Submitted:
30 May 2024
Posted:
30 May 2024
You are already at the latest version
Abstract
Keywords:
1. Introduction
2. Methodology
2.1. The EVPSC Model
2.2. Machine Learning
3. Results
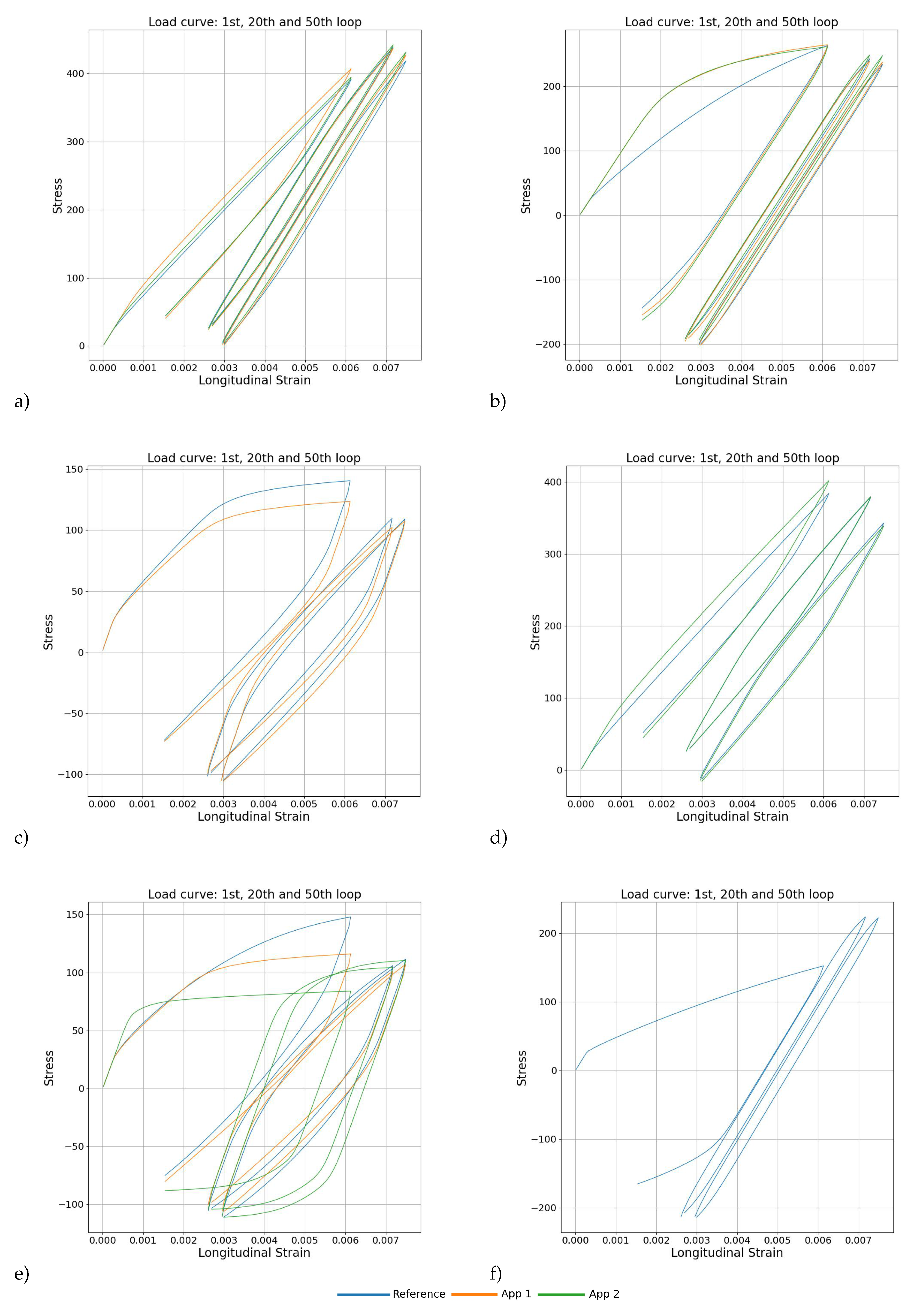
- Very good or reasonable agreement of SS curves obtained using parameters optimized in both apporaches – Figure 5 a and supplementary Figure S.1,
- Disagreement in the first cycle and reasonable agreement of SS curves obtained using parameters optimized in both apporaches – Figure 5 b and supplementary Figure S.2,
- Reasonable agreement of SS curves obtained using parameters optimized in App 1 (lack of convergence for App 2 parameters) – Figure 5 c and supplementary Figure S.3,
- Reasonable agreement of SS curves obtained using parameters optimized in App 2 (lack of convergence for App 1 parameters) – Figure 5 d and supplementary Figure S.4,
- Striking disagreement or lack of convergence – Figure 5 e and supplementary Figure S.5,
- Lack of convergence for the optimized parameters in both approaches – Figure 5 f and supplementary Figure S.6.
4. Discussion
5. Conclusions
References
- Zhao, Y.; Chen, X.; Park, C.; Fay, C.C.; Stupkiewicz, S.; Ke, C. Mechanical deformations of boron nitride nanotubes in crossed junctions. Journal of Applied Physics 2014, 115. [Google Scholar] [CrossRef]
- Kacprzak, G.; Zbiciak, A.; Józefiak, K.; Nowak, P.; Frydrych, M. One-Dimensional Computational Model of Gyttja Clay for Settlement Prediction. Sustainability 2023, 15, 1759. [Google Scholar] [CrossRef]
- Ganesan, S.; Yaghoobi, M.; Githens, A.; Chen, Z.; Daly, S.; Allison, J.E.; Sundararaghavan, V. The effects of heat treatment on the response of WE43 Mg alloy: crystal plasticity finite element simulation and SEM-DIC experiment. Int. J. Plast. 2021, 137, 102917. [Google Scholar] [CrossRef]
- Guery, A.; Hild, F.; Latourte, F.; Roux, S. Identification of crystal plasticity parameters using DIC measurements and weighted FEMU. Mechanics of Materials 2016, 100, 55–71. [Google Scholar] [CrossRef]
- Cruzado, A.; LLorca, J.; Segurado, J. Modeling cyclic deformation of inconel 718 superalloy by means of crystal plasticity and computational homogenization. International Journal of Solids and Structures 2017, 122, 148–161. [Google Scholar] [CrossRef]
- Kuhn, J.; Spitz, J.; Sonnweber-Ribic, P.; Schneider, M.; Bö hlke, T. Identifying material parameters in crystal plasticity by Bayesian optimization. Optimization and Engineering 2021, 1–35. [Google Scholar] [CrossRef]
- Hu, L.; Jiang, S.y.; Zhang, Y.q.; Zhu, X.m.; Sun, D. Texture evolution and inhomogeneous deformation of polycrystalline Cu based on crystal plasticity finite element method and particle swarm optimization algorithm. Journal of Central South University 2017, 24, 2747–2756. [Google Scholar] [CrossRef]
- Skippon, T.; Mareau, C.; Daymond, M.R. On the determination of single-crystal plasticity parameters by diffraction: optimization of a polycrystalline plasticity model using a genetic algorithm. Journal of Applied Crystallography 2012, 45, 627–643. [Google Scholar] [CrossRef]
- Acar, P.; Ramazani, A.; Sundararaghavan, V. Crystal plasticity modeling and experimental validation with an orientation distribution function for ti-7al alloy. Metals 2017, 7, 459. [Google Scholar] [CrossRef]
- Cauvin, L.; Raghavan, B.; Bouvier, S.; Wang, X.; Meraghni, F. Multi-scale investigation of highly anisotropic zinc alloys using crystal plasticity and inverse analysis. Mater. Sci. Eng. A 2018, 729, 106–118. [Google Scholar] [CrossRef]
- Kapoor, K.; Sangid, M.D. Initializing type-2 residual stresses in crystal plasticity finite element simulations utilizing high-energy diffraction microscopy data. Materials Science and Engineering: A 2018, 729, 53–63. [Google Scholar] [CrossRef]
- Sedighiani, K.; Diehl, M.; Traka, K.; Roters, F.; Sietsma, J.; Raabe, D. An efficient and robust approach to determine material parameters of crystal plasticity constitutive laws from macro-scale stress–strain curves. Int. J. Plast. 2020, 134, 102779. [Google Scholar] [CrossRef]
- Frydrych, K.; Maj, M.; Urbański, L.; Kowalczyk-Gajewska, K. Twinning-induced anisotropy of mechanical response of AZ31B extruded rods. Mater. Sci. Eng. A 2020, 771, 1–14. [Google Scholar] [CrossRef]
- Girard, G.; Frydrych, K.; Kowalczyk-Gajewska, K.; Martiny, M.; Mercier, S. Cyclic response of electrodeposited copper films. Experiments versus elastic-viscoplastic mean-field approach predictions. Mech. Mater. 2021, 153, 1–17. [Google Scholar] [CrossRef]
- Savage, D.J.; Feng, Z.; Knezevic, M. Identification of crystal plasticity model parameters by multi-objective optimization integrating microstructural evolution and mechanical data. Computer Methods in Applied Mechanics and Engineering 2021, 379, 113747. [Google Scholar] [CrossRef]
- Frydrych, K.; Kowalczyk-Gajewska, K.; Libura, T.; Kowalewski, Z.; Maj, M. On the role of slip, twinning and detwinning in magnesium alloy AZ31b sheet. Mater. Sci. Eng. A 2021, 813, 141152. [Google Scholar] [CrossRef]
- Frydrych, K.; Jarzebska, A.; Virupakshi, S.; Kowalczyk-Gajewska, K.; Bieda, M.; Chulist, R.; Skorupska, M.; Schell, N.; Sztwiertnia, K. Texture-Based Optimization of Crystal Plasticity Parameters: Application to Zinc and Its Alloy. Metall. Mater. Trans. A 2021, 52, 3257–3273. [Google Scholar] [CrossRef]
- Frydrych, K. Texture evolution of magnesium alloy AZ31B subjected to severe plastic deformation. Engineering Transactions 2021, 69, 337–352. [Google Scholar]
- Frydrych, K.; Papanikolaou, S. Unambiguous Identification of Crystal Plasticity Parameters from Spherical Indentation. Crystals 2022, 12, 1341. [Google Scholar] [CrossRef]
- Wang, J.; Zhu, B.; Hui, C.Y.; Zehnder, A.T. Determination of material parameters in constitutive models using adaptive neural network machine learning. Journal of the Mechanics and Physics of Solids 2023, 177, 105324. [Google Scholar] [CrossRef]
- Schulte, R.; Karca, C.; Ostwald, R.; Menzel, A. Machine learning-assisted parameter identification for constitutive models based on concatenated loading path sequences. European Journal of Mechanics-A/Solids 2023, 98, 104854. [Google Scholar] [CrossRef]
- Kowalczyk-Gajewska, K.; Petryk, H. Sequential linearization method for viscous/elastic heterogeneous materials. Eur. J. Mech. Solids/A 2011, 30, 650–664. [Google Scholar] [CrossRef]
- Mercier, S.; Molinari, A. Homogenization of elastic-viscoplastic heterogeneous materials: Self-consistent and Mori-Tanaka schemes. Int. J. Plast. 2009, 25, 1024–1048. [Google Scholar] [CrossRef]
- Kowalczyk-Gajewska, K. Micromechanical modelling of metals and alloys of high specific strength. In IFTR Reports 1/2011; 2011; pp. 1–299. [Google Scholar]
- Molinari, A.; Ahzi, S.; Kouddane, R. On the self-consistent modelling of elastic-plastic behavior of polycrystals. Mech. Mater. 1997, 26, 43–62. [Google Scholar] [CrossRef]
- Molinari, A. Averaging Models for heterogeneous viscoplastic and elastic viscoplastic materials. J. Engng. Mat. Tech. 2002, 124, 62–70. [Google Scholar] [CrossRef]
- Hennessey, C.; Castelluccio, G.M.; McDowell, D.L. Sensitivity of polycrystal plasticity to slip system kinematic hardening laws for Al 7075-T6. Materials Science and Engineering: A 2017, 687, 241–248. [Google Scholar] [CrossRef]
- Ohno, N.; Wang, J.D. Kinematic hardening rules with critical state of dynamic recovery, part I: formulation and basic features for ratchetting behavior. International Journal of Plasticity 1993, 9, 375–390. [Google Scholar] [CrossRef]
- Sak, H.; Senior, A.; Beaufays, F. Long short-term memory based recurrent neural network architectures for large vocabulary speech recognition. arXiv, 2014; arXiv:1402.1128 2014. [Google Scholar]
- PyTorch Contributors. PyTorch LSTM Description. https://pytorch.org/docs/stable/generated/torch.nn.LSTM.html#torch.nn.LSTM. Accessed: 2023-11-06.
- Loshchilov, I.; Hutter, F. Sgdr: Stochastic gradient descent with warm restarts. arXiv preprint arXiv:1608.03983, arXiv:1608.03983 2016.
- Salmenjoki, H.; Alava, M.; Laurson, L. Machine learning plastic deformation of crystals. Nature communications 2018, 9, 1–7. [Google Scholar] [CrossRef]
- Deshpande, S.; Lengiewicz, J.; Bordas, S.P. Probabilistic deep learning for real-time large deformation simulations. Computer Methods in Applied Mechanics and Engineering 2022, 398, 115307. [Google Scholar] [CrossRef]
- Yuan, M.; Paradiso, S.; Meredig, B.; Niezgoda, S. Machine learning–based reduce order crystal plasticity modeling for ICME applications. Integrating Materials and Manufacturing Innovation 2018, 7, 214–230. [Google Scholar] [CrossRef]
- Ali, U.; Muhammad, W.; Brahme, A.; Skiba, O.; Inal, K. Application of artificial neural networks in micromechanics for polycrystalline metals. Int. J. Plast. 2019, 120, 205–219. [Google Scholar] [CrossRef]
- Miyazawa, Y.; Briffod, F.; Shiraiwa, T.; Enoki, M. Prediction of cyclic stress–strain property of steels by crystal plasticity simulations and machine learning. Materials 2019, 12, 3668. [Google Scholar] [CrossRef] [PubMed]
- Pandey, A.; Pokharel, R. Machine learning based surrogate modeling approach for mapping crystal deformation in three dimensions. Scripta Materialia 2021, 193, 1–5. [Google Scholar] [CrossRef]
- Ibragimova, O.; Brahme, A.; Muhammad, W.; Levesque, J.; Inal, K. A new ANN based crystal plasticity model for FCC materials and its application to non-monotonic strain paths. International Journal of Plasticity 2021, 144, 103059. [Google Scholar] [CrossRef]
- Li, Q.J.; Cinbiz, M.N.; Zhang, Y.; He, Q.; Beausoleil II, G.; Li, J. Robust deep learning framework for constitutive relations modeling. Acta Materialia 2023, 254, 118959. [Google Scholar] [CrossRef]
- Rutecka, A.; Kowalewski, Z.; Pietrzak, K.; Dietrich, L.; Makowska, K.; Woźniak, J.; Kostecki, M.; Bochniak, W.; Olszyna, A. Damage development of Al/SiC metal matrix composite under fatigue, creep and monotonic loading conditions. Procedia Engineering 2011, 10, 1420–1425. [Google Scholar] [CrossRef]
| 1 | The code was written in FORTRAN and will be shared upon reasonable request. Researchers willing to use the code should contact Karol Frydrych. |





| a) | b) |
| c) | d) |
| e) | f) |
| Min | 10.0 | 10.0 | 0.0 | 0.0 | 0.0 | 0.0 | 0.0 |
| Max | 80.0 | 120.0 | 5.0 | 120.0 | 1.0 | 1000.0 | 10.0 |
| Category 1 | |||||||
| Reference | 1.00 | 6.50 | 4.17 | 4.00 | 1.00 | 5.00 | 3.33 |
| App 1 | 2.91 | 9.00 | 4.09 | 1.09 | 1.00 | 4.55 | 2.73 |
| App 2 | 1.64 | 8.00 | 1.36 | 2.18 | 1.00 | 4.55 | 2.73 |
| Category 2 | |||||||
| Reference | 1.00 | 8.33 | 8.33e-01 | 1.20 | 3.33 | 1.00 | 0.00 |
| App 1 | 6.73 | 1.00 | 5.00 | 1.09 | 9.09 | 5.45 | 9.09e-01 |
| App 2 | 6.73 | 1.20 | 4.55e-01 | 1.09 | 9.09 | 8.18 | 3.64 |
| Category 3 | |||||||
| Reference | 1.00 | 1.00 | 1.67 | 1.20 | 3.33 | 8.33 | 8.33 |
| App 1 | 1.00 | 1.00 | 5.00 | 2.18 | 2.73 | 8.18 | 7.27 |
| App 2 | 1.64 | 1.00 | 5.00 | 2.18 | 2.73 | 7.27 | 3.64 |
| Category 4 | |||||||
| Reference | 1.00 | 2.83 | 5.00 | 8.00 | 1.00 | 5.00 | 3.33 |
| App 1 | 4.18 | 2.00 | 1.82 | 2.18 | 1.00 | 4.55 | 2.73 |
| App 2 | 2.91 | 1.20 | 1.36 | 0.00 | 1.00 | 4.55 | 2.73 |
| Category 5 | |||||||
| Reference | 1.00 | 1.00 | 5.00 | 1.20 | 3.33 | 6.67 | 0.00 |
| App 1 | 1.00 | 1.00 | 5.00 | 2.18 | 2.73 | 9.09 | 8.18 |
| App 2 | 22.73 | 30.00 | 5.00 | 32.73 | 0.00 | 0.00 | 0.00 |
| Category 6 | |||||||
| Reference | 10.00 | 83.33 | 1.67 | 60.00 | 0.00 | 1000.00 | 0.00 |
| App 1 | 35.45 | 90.00 | 2.73 | 43.64 | 0.00 | 1000.00 | 4.55 |
| App 2 | 22.73 | 90.00 | 0.91 | 54.55 | 0.00 | 727.27 | 0.00 |
Disclaimer/Publisher’s Note: The statements, opinions and data contained in all publications are solely those of the individual author(s) and contributor(s) and not of MDPI and/or the editor(s). MDPI and/or the editor(s) disclaim responsibility for any injury to people or property resulting from any ideas, methods, instructions or products referred to in the content. |
© 2024 by the authors. Licensee MDPI, Basel, Switzerland. This article is an open access article distributed under the terms and conditions of the Creative Commons Attribution (CC BY) license (http://creativecommons.org/licenses/by/4.0/).