanding sphere. Consequently, the volume increase is proportional to r3. If we consider the volume of the universe today as having a scale factor of 1 and then regress back to time-zero, our model calculates the relationship depicted in Figure 5.
We therefore predict a distorted view that the universe is accelerating in its expansion. This result is consistent with previous theories which fitted to the luminosity data using the Friedmann-Lemaître-Robertson-Walker (FLRW) cosmological models [2,3]. However, as can be seen, the accelerating expansion effect is in fact purely due to the overlay of an additional spatial dimension and does not require a cosmological constant, nor the presence of dark energy. Note that the Freidman equation can be derived using our theory, and although it is simplified, does not disagree with the basic principles of the FLRW model. The presence of the extra dimension though leads us to the opposite conclusion—the linear expansion within the expansion dimension is decreasing.
Our conclusion therefore is that if you consider the expansion of the universe as an extra dimension which is growing, it explains the seemingly accelerating expansion effect in a more simplistic way. Early philosophers interpreted the heavens as rotating about a flat earth as this was the immediately obvious observation. Yet it only explained some of what was observed and the realisation that the earth was spherical, and spinning answered those problems. We believe that similar is true with the universe and current theories used to explain it. To make previous models and theories fit with the observations then there is a need for an invisible form of energy that no one has observed that is somehow pushing the universe ever faster apart. Our conclusion here is that the expansion is merely an overlay effect of this extra dimension, and the expansion rate of this 4th dimension is in fact decreasing.

3. Discussion

Mass out of Time and Special Relativity

If an object is stationary in normal 3D space, then because of expansion it will still move away from time zero with a velocity which we might initially define as v t , and will therefore have a momentum and energy that we do not appreciate is present. If something happens to convert this expansion into sideways motion—e.g., a mass breaking apart due to nuclear decay, then this breaking apart will lead to a general slowing of the expansion to conserve overall momentum. This results in the effect on momentum shown in Figure 6. To conserve momentum and assuming resultant masses are equal (for simplicity) then it would follow that:
1 2 p t 2 = p A 2 m A v A 2
m A v t 2 = m A v X 2 m A v A 2
v t 2 = v X 2 v A 2
where v t is the velocity of expansion, v A is the velocity of the particle in space and v X is the resultant velocity vector. But—where did the energy come from to generate the push off? If it was simply a translation of the kinetic energy, then this would lead to:
1 2 m v t 2 = 1 2 m A v X 2 + 1 2 m B v X 2
m A v t 2 = m A v X 2
v t = v X
This clearly is not the case. Consequently, it must be the mass of the object (or at least that appreciated in 3D space), rather than the velocity that provided the energy and must therefore change when it splits apart, so
m 0 v t 2 = m A v t 2 m A v A 2
m A 2 ( v t 2 v A 2 ) = m 0 2 v t 2
m A m 0 = 1 1 v A 2 / v t 2
where v t is the unperturbed speed of expansion, v A is the velocity of a particle in normal space, m 0 is the mass of the particle hidden in the expansion dimension and m A is the resultant mass. Rearranging for v A , we obtain:
v A = v t m A 2 m 0 2 m A
This parameter is the sideways or deflection (from complete expansion) velocity, which can be used to calculate the energy gained or released from the expansion dimension by mass production. This energy of deflection is simply the momentum squared divided by twice the average mass before and after the reaction:
E = m A v A 2 2 ( 1 2 m 0 + m A ) = m A v A 2 ( m 0 + m A )
where m 0 and m A are the masses before and after the interaction/reaction, respectively.
In other words, we say that by time dilation, mass energy is brought into the 3D world from the expansion dimension. Conversely, you could say that the expansion of an object has slowed, adding to the overall decrease in expansion and increase in observed mass. By combining Equations (12) and (13) and simplifying, we can express this expression in terms of v t :
E = v t 2 ( m A 2 m 0 2 ) m 0 + m A
Now, considering a scenario where the initial mass is zero (equivalent to dealing with a delta in mass), then:
E = v t 2 ( m A 2 ) m A = m A v t 2
The above equation is obviously well known from special relativity, and we can conclude from this that v t is in fact the speed of light, c and that this expansion wave theory provides a good explanation of why this limit exists, and consequently why the phenomenon of special relativity occurs. If anything were able to travel any faster, then it would break away from our timeline and escape the universe we know.
From this, the expansion of the universe might be thought of like a series of fireworks forever going off. There is immediate expansion, which then slows before then exploding and exploding again. In our analogy, however, a new firework can be created from the coming together of previous debris to subsequently “explode” again and again. The overall initial trajectory continues away from the epicentre, and although, on-the-whole, it slows, every so often, there is a burst of expansion in different directions. If something is travelling at the speed of light, then it is contributing to the universe’s expansion, although not necessarily in the same direction as us. If it is travelling at a different trajectory to our expansion trajectory, then we will not view it as an expansion.
A further, perhaps more significant, conclusion from the above link to special relativity is that the expansion dimension we are talking about must be the dimension we know more familiarly as time. We know from special relativity that time moves relative to the observer. An object in motion experiences time dilation. Mathematically this is proven already but the above explains why this physically occurs—by travelling at a rapid rate within our normal 3D space you deflect away from expansion. The time dimension can therefore be regarded as being no different to any space dimension—it is a spatial dimension, but one on which we travel in time and can therefore only appreciate a small sliver of it. But, without expansion, we would not perceive time. This is why time is not actually a constant in the universe—it is different for everyone. The expansion sphere is a time expansion wave.
What this means is that everything is travelling at the speed of light in one of 4 dimensions. If it is travelling perpendicular to the expansion path, we see the object travelling at c, and it appears as light. If it is travelling with the timeline, we will not observe it. Any direction in between, and we observe the object to be travelling along our timeline, and it will appear to have mass.
Light beams that reach us at Earth are expanding from their own origin and will effectively follow their own expansion path. From our point of view, they will reach us perpendicular to our own expansion along the surface of the expanding sphere. They will have an element of oscillation in the expansion dimension and perpendicular to this, as will be described in a later section and they will contribute to the overall isotropic expansion if taken as a whole, but from our point of view, they will arrive through 3D space.
The other implication that can be drawn from this thought process is that at the time of the so-called big bang, the universe was composed entirely of radiation consequently travelling at the speed of light. So, the above is a mechanism for mass generation. Mass is created, or rather transformed out of, the expansion wave. The presence of mass represents that the particle has some presence in all 3 dimensions of “real” space. A “massless” particle like the photon has presence in only 2, so has zero observable volume and therefore zero observable mass from our point of view.

Gravity

It follows that every distinct object in the universe has its own expansion trajectory within the expansion wave. As objects clump together and create a more massive single entity, by definition, they are not expanding away from each other as they coalesce. This movement toward each other will cause a time dilation (the universe expansion will be distorted), meaning that heavier objects will end up further back within the expansion wave. The more massive the object becomes because of this coalescence, the more dilated the space will be. In effect, a dimple will be created in the expansion sphere wave front, as shown in Figure 7, slowing the time in this region of space, which will mean that any object passing will accelerate toward the clump. In addition, those objects that have accelerated toward the massive object will in turn add to the combined mass of the object. Where more clumping has taken place, these areas of the expansion wave will sit closer to time zero than areas that have not clumped together. Note that this effect is subtly different from the “mass out of time” effect of radiation being slowed from expansion and creating mass. Gravity is an accumulation effect whereby two or more items that have mass coalesce and consequently are forced to follow the same trajectory, which has an overall effect of slowing down the expansion in that area, creating a time dilation, and consequently creating an attractive force for any object with mass in the vicinity.
The theory of general relativity linked time and space. Einstein’s theory suggested that the observed gravitational effect comes about due to a warping of spacetime. The warping of spacetime creates a curvature in spacetime which then means any object close to the warping will be attracted or rather accelerated towards its centre. The time expansion theory presented here suggests that the warping is in the time expansion wave front on which we ride and is simply caused by a retardation of the expansion due to mass build up in that region of the wave front. It is therefore easy to understand in our theory why the effects of gravity are indistinguishable from acceleration. In our model we are talking about differences in the rate of expansion causing the distortion, so any object nearing the distortion will consequently experience a time dilation which will have the result that it will in effect accelerate towards it.

Black Holes

In general relativity, singularities, where spacetime curvature and density become infinitely large, exist at the heart of every black hole. Time expansion theory by contrast sees a black hole as a deep dimple on the blast wave front where matter has conglomerated to such a density that it appears to occupy a volume of spacetime that is out of sight. In physical terms, we know this to be where the matter is compacted into a region smaller than the object’s Schwarzschild radius. In other words, the dimple is so deep that light travelling across the blast wave front will disappear into the dimple and stay there—effectively entering a “time” zone that we would no longer have access to. But time expansion theory does not predict a singularity—it is just a dimple that we can’t see the bottom of. Information that has entered the black hole still exists, but it has travelled to a part of the time dimension that we cannot reach. If no matter ever enters the black hole again, then as the universe expands and the blast wave front stretches, the dimple will diminish in density as it is stretched out and the matter and information that disappeared within it would be able to radiate out again once it is stretched beyond its Schwarzschild radius. The idea of a blackhole radiating is not new although it has never been experimentally observed. It is an idea that came about to address a principle in quantum mechanics that information must be conserved. Steven Hawkings came up with an idea that virtual particles created at the event horizon could radiate if one half of the split pair fell into the black hole and the other escaped [7]. The resolution to the information paradox, as provided by Hawking radiation, addresses the concerns about information loss associated with particles created near the event horizon. However, it does not extend a solution to the fate of particles that have already crossed the event horizon. Time expansion theory however allows for a mechanism by which the information is conserved.

Dark Matter

Although dark matter and dark energy are not needed to explain the luminosity data using our model—our model has no bias on the type of energy density in the universe—we believe they may still have a role to play. We believe dark matter and dark energy (if it exists) may be the matter (or energy) of the time expansion wave shown in the light grey bands of Figure 7 immediately before and after the point where we are respectively in time. Spiral arms of galaxies have been observed spinning with greater velocity than they should at large distances from the galaxy centre if visible matter alone were present in the universe [8]. Dark matter has been proposed as the answer to balance this observation. It is easy to believe that there may be matter behind us in the expansion wave that we cannot see or interact with unless we were a super massive object which has dipped the wavefront backwards to overlap this matter; the larger the object the more it will dip back in time on the blast wave front and interact with matter behind us on the time expansion wave. This would explain the observations but also why we are struggling to identify or observe dark matter, and yet it has a real effect on our universe.

Age of the Universe

Carrying out a simple calculation of r / v H from our model results in an age of the universe of 13.7 billion years. This is consistent with other predictions. But note also that in our model v H   varies over “time”—so the actual age of the universe must be < 13.7 billion years if we measured using today’s concept of a second. The actual age may be substantially smaller depending on the duration of the primary expansion. If the inflationary period were almost instantaneous to the extent that only the second term of our exponential decay dominated for most of time, then the actual age of the universe might be 10.6 billion years. But of course, if the universe’s perception of a second changes according to the speed we are expanding—then the 13.7 billion years would be the time expansion corrected value we observe.
To this point we have concentrated on the macroscopic universe to justify our model and resultant theory. However, for it to be valid it must also be able to justify phenomenon at all scales and the following shows how this simple concept that time is a spatial expansion dimension can explain why macroscopic and subatomic physics can behave so differently and yet originate from the same phenomenon.

Wave‒Particle Duality

The classical Young’s double-slit [9] experiment carried out originally with sunlight proved that light behaves as a wave upon passing through a double slit, and an interference pattern emerges from the light coming out of the two slits. However, within his theory on the photoelectric effect, Einstein proved that a photon must have a physical or particle-like presence [10]. In the original Young’s double-slit experiment, one would therefore believe that this interference pattern occurs because photons interfere with other photons. To investigate this phenomenon, more recently, a double-slit experiment was carried out in which a single photon passed through the slits at a time [11]. However, the interference pattern is still observed. To date, despite being a well-established and experimentally verified aspect of quantum mechanics, the philosophical and interpretational aspects of this duality, continue to be the subject of debate and discussion in the physics community. By contrast, time expansion theory holds a reasonably logical and intuitive explanation.
To reiterate, in our theory, the time dimension is a spatial dimension that is no different from any other space dimension except that it reveals itself only through the passage of time, as we are propelled along it. The world around us must have a window of finite size with which it can view the time dimension. This finite size width then effectively allows for a certain degree of freedom regarding interactions between particles. For macroscopic objects much larger than this window, we do not notice any variation in the position of the object within the time window when the interaction occurs. However, if an object is smaller than the window, then this degree of freedom becomes important. A photon passing along the surface of the expansion sphere can resonate or rotate within the time expansion dimension much like a water molecule would if it were caught in a water wave. In other words, photons or subatomic particles can travel back and forward ever so slightly in time from our point of view—from the photons perspective the time dimension is just a spatial dimension; therefore, from our point of view a photon would be able to be in multiple places at any one instance of time and exhibit wave-like, probabilistic behaviour.
If the photon is indeed a particle or at least a packet of energy, it is largely hidden in the temporal dimension and phases in and out of intensity as its presence or overlap with the observer’s time window comes into focus. Figure 8 represents how this effect may occur. In our theory, the photon is rotating in time which has the effect that it is present over a range of times, blurring its existence at any one point and allowing it to interfere with itself as in the single photon slit experiment. Therefore, prior to interaction, the photon is mostly hidden in the temporal dimension. Only when a photon encounters something wholly in 3D space, as revealed by the photoelectric effect, is the photon oscillation in time halted with the energy of the oscillation being absorbed by the object it interacts with.
The double-slit experiment was further enhanced so that it could be determined which slit the photon went through. When this occurs, the interference pattern disappears. When initially faced with this phenomenon it would appear as though the photon, upon being observed, promptly acknowledges its observation, aligns itself, and exhibits characteristics more reminiscent of a particle. Again, this effect has no current explanation beyond being dubbed a quantum effect. However, time expansion wave theory allows for this outcome in a far more tangible way. Basically, the “observation” point locks the photon into the current time zone in much the same way as with the photoelectric effect.
Recently, an interesting experiment has been carried out allowing for the double-slit experiment to be carried out in time rather than space by using a film of iridium tin oxide to open and close the time slot. The results of this experiment showed that the beam seems to interfere across time with the beam from earlier and later times [12]. Again, this thus far has no explanation and seems counterintuitive until now. In contrast, if we think of an oscillating time expansion effect, this result provides strong evidence and support that our theory is correct, as if the light is rotating backwards and forwards in time—time is no different to space—then it will of course be able to interfere across time. Another point to note is that the size of the time window itself being finite will produce boundary conditions for the oscillations which will create quantization of the energy stored in the time dimension due to creation of a standing wave.
Through time expansion theory we can therefore provide an explanation of how light can interfere with itself even across time as it is indeed resonating in the time dimension but also explain how it can also be revealed as a particle upon interaction with an object that is already fully present in standard 3-dimensional space. While quantization of light is used as the so-called explanation of the effect, time wave expansion theory explains how this quantization comes about and why it happens.

Electron Spin

The above effect will continue for subatomic particles that have mass in the 3D world. Support for this idea is that subatomic particles exhibit wave-like behaviour with electrons exhibiting interference patterns when passed through a slit [13]. Because of its size, the electron is also able to oscillate within the time spatial dimension, and consequently has wave-like properties like those of a photon. The wave‒particle duality observed basically occurs where particles slip in and out of the 4th temporal dimension. A photon is an extreme example restrained to the temporal dimension and 2 other spatial dimensions, but subatomic particles will also resonate within the narrow time gap because of their size relative to the window.
What follows is a discussion of how some of the vast complexity of quantum mechanics can spring out of this seemingly simple concept. It is not meant to be all inclusive but only touch on major areas to show that the basics of the theory not only hold true but provide explanations that make intuitive sense. The compartmentalisation of time into a finite window means that “particles” must be categorized as spinning one way or another relative to another dimension or the direction of expansion or confined to certain sized states due to the size of the window and this will then lead to these particles interacting in very specific ways and exhibiting properties specific to that quantization. This theory therefore provides the container for quantum mechanics and gives it the link to the universe beyond being a mathematical representation. Deeper understanding can be drawn but for now we are just presenting that the theory can provide explanations why key fundamental quantum states exist.
The spin associated with electrons is believed to be a quantum property. This leads to many important quantum effects, such as Pauli’s exclusion principle—no two electrons occupy the exact same state, which arguably leads to all the chemistry we see around us. However, for the electron, it is at least believed that quantum spin is different from actual spin. It has all the hall marks of spin, appears to possess angular momentum and yet is not spin, as there is nothing that can spin. An electron, a charged particle, has a magnetic field that it would indeed have if it were allowed to spin. Previously, this has been described as a basic quantum mechanical property of all fundamental particles—an intrinsic form of angular momentum. However, our theory allows for actual spin—a spin within the time dimension—to exist. This simple concept has far-reaching consequences. Having a fourth spatial dimension available means that there is an extra degree of freedom. Therefore, an electron (or other particle) that rotates in time will also move in 3 other dimensions. It may rotate clockwise or anti-clockwise relative to the expansion direction. If we narrow it to spin in time and one other space dimension, we can either spin forward and backwards in time or spin perpendicular to the direction of expansion. This artefact of spin—that at any one specific point in time, the electron must be travelling one way or another and that this spin direction might cause a slightly different real-world effect means it must fall into a specific quantum state. The Stern–Gerlach experiment showed that the electron only possesses two possible spin states [14]. If we allow for a spin in the time dimension, then this spin can be categorised as going clockwise or anti-clockwise to the direction of travel (expansion in time). We believe that the spin, as displayed in the Stern–Gerlach experiment, is the result of this perpendicular spin as the states reveal no difference in energy.
Spin forwards and backwards in the direction of expansion would result in a particle’s ability to oscillate in time relative to our point of observation creating a wave like effect as described above for light but also realised for particles such as electrons. The oscillation in time of a particle would mean that the particle’s presence would be blurred, and its absolute position cannot be known unless it interacts with something and is consequently observed consistent with quantum mechanics. The other implication of a miniscule oscillation in time is that time dilation effect caused by different oscillations of the approaching particles might then attract or repel the particles towards each other.

First Light and the Creation of Charged Matter

As described above the evidence suggests that at the point of the universes creation, everything was travelling at the speed of light and therefore must have existed only as radiation, i.e., photons—so nothing else existed. Therefore, the photon must be the building block of all the other particles or be able to energise something to create all the other particles. The photon itself is only ever present in our world in 2D—choosing to hide its third side in the time dimension. However, by slowing down and moving into the 3 physical space dimensions, it forms every other particle type with all their properties—or it at least creates the fundamental particles that go on to create the others.
It seems that the speed of light is limited by the fact that as soon as the speed is achieved, the particle collapses entirely into only 2 dimensions and time. We see light travelling toward us; then, at right angles, we will see the electric field and magnetic field. These two fields are the remnants left over to the 3D world revealing the presence of something that is “hiding” in the time dimension. The electron also possesses these fields, but as it has mass, it is present in all 4 dimensions at the same time, with only some of its mass blurring into the time dimension.
It has been shown at least indirectly that an electron (and positron as a pair) can be created by crashing together two high-energy photons [15]. This process, or similar processes, must have therefore occurred in the early universe. The electron and a positron have a characteristic called charge that the photon does not have so when they create from a photon, they must create in pairs. What this must mean is that at the point of creation, the split causes an asymmetry of the resultant particles. If we consider this in terms of time expansion theory, then at the point of collision, the photon is either on the forwards part of its spin or on the backwards part of its spin relative to the time dimension. As we believe that electrons and positrons are always created in pairs, then the intimate part of the collision may cause the two particles to leave the interaction zone in an opposing time direction. However, if this assumption is correct, then once separated, this property is frozen within the newly created particles.
Therefore, if the charge is simply concerning whether a particle spins in a way that means, on average, it is dipping back in time from its mass baseline or is spinning forwards, a neutral particle would be one that has stabilised such that the forward and back motion is cancelled.
If the above is true and we assume that the electron reaches back in time and the positron forward, then this might explain why the universe in which we exist seems to be electron biased. By reaching back in time, toward the heavier mass bass line, the electron will be forever tied or drawn toward the mass in the expansion wave that we inhabit. In contrast, the positron will be attracted toward a part of the expansion wave just out of reach. We now live in a different place than the early universe. When the first electrons were created, there would have been no mass to be attracted towards and most positrons would escape only momentarily from their electrons to end up combining with a different electron. However, if the positrons from a zone that is historically and therefore gravitationally behind the current time zone come together, then on the subatomic level, a new electron may encounter the “positron” from a heavier gravitational zone and consequently see a heavier particle. This process is not likely to be happening in today’s universe, but we could conceive of such a mixing in the chaotic early universe.
If the above is true, a negative charge can therefore be described as occurring when a particle is able to rotate backwards in time from its centre of mass, and a positive charge is one that can reach forward. As the two types of particles obtain this ability via spin in the time dimension moving backwards and forward, they overlap and “see” the other particle before they come into physical contact. If the resultant combination is energy efficient, i.e., results in a loss of mass and a return of energy to expansion, then the overlap would be favourable, and there would be an effective gradient of attraction. If the opposite is true, then they repel each other. Therefore, the spin in the dimension of time gives particles the ability to look ahead and see what they might become if they combine as they approach. It would therefore explain how attraction or repulsion can happen across empty space forming a field effect in normal 3D space. A positive particle spinning up and negative particle spinning down would result in a neutral particle that spins equally in both directions or may not spin at all. The result of such a combination would likely be beneficial overall from a symmetry point of view—the positive ion would perhaps be drawn away slightly from the time baseline, and the negative electron would be drawn down but overall—because of the mobility of the electron and its relative mass, the overall effect results in a lighter overall product. Basically, the universe appears to be forever trying to repair the expansion and return to a higher expansion rate—i.e., a lighter, more expanding state is favourable. The likely reason for favouring returning to expansion is simple entropy. Effectively, the universe would prefer to be much more spread out than clumped together. A hydrogen atom is lighter than the sum of a proton and electron combined because some of the mass is due to the energy of the electrostatic attraction of the two particles, and upon interaction, this energy is allowed to return to the time dimension.
The blurring of time that allows the electron to look forward and backwards basically explains why it and other subatomic particles can be described only by probability wave functions and not by classical mechanics. The force of attraction or repulsion must therefore be closely linked to the energy of the oscillation in time produced by this resonant effect.

Resonance in Time

The theory results in one quantified result that we can compare to observations, and that is the current average expansion speed of the time dimension. The best value for this speed, v H , is 6.87 ± 0.36 × 106 ms-1, as discussed earlier. In a universe that is created from such simple building blocks then it seems likely this rate is responsible for other “constants” in the universe.
Water molecules confined within a wave exhibit a tendency to rotate at a velocity consistent with the traveling speed of the wave. Therefore, if we are all caught up on a wave of time travelling at v H , the particles caught up within the wave will perhaps try and spin at this velocity. If this were the case, the time to repeat a spin cycle in time would be 2 π r p / v H , where r p is the radius of the “particle” orbit within the time wave and v H is the current velocity of time. In the 3D world from which we observe this, we cannot perceive the width of the time dimension, so all we see within 2 of the 3 dimensions of “real” space would be a repeating phase of 2 r p . That is, the wavelength at which we observe “radiation” should be 2 r p . The frequency of repeat would therefore be:
f = v H 2 r p
Therefore, if a particle spins in time, it will have an apparent spin speed in the 3D world 2 r 2 π r / v H = v H π = of 2.19 × 106 ms-1. This velocity is approximately 1/137 times the speed of light. This is the value of the fine structure constant, which is known to be responsible for quantifying the strength of electromagnetic interaction. This finding ties together with our qualitative argument that this rotation in time is what causes the electromagnetic effect.
The velocity is also the most likely velocity (or Bohr model velocity) at which the electron travels in the first orbit of the hydrogen atom. Therefore, perhaps the speed of time effectively creates a resonant speed of rotation of the electron that matches the speed we see.
The oscillation in time gives us the energy stored in the time dimension as spin, which is then available to be brought into the 3D world we know upon interaction. The presence of electrons in the real world might be the result of this resonance with respect to the time dimension. The ideal lining up of the time dimension with an idealised spin generated from the passing of time would lead to the perfect Bohr model orbital. This would then answer one of the mysteries of the world about why the fine structure constant has its value. It would also indicate that as the speed of time slows—then the fine structure constant would decrease accordingly indicating it was different in the past.
Once you have the fine structure constant, then the value of Planck’s constant, and electric charge are consequently set. If the energised particle takes on spin speed of v H , the current velocity of time and we assume all the energy available is twice the kinetic energy (potential energy is negligible or mirrored in the kinetic energy originating from the wave)
E = 2 . K E = m p v H 2
Combining (16) and (17):
E = m p v H 2 r p f
If we take the particle to be an electron and radius to be the Bohr radius then we find that m e v H 2 r e = 6.624 x 10-34 which is the Planck Constant. Other particles such as the photon may be affected and be allowed to spin at different rates, but it seems from above that they are somehow tied to the energy above.
We now have compelling evidence that our theory can accurately account for gravity and the electromagnetic force —the oscillation in time of charged particles will create an attractive or repulsive force which will interact with other charged particles with a force related to the fine structure constant which in turn appears to be related to the velocity of time. Once combined then the overlap of this oscillation releases a favourable amount of energy back to the expansion dimension.

Quantum Entanglement

In quantum mechanical terms, if two particles exist in a single wave function, they are said to be quantum entangled. Basically, if you know the quantum property of one entangled partner, you should be able to infer the property of the other. There were two schools of thought, at least theoretically, on how the properties are revealed by the two entangled partners. One idea was that the partners decide at the point of splitting which property they have—this is the classical view called hidden variables put forward initially by Einstein. The other idea, as defined by quantum mechanics, is much harder to understand because the properties are decided only at the point where they were measured. Faster than light travel would need to occur to pass the message from one entangled entity to the other such that it should behave in a certain way. Bell [16] derived what is now known as Bell’s inequality, establishing a theoretical framework for testing the predictions of quantum mechanics in comparison to classical theories, particularly in the context of quantum entanglement. Bell’s work laid the foundation for the initial experimental tests of quantum entanglement, conducted by Aspect [17] on photons. These experiments ultimately confirmed the results predicted by quantum mechanics.
This result seems counterintuitive unless, of course, you consider that the wave form of the entangled partners resonates in the time spatial dimension. This basically gives it the opportunity to time travel and pass information in a way that seems to move faster than light. However, the complete quantum theory posits that entangled partners could be located on opposite sides of the universe and still convey information at the moment of measurement. Yet in our theory, if the waveform has only a slight oscillation in time, the opportunity for communication will be extended but not indefinitely. Therefore, what we end up with in our oscillating time expansion wave theory effectively is a delay or blurring in the separation of entangled partners which leads to the opportunity for information to be passed after the perceived point of splitting.
Although later experiments increased the distance between source and decision points [18] they were only attempting to overcome the locality loophole thus ensuring only that they beat the speed of light. Thus, if the entangled partners are resonating in time as we believe, i.e., can look ahead, then this does not preclude the decision point being made at the point of separation but its realisation being blurred by this time travelling property. If the entangled partners were separated by a significant amount of time beyond the blurring window, then the decision would indeed be locked if our theory is correct. Therefore, it is our belief that the answer might lie somewhere between the two extremes of quantum mechanics and hidden variables. Hopefully, this can be confirmed experimentally in the future.
In a sense our theory is giving a reason for the quantum effect observed but also stating that there must be a limit as a particle’s ability to look ahead cannot be infinite.

4. Final Conclusions

The indications are that we exist in a 4-dimensional universe where each dimension is identical. At any moment though 3 of these dimensions appear from our perspective as normal space and the 4th appears as time—a space dimension on which we travel. If we ourselves move in any direction, then we may change our direction in time too, but the axis of our dimension will change with us so from our point of view we would not notice the change. As we can only appreciate a small part of the 4th spatial dimension and this small part has a finite width then this creates quantum effects at the subatomic scale.
We have provided proof beyond our qualitative arguments, not only agreeing with current expansion rates and the age of universe but we also include intriguing numerical observations linking to the quantum realm with the fine structure constant. We have shown that time expansion wave theory provides the framework to explain some aspects of quantum mechanics. Once the concept of time expansion with a finite window size of appreciation is grasped, then wave particle duality, probabilistic wave functions and quantum entanglement are subsequently easily explained. As a container for the quantum world then it is also easy to see why certain resonances and features arise due to the finite time window over which the expansion wave is viewed. We have not attempted to explain the whole of quantum physics here and clearly, we have entered into the realms of conjecture in some areas—but such conjecture is necessary at this stage as it gives the possibility of tangible explanations of observed seemingly impossible yet proven phenomena that exist in the universe that previously had no real explanation. Many effects in the subatomic world are simply explained as “quantum effects”—for example electron spin—and left at that with no further enlightenment. As detailed above, time expansion wave theory creates the container which can explain why at least some of these quantum effects occur and by doing so this gives strong evidence for the theory’s validity. The time based double slit experiment, which previously created a puzzle, gives strong support for a theory that at the subatomic level particles and photons can oscillate in time. Further proof may lie in future quantum entanglement experiments with a larger separation of decision and source points.
Gravity is all around us and ever present in the macroscopic world. Again, time expansion wave theory provides a neat framework of understanding even at the extreme of black holes. In our theory, they are not singularities and as the universe expands, they can radiate their information back out into the universe solving the information paradox.
Future proof of this theory may lie at the macroscopic scale as the light from the universe must loop around and around as indicated by the light spiral in Figure 1, then cosmic microwave data analysis may reveal resonances indicative of this spiral effect. We do conclude that the universes expansion is in fact slowing but the simplicity of understanding and the resultant mathematics from our model and its ability to explain away complexity in other areas of physics when other theories fail must allow it to at least exist alongside these more complex theories.

References

  1. Riess AG, et al. Observational Evidence from Supernovae for an Accelerating Universe and a Cosmological Constant. Astron. J. 1998, 116, 1009–1038. [CrossRef]
  2. Betoule M, et al. Improved cosmological constraints from a joint analysis of the SDSS-II and SNLS supernova samples. Astron. Astrophys. 2014, 568, 22–53. [CrossRef]
  3. Guth, A.H. Inflationary universe: A possible solution to the horizon and flatness problems. Phys. Rev. 1981, D23, 347. [Google Scholar] [CrossRef]
  4. Planck Collaboration. 2016 Planck 2015 results XIII. Cosmological parameters 2016, 594, A13. [CrossRef]
  5. Riess, A.G.; Casertano, S.; Yuan, W.; Macri, L.M.; Scolnic, D. Large Magellanic Cloud Cepheid Standards Provide a 1% Foundation for the Determination of the Hubble Constant and Stronger Evidence for Physics Beyond Lambda CDM. Astrophys. J. 2019, 876, 85. [Google Scholar] [CrossRef]
  6. Mather, J.C. , et al. Measurement of the Cosmic Microwave Background Spectrum by the COBE FIRAS Instrument. Astrophys. J. 1994, 420, 439. [Google Scholar] [CrossRef]
  7. Hawking, S. Black hole explosions? Nature 1974, 248, 30–31. [Google Scholar] [CrossRef]
  8. Corbelli, E.; Salucci, P. The extended rotation curve and the dark matter halo of M33. Mon. Not. R. Astron. Soc. 2000, 311, 441–447. [Google Scholar] [CrossRef]
  9. Young, T. The Bakerian lecture. On the theory of light and colours. Proc. R. Soc. Lond. 1832, 163–167. [Google Scholar] [CrossRef]
  10. Einstein, A. Ann. Phys. 17, 132, 1905.
  11. Parker S, A Single-Photon Double-Slit Interference Experiment. Am. J. Phys. 1971, 39, 420–424. [CrossRef]
  12. Tirole R, Vezzoli S, Galiffi E, Robertson I, Maruice D, Tilmann B, Maler SA, Pendry JB, Sapienza, R. Double Slit time diffraction at optical frequencies, Nature Physics, Volume 19, 999-1002. [CrossRef]
  13. Merli, P.G.; Missiroli, G.F.; Pozzi, G. On the statistical aspect of electron interference phenomena. Am. J. Phys. 1976, 44, 306–307. [Google Scholar] [CrossRef]
  14. Stern, O. Ein Weg zur experimentellen Nachprüfung der Richtungsquantelung im Magnetfeld. Zeitschrift für Physik 1921, 7, 249–253. [Google Scholar] [CrossRef]
  15. J. Adam et al. (STAR Collaboration), Measurement of e+e− Momentum and Angular Distributions from Linearly Polarised Photon CollisionsPhys. Rev. Lett. 2021, 127, 052302. [CrossRef]
  16. Bell, J.S. On the Einstein‒Podolsky‒Rosen Paradox. Physics 1964, 1, 195–200. [Google Scholar] [CrossRef]
  17. Aspect, A.; Grangier, P.; Roger, G. Experimental Realisation of Einstein‒Podolsky‒Rosen-Bohm Gedanken experiment: A New Violation of Bell Inequalities. Physical Review Letters 1982, 49. [Google Scholar] [CrossRef]
  18. B. Hensen et al., Loophole-free Bell inequality violation using electron spins separated by 1.3 kilometres. Nature 2015, 526, 682–686. [CrossRef]
Figure 1. Visualisation of the spiral effect a light beam would take to reach us if it originated at the time zero in an expanding universe. Scale for both x and y is in Mpc. Distant, and therefore historic, objects in the universe, if observed from point furthest from the centre will appear as if on a spiral path reaching back to time zero. The above figure was generated using the complex decay model mentioned later in this paper against luminosity data of Betoule et al (2016) and Reis et al (1998). Points highlighted, emanating from the centre of the spiral are, respectively as follows: Time zero, most distant observed object at z of 11.09, Most distant fitted data point, Earth.
Figure 1. Visualisation of the spiral effect a light beam would take to reach us if it originated at the time zero in an expanding universe. Scale for both x and y is in Mpc. Distant, and therefore historic, objects in the universe, if observed from point furthest from the centre will appear as if on a spiral path reaching back to time zero. The above figure was generated using the complex decay model mentioned later in this paper against luminosity data of Betoule et al (2016) and Reis et al (1998). Points highlighted, emanating from the centre of the spiral are, respectively as follows: Time zero, most distant observed object at z of 11.09, Most distant fitted data point, Earth.
Preprints 109429 g001
Figure 2. Best fit modelled time expansion wave allowing a fixed speed of expansion (orange solid line) and a varying speed of expansion (red solid line) versus observational data taken by Reiss et al. (1998) and Betoule et al (2014) (points).
Figure 2. Best fit modelled time expansion wave allowing a fixed speed of expansion (orange solid line) and a varying speed of expansion (red solid line) versus observational data taken by Reiss et al. (1998) and Betoule et al (2014) (points).
Preprints 109429 g002
Figure 3. Velocity decay curves resulting from varying expansion rate model seen in Figure 2. Mathematically this pattern can be achieved in different ways—we chose to use an exponential decay function as described in the text.
Figure 3. Velocity decay curves resulting from varying expansion rate model seen in Figure 2. Mathematically this pattern can be achieved in different ways—we chose to use an exponential decay function as described in the text.
Preprints 109429 g003
Figure 4. Exponential decay curves showing various possible fits to the change in speed of expansion.
Figure 4. Exponential decay curves showing various possible fits to the change in speed of expansion.
Preprints 109429 g004
Figure 5. Volumetric and radial universe scale factor as a function of time using time expansion wave theory model calculations.
Figure 5. Volumetric and radial universe scale factor as a function of time using time expansion wave theory model calculations.
Preprints 109429 g005
Figure 6. Explanatory figure to illustrate the effects of movement on the resultant momentum vectors in a single time (vertical) and space (horizontal) direction. The case considered here is one of an object breaking up and being pushed apart creating two identical mass objects moving in opposing directions with the same velocity.
Figure 6. Explanatory figure to illustrate the effects of movement on the resultant momentum vectors in a single time (vertical) and space (horizontal) direction. The case considered here is one of an object breaking up and being pushed apart creating two identical mass objects moving in opposing directions with the same velocity.
Preprints 109429 g006
Figure 7. Visualisation of expansion wave cross section cutting through the expansion dimension (as shown by the radius) and a single space dimension (as shown by the circumference). This expansion wave started at time t0 and has reached time t1 signified by the dark black line. Two gravitationally distinct objects would expand away from each other in space as the expansion wave increases. Where objects have clumped together then dimples in the wavefront would show up as you zoom in. The thin black line shows the observable slice of time with the grey areas showing the possibility of matter existing outside of our observable time window.
Figure 7. Visualisation of expansion wave cross section cutting through the expansion dimension (as shown by the radius) and a single space dimension (as shown by the circumference). This expansion wave started at time t0 and has reached time t1 signified by the dark black line. Two gravitationally distinct objects would expand away from each other in space as the expansion wave increases. Where objects have clumped together then dimples in the wavefront would show up as you zoom in. The thin black line shows the observable slice of time with the grey areas showing the possibility of matter existing outside of our observable time window.
Preprints 109429 g007
Figure 8. Visual representation of the effect of a photon spinning in time as it approaches an observer and the relative intensity observed at key points in the rotation.
Figure 8. Visual representation of the effect of a photon spinning in time as it approaches an observer and the relative intensity observed at key points in the rotation.
Preprints 109429 g008
Disclaimer/Publisher’s Note: The statements, opinions and data contained in all publications are solely those of the individual author(s) and contributor(s) and not of MDPI and/or the editor(s). MDPI and/or the editor(s) disclaim responsibility for any injury to people or property resulting from any ideas, methods, instructions or products referred to in the content.
Copyright: This open access article is published under a Creative Commons CC BY 4.0 license, which permit the free download, distribution, and reuse, provided that the author and preprint are cited in any reuse.
Prerpints.org logo

Preprints.org is a free preprint server supported by MDPI in Basel, Switzerland.

Subscribe

Disclaimer

Terms of Use

Privacy Policy

Privacy Settings

© 2026 MDPI (Basel, Switzerland) unless otherwise stated