Submitted:
24 May 2024
Posted:
28 May 2024
You are already at the latest version
Abstract
Keywords:
1. Introduction
2. Array Design
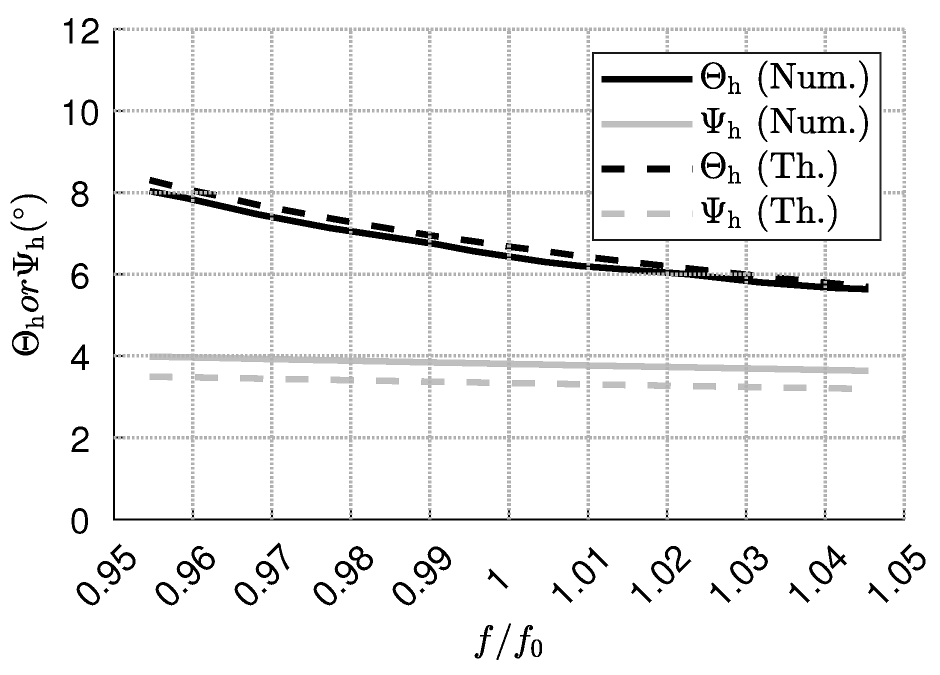
2.1. Analytical Techniques
2.1.1. Sidelobe Level
2.1.2. Beamwidth
2.1.3. Bandwidth
2.2. Numerical Results
3. Element Design
3.1. Antenna Structure
3.2. Full-Wave Results
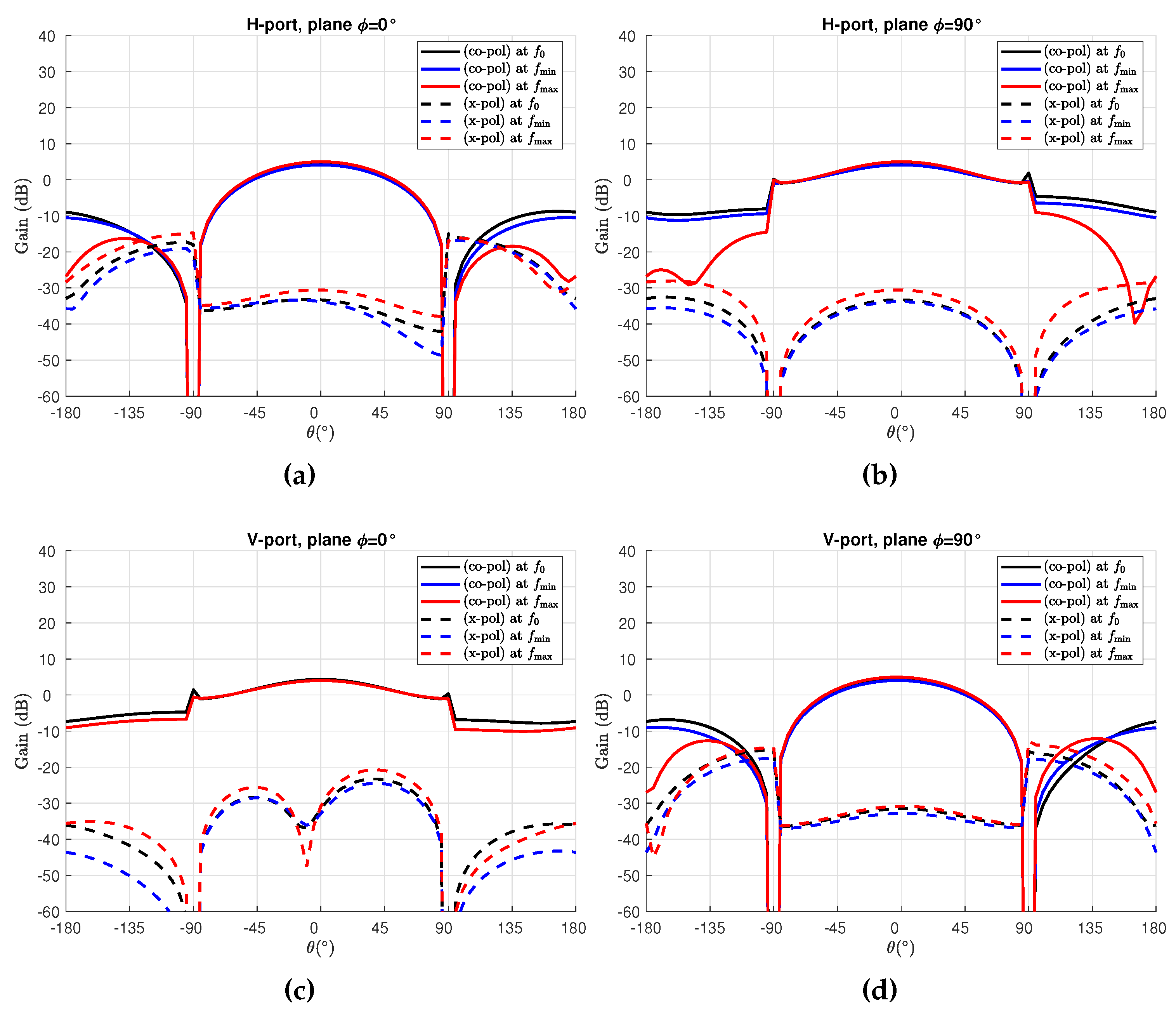
4. Sub-Array Demonstrator
4.1. Full-Wave Results
4.2. Experimental Results
- An important PCB curvature has been observed. This is due to the manufacturing process, and at the design frequency this issue can affect the antenna gain and the parameters;
- Possible variations of the dielectric constant respect to the one shown in the data-sheet of the materials;
- Possible interactions between the metallic support and the radiating elements. These metallic parts are very near to the radiating board, and their effect could be not negligible.
5. Conclusions
Acknowledgments
References
- Fulton, C.; Yeary, M.; Thompson, D.; Lake, J.; Mitchell, A. Digital Phased Arrays: Challenges and Opportunities. Proc. IEEE 2016, 104, 487–503. [Google Scholar] [CrossRef]
- Kwag, Y.K.; Jung, J.S.; Woo, I.S.; Park, M.S. Modern software defined radar (SDR) technology and its trends. J. Electromagn. Eng. Sci. 2014, 14, 321–328. [Google Scholar] [CrossRef]
- Debatty, T. Software defined radar a state of the art. 2nd International Workshop on Cognitive Information Processing (CIP); , 2010; pp. 253–257.
- Ciociola, A.; Infante, L.; Ricciardella, N.; Solimene, R.; Felaco, M.; Pellegrini, G. Digitally Synthesized Antenna Test Bench for Next Generation Phased Array Systems. IEEE Int. Conf. Phased Array Syst. Technol., 2022, pp. 1–6. [CrossRef]
- Castillo-Rubio, C.F.; Pascual, J.M. Current Full Digital Phased-Array Radar developments for Naval applications. IEEE Int. Conf. Phased Array Syst. Technol., 2019, pp. 1–6. [CrossRef]
- Capria, A.; Petri, D.; Moscardini, C.; Conti, M.; Forti, A.C.; Massini, R.; Cerretelli, M.; Ledda, S.; Tesi, V.; Dalle Mese, E.; others. Software-defined Multiband Array Passive Radar (SMARP) demonstrator: A test and evaluation perspective. OCEANS 2015; IEEE, , 2015; pp. 1–6.
- Capria, A.; Giusti, E.; Moscardini, C.; Conti, M.; Petri, D.; Martorella, M.; Berizzi, F. Multifunction imaging passive radar for harbour protection and navigation safety. IEEE Aerosp. Electron. Syst. Mag. 2017, 32, 30–38. [Google Scholar] [CrossRef]
- Jamil, K.; Alam, M.; Hadi, M.A.; Alhekail, Z.O. A multi-band multi-beam software-defined passive radar. Part I: System design. Radar 2012; , 2012; pp. 64–67.
- Jamil, K.; Alam, M.; Hadi, M.A.; Alhekail, Z.O. A multi-band multi-beam software-defined passive radar. Part II: Signal processing. Radar 2012; , 2012; pp. 72–75.
- Tseng, F.I.; Cheng, D.K. Optimum scannable planar arrays with an invariant sidelobe level. Proc. IEEE 1968, 56, 1771–1778. [Google Scholar] [CrossRef]
- Saeidi-Manesh, H.; Karimkashi, S.; Zhang, G.; Doviak, R.J. High-isolation low cross-polarization phased-array antenna for MPAR application. Radio Sci. 2017, 52, 1544–1557. [Google Scholar] [CrossRef]
- Saeidi-Manesh, H.; Zhang, G. Low cross-polarization, high-isolation microstrip patch antenna array for multi-mission applications. IEEE Access 2018, 7, 5026–5033. [Google Scholar] [CrossRef]
- Saeidi-Manesh, H.; Zhang, G. High-isolation, low cross-polarization, dual-polarization, hybrid feed microstrip patch array antenna for MPAR application. IEEE Trans. Antennas Propag. 2018, 66, 2326–2332. [Google Scholar] [CrossRef]
- Rocca, P.; Oliveri, G.; Mailloux, R.J.; Massa, A. Unconventional phased array architectures and design methodologies – A review. Proc. IEEE 2016, 104, 544–560. [Google Scholar] [CrossRef]
- Cheng, D.K. Optimization techniques for antenna arrays. Proc. IEEE 1971, 59, 1664–1674. [Google Scholar] [CrossRef]
- Kim, Y.; Elliott, R. Extensions of the Tseng–Cheng pattern synthesis technique. J. Electromagn. Waves Appl. 1988, 2, 255–268. [Google Scholar] [CrossRef]
- Elliot, R.S. Antenna Theoryand Design; John Wiley & Sons, 2006.
- Balanis, C.A. Antenna Theory–Analysis and Design; John Wiley & Sons, Inc, 2005.
- Mailloux, R.J. Phased Array Antenna Handbook; Artech House, 2005.
- Waterhouse, R. Microstrip Patch Antennas: A Designer’s Guide; Springer Science & Business Media, 2013.
- Mishra, P.K.; Jahagirdar, D.R.; Kumar, G. A Review of Broadband Dual Linearly Polarized Microstrip Antenna Designs with High Isolation [Education Column]. IEEE Antennas Propag Mag 2014, 56, 238–251. [Google Scholar] [CrossRef]
- Ghorbani, K.; Waterhouse, R. Dual polarized wide-band aperture stacked patch antennas. IEEE Trans. Antennas Propag. 2004, 52, 2171–2175. [Google Scholar] [CrossRef]
- SIMULIA CST Studio Suite, Dassault Systemes. (2023).
- Pozar, D. The active element pattern. IEEE Trans. Antennas Propag. 1994, 42, 1176–1178. [Google Scholar] [CrossRef]














| Substrates/Patch/Connectors | Slots | Strips | |||
| Parameter | Value [mm] | Parameter | Value [mm] | Parameter | Value [mm] |
| p | 26.98 | 12.42 | 4.80 | ||
| 0.51 | 10.00 | 13.05 | |||
| 0.79 | 6.02 | 8.55 | |||
| 2.36 | 12.56 | 4.80 | |||
| 12.9 | 1.84 | 0.9 | |||
| 12.9 | 1.84 | 8.87 | |||
| 14.5 | 0.26 | 0.55 | |||
| 14.5 | 3.29 | 6.00 | |||
| 5.50 | 1.85 | 0.90 | |||
| 13.49 | 1.85 | 11.37 | |||
| 9.00 | 0.15 | — | — | ||
| 5.50 | 2.25 | — | — | ||
Disclaimer/Publisher’s Note: The statements, opinions and data contained in all publications are solely those of the individual author(s) and contributor(s) and not of MDPI and/or the editor(s). MDPI and/or the editor(s) disclaim responsibility for any injury to people or property resulting from any ideas, methods, instructions or products referred to in the content. |
© 2024 by the authors. Licensee MDPI, Basel, Switzerland. This article is an open access article distributed under the terms and conditions of the Creative Commons Attribution (CC BY) license (http://creativecommons.org/licenses/by/4.0/).
