Submitted:
22 May 2024
Posted:
23 May 2024
You are already at the latest version
Abstract
Keywords:
1. Introduction
2. Methods
2.1. Propagation of Spatiotemporal Symmetric Wave Packets in Dispersive Media
2.2. Exploding Wave Packets
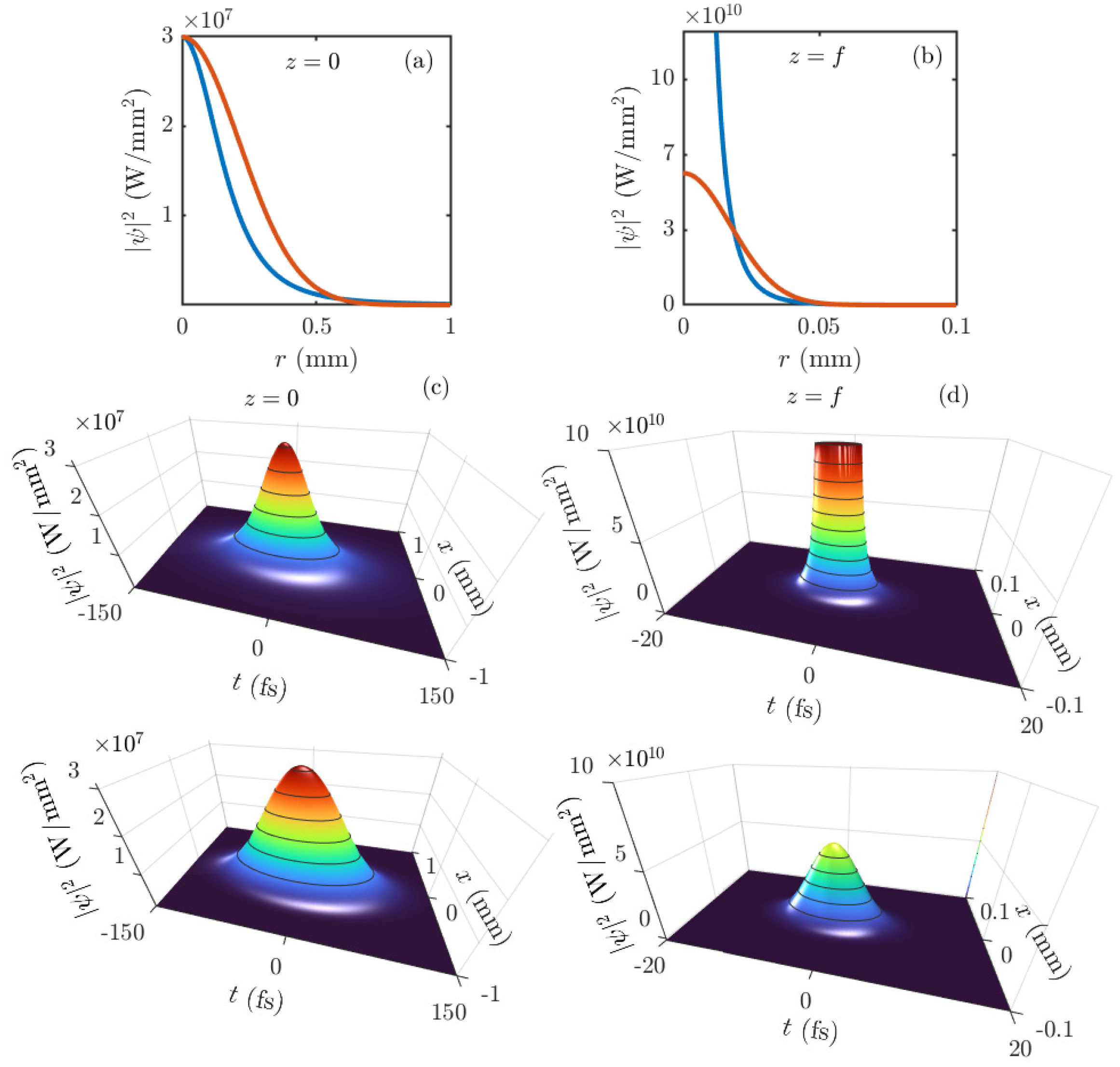
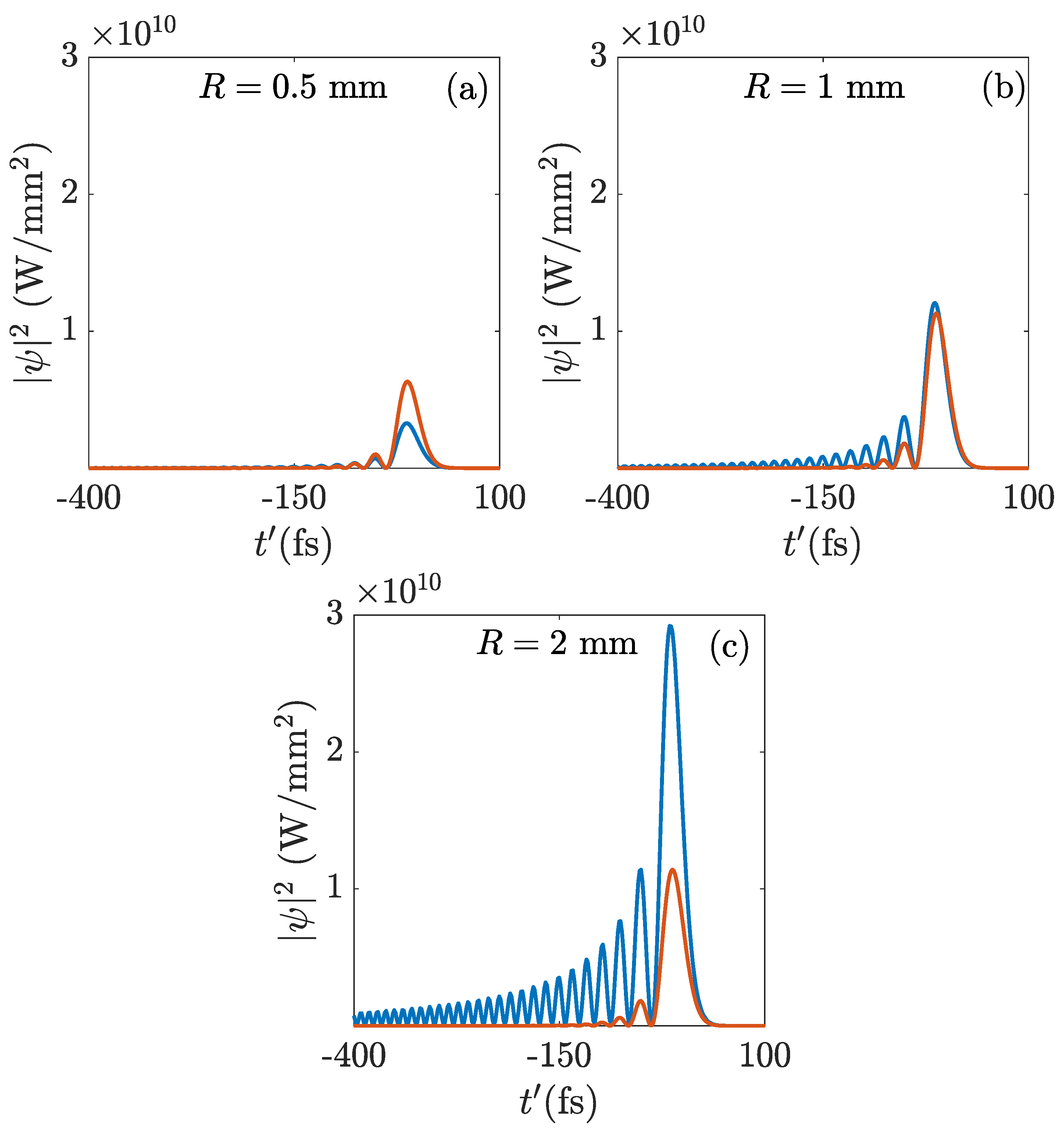
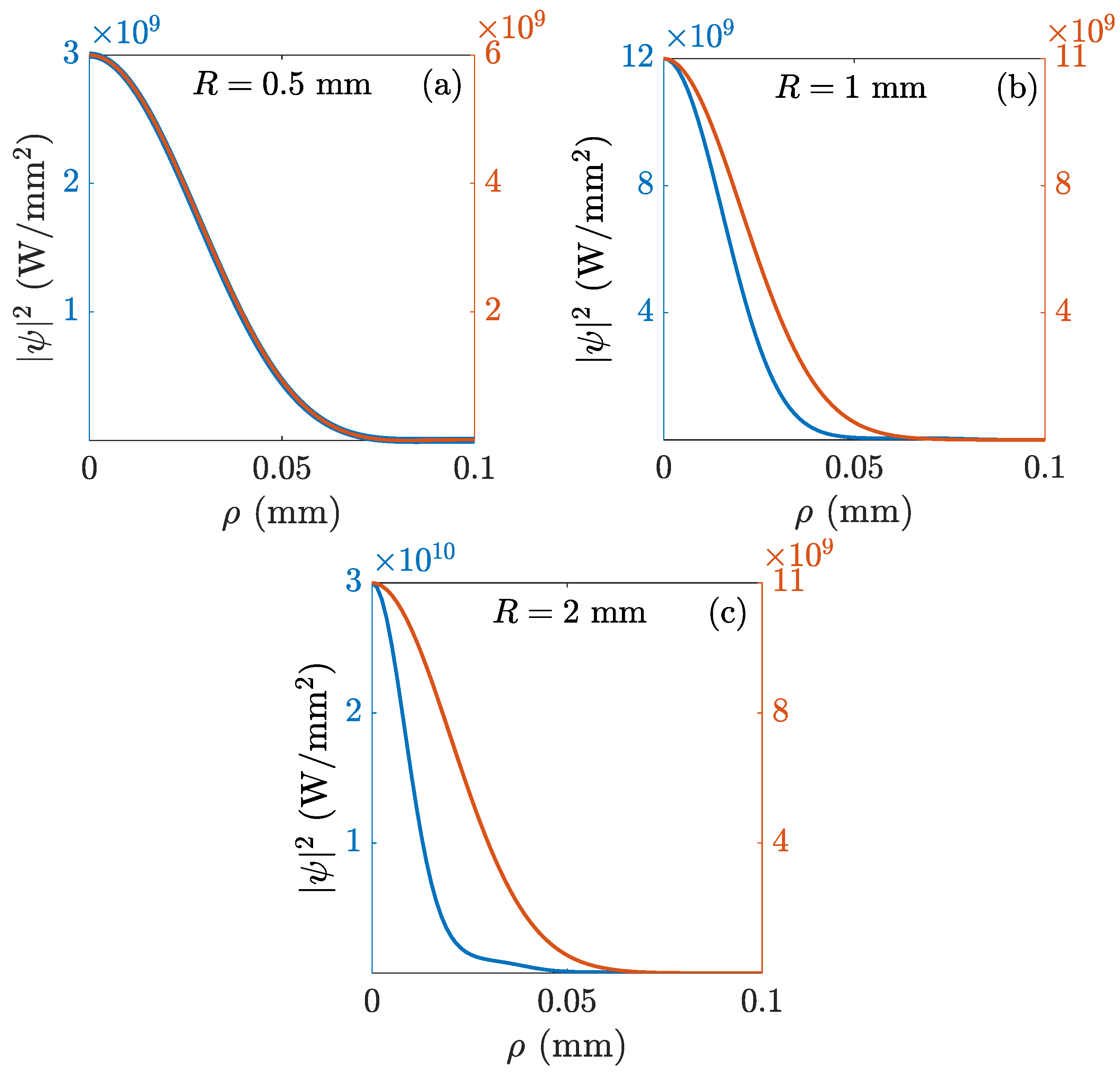
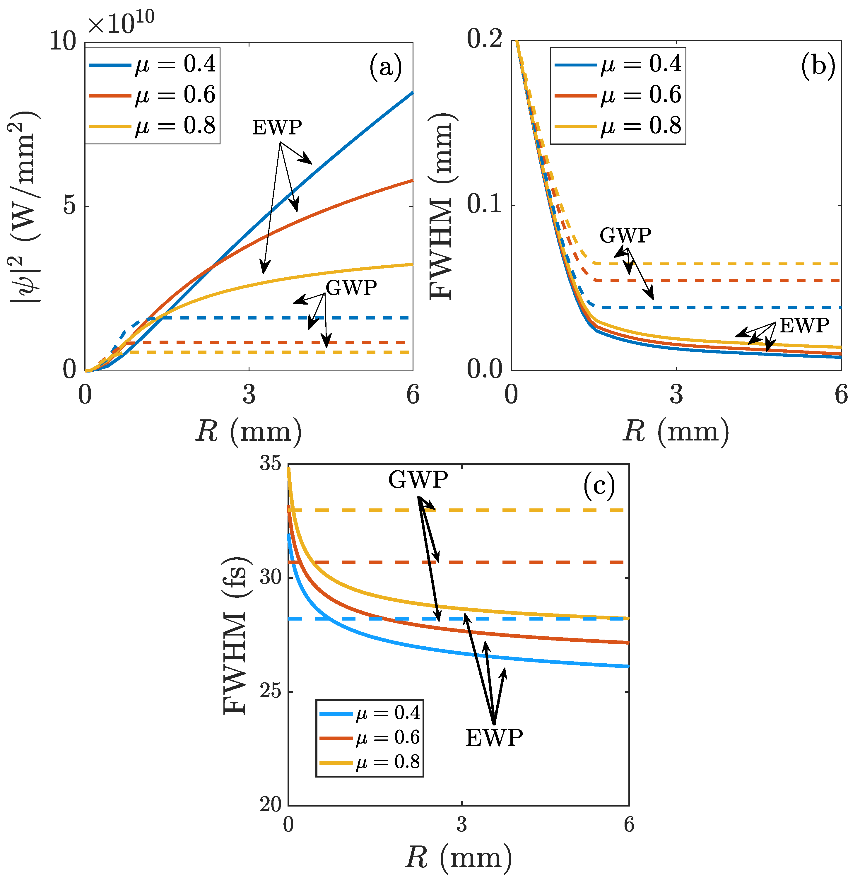
3. Results
3.1. Manifestations of the Singular Behaviour in Real Settings
4. Discussion and Conclusions
Acknowledgments
Author Contributions
Funding
Data Availability Statement
Conflicts of Interest
References
- Efron, U. Spatial light modulator technology: materials, devices, and applications; Vol. 47, CRC press, 1994.
- Hu, X.B.; Rosales-Guzmán, C. Generation and characterization of complex vector modes with digital micromirror devices: a tutorial. Journal of Optics 2022, 24, 034001. [Google Scholar] [CrossRef]
- Brener, I.; Liu, S.; Staude, I.; Valentine, J.; Holloway, C. Dielectric metamaterials: fundamentals, designs and applications; Woodhead publishing, 2019.
- Saleh, B.E.; Teich, M.C. Fundamentals of photonics; john Wiley & sons, 2019.
- Siviloglou, G.; Broky, J.; Dogariu, A.; Christodoulides, D. Observation of accelerating airy beams. Phys. Rev. Lett. 2007, 99, 213901. [Google Scholar] [CrossRef] [PubMed]
- Bandres, M.A.; Gutiérrez-Vega, J.C. Ince–gaussian beams. Optics letters 2004, 29, 144–146. [Google Scholar] [CrossRef] [PubMed]
- Zhan, Q. Cylindrical vector beams: from mathematical concepts to applications. Advances in Optics and Photonics 2009, 1, 1–57. [Google Scholar] [CrossRef]
- Beckley, A.M.; Brown, T.G.; Alonso, M.A. Full poincaré beams. Optics express 2010, 18, 10777–10785. [Google Scholar] [CrossRef] [PubMed]
- Shen, Y.; Zhang, Q.; Shi, P.; Du, L.; Yuan, X.; Zayats, A.V. Optical skyrmions and other topological quasiparticles of light. Nature Photonics 2024, 18, 15–25. [Google Scholar] [CrossRef]
- Shen, Y.; Zhan, Q.; Wright, L.G.; Christodoulides, D.N.; Wise, F.W.; Willner, A.E.; Zou, K.h.; Zhao, Z.; Porras, M.A.; Chong, A.; others. Roadmap on spatiotemporal light fields. Journal of Optics 2023, 25, 093001. [Google Scholar] [CrossRef]
- Papasimakis, N.; Fedotov, V.; Savinov, V.; Raybould, T.; Zheludev, N. Electromagnetic toroidal excitations in matter and free space. Nature materials 2016, 15, 263–271. [Google Scholar] [CrossRef] [PubMed]
- Zdagkas, A.; McDonnell, C.; Deng, J.; Shen, Y.; Li, G.; Ellenbogen, T.; Papasimakis, N.; Zheludev, N.I. Observation of toroidal pulses of light. Nature Photonics 2022, 16, 523–528. [Google Scholar] [CrossRef]
- Wan, C.; Chong, A.; Zhan, Q. Optical spatiotemporal vortices. eLight 2023, 3, 11. [Google Scholar] [CrossRef]
- Martín-Hernández, R.; Gui, G.; Plaja, L.; Kapteyn, H.K.; Murnane, M.M.; Porras, M.A.; Liao, C.T.; Hernández-García, C. Generation of high-order harmonic spatiotemporal optical vortices. High Intensity Lasers and High Field Phenomena. Optica Publishing Group, 2024, pp. HW5A–6.
- Wan, C.; Shen, Y.; Chong, A.; Zhan, Q. Scalar optical hopfions. eLight 2022, 2, 22. [Google Scholar] [CrossRef]
- Aiello, A. Spontaneous generation of singularities in paraxial optical fields. Opt. Lett. 2016, 41, 1668–1671. [Google Scholar] [CrossRef] [PubMed]
- Aiello, A.; Paúr, M.; Stoklasa, B.; Hradil, Z.; Řeháček, J.; Sánchez-Soto, L.L. Observation of concentrating paraxial beams. OSA Continuum 2020, 3, 2387–2394. [Google Scholar] [CrossRef]
- Porras, M.A. Exploding paraxial beams, vortex beams, and cylindrical beams of light with finite power in linear media, and their enhanced longitudinal field. Phys. Rev. A 2021, 103, 033506. [Google Scholar] [CrossRef]
- Mata-Cervera, N.; Sharma, D.; Veetil, R.; Mass, T.; Porras, M.; Paniagua-Dominguez, R. Observation of exploding vortex beams generated by amplitude and phase all-dielectric metasurfaces. ACS Photonics 2024. [Google Scholar]
- Yang, Y.; Ren, Y.X.; Chen, M.; Arita, Y.; Rosales-Guzmán, C. Optical trapping with structured light: a review. Adv. Photonics 2021, 3, 034001–034001. [Google Scholar] [CrossRef]
- Laskin, A.; Kaiser, P.; Laskin, V.; Ostrun, A. Laser beam shaping for biomedical microscopy techniques. Biophotonics: Photonic Solutions for Better Health Care V. SPIE, 2016, Vol. 9887, pp. 251–260.
- Dunsky, C.M. Beam shaping applications in laser micromachining for the microelectronics industry. Laser Beam Shaping II. SPIE, 2001, Vol. 4443, pp. 135–149.
- Dickey, F.M.; Lizotte, T. Laser beam shaping applications; Vol. 1, Crc Press, 2017.
- Wang, H.; Shi, L.; Lukyanchuk, B.; Sheppard, C.; Chong, C.T. Creation of a needle of longitudinally polarized light in vacuum using binary optics. Nature photonics 2008, 2, 501–505. [Google Scholar] [CrossRef]
- Rivy, H.M.; Aljunid, S.A.; Lassalle, E.; Zheludev, N.I.; Wilkowski, D. Single atom in a superoscillatory optical trap. Communications Physics 2023, 6, 155. [Google Scholar] [CrossRef]
- Strickland, D.; Mourou, G. Compression of amplified chirped optical pulses. Optics communications 1985, 55, 447–449. [Google Scholar] [CrossRef]
- Maine, P.; Strickland, D.; Bado, P.; Pessot, M.; Mourou, G. Generation of ultrahigh peak power pulses by chirped pulse amplification. IEEE Journal of Quantum electronics 1988, 24, 398–403. [Google Scholar] [CrossRef]
- Yoon, J.W.; Kim, Y.G.; Choi, I.W.; Sung, J.H.; Lee, H.W.; Lee, S.K.; Nam, C.H. Realization of laser intensity over 1023 W/cm2. Optica 2021, 8, 630–635. [Google Scholar] [CrossRef]
- Gradshteyn, I.S.; Ryzhik, I.M. Table of Integrals, Series, and Products; 1994.





Disclaimer/Publisher’s Note: The statements, opinions and data contained in all publications are solely those of the individual author(s) and contributor(s) and not of MDPI and/or the editor(s). MDPI and/or the editor(s) disclaim responsibility for any injury to people or property resulting from any ideas, methods, instructions or products referred to in the content. |
© 2024 by the authors. Licensee MDPI, Basel, Switzerland. This article is an open access article distributed under the terms and conditions of the Creative Commons Attribution (CC BY) license (http://creativecommons.org/licenses/by/4.0/).