Submitted:
21 May 2024
Posted:
22 May 2024
You are already at the latest version
Abstract
Keywords:
Introduction
Theoretical Basis
Experimental Device
Experimental Procedure
Experimental Tests
Test Results
Conclusions
References
- Scrosati, Bruno; Garche, Jurgen; Tillmetz, Werner. Advances in Battery Technologies for Electric Vehicles. Woodhead Publishing (2015).
- Institute of Electrical and Electronics Engineers. "IEEE Medal for Environmental and Safety Technologies Recipients". IEEE Medal for Environmental and Safety Technologies (2019).
- Gholam-Abbas Nazri; Pistoia, Gianfranco. Lithium Batteries: Science and Technology, Springer Science & Business Media (2008).
- Korthauer, Reiner. Lithium-Ion Batteries: Basics and Applications, Springer (2011).
- Pistoia, Gianfranco. Lithium-Ion Batteries: Advances and Applications, Newnes (2013).
- Scrosati, Bruno; Abraham, K. M.; van Schalkwijk; Walter A.: Hassoun, Jusef. Lithium Batteries: Advanced Technologies and Applications, John Wiley & Sons (2013).
- Crompton, T.R. Battery Reference Book, Elsevier (2000).
- Linden, David and Reddy, Thomas B. Handbook of Batteries, 3rd Ed., McGraw-Hill Handbooks (2002).
- Garg, Akhil; Peng, Xiongbin; Phung Leb, My Loan; Pareek, Kapil; Chin, C.M.M. Design and analysis of capacity models for Lithium-ion battery, Measurement, (2018) Volume 120.
- Araujo, Jean; Matos, Rubens; Conceição, Verônica; Alves, Gabriel; Maciel, Paulo. Impact of capacity and discharging rate on battery life time: A stochastic model to support mobile device autonomy planning, , Pervasive and Mobile Computing, (2017) Volume 39.
- Goh, Taedong; Park, Minjun; Seo, Minhwan; Kim, Jun Gu; Kim, Sang Woo. Successive-approximation algorithm for estimating capacity of Li-ion batteries, Energy, (2018) Volume 159.
- Fuller, Mark E. A battery model for constant-power discharge including rate effects, Energy Conversion and Management, (2014) Volume 88.
- U.S. Department of Energy. Vehicles. 2014.
- Denton, Tom. Electric and Hybrid Vehicles.. Institute of the Motor Industry. Routledge. Taylor and Francis Group (2016).
- Mi, Chris; Masrur, Abdul and Gao, David Wenzhong. Hybrid Electric Vehicles.. John Wiley and Sons Ltd. (2011).
- Nikkei Electronics Asia. Li-Ion Rechargeable Batteries Made Safer (2008).
- Stanford News. Stanford Report. Nanowire battery can hold 10 times the charge of existing lithium-ion battery (2007).
- Cui, Yi. Inorganic Nanowires as Advanced Energy Conversion and Storage Materials. Department of Materials Science and Engineering & Geballe Laboratory for Advanced Materials. Stanford University (2019).
- Jaques, Robert. Nanotech promises lithium-ion battery boost. Wnunet.com. (2008).
- Berger, Michael. Using nanotechnology to improve Li-ion battery performance. Nanowerk (2008).
- Zhang, Wei-Ming; Hu, Jin-Song; Guo, Yu-Guo; Zheng, Shu-Fa; Zhong, Liang-Shu; Song, Wei-Guo; Wan, Li-Jun. "Tin-Nanoparticles Encapsulated in Elastic Hollow Carbon Spheres for High-Performance Anode Material in Lithium-Ion Batteries - Zhang - 2008-Advanced Materials - Wiley Online Library". Advanced Materials. (2008) 20 (6): 1160–1165.
- "Argonne's lithium-ion battery technology to be commercialized by Japan's Toda Kogyo". December 2016.
- Johnson, C.S. Journal of Power Sources: Development and utility of manganese oxides as cathodes in lithium batteries. Journal of Power Sources 2007, 165, 559–565. [Google Scholar] [CrossRef]
- Hybrid Technologies. US. "Hybrid Develops New "Superlattice Structure" Lithium Battery Capable of Increasing Drive Ranges in Excess of 200 Miles". February (2008).
- Quiñones, F.; Milocco, R.H. and Real, S.G. Remaining discharge-time prediction for batteries using the Lambert function, Journal of Power Sources, (2018) Volume 400.
- Wang, Dong; Yang, Fangfang; Yang, Zhao; Tsui, Kwok-Leung. Battery remaining useful life prediction at different discharge rates, Microelectronics Reliability, (2017) Volume 78.
- Adany, R. Switching algorithms for extending battery life in Electric Vehicles. Journal of Power Sources 2013, 231, 50–59. [Google Scholar] [CrossRef]
- Fui, Siang; Chee, Tie; Tan, Wei. A review of energy sources and energy management system in electric vehicles, Renewable and Sustainable Energy Reviews, (2013) Volume 2.
- Hong Wang, Yanjun Huang, Hongwen He, Chen Lu, Wei Liu, Amir Khajepour Chapter 5 - Energy Management of Hybrid Electric Vehicles, , Modeling, Dynamics and Control of Electrified Vehicles (2018).
- M.A. Hannan, M.M. Hoque, A. Mohamed, A.Ayob. Review of energy storage systems for electric vehicle applications: Issues and challenges, Renewable and Sustainable Energy Reviews, (2017) Volume 69.
- Shun-Li Wang, Carlos Fernandez, Chuan-Yun Zou, Chun-Mei Yu, Xiao-Xi, Li, Shi-Jie Pei, Wei Xie. Open circuit voltage and state of charge relationship functional optimization for the working state monitoring of the aerial lithium-ion battery pack, Journal of Cleaner Production, (2018) Volume 198.
- Zhe Li, Jun Huang, Bor Yann Liaw, Jianbo Zhang. On state-of-charge determination for lithium-ion batteries, Journal of Power Sources, (2017) Volume 348.
- M.A. Hannan, M.S.H. Lipu, A. Hussain, A. Mohamed. A review of lithium-ion battery state of charge estimation and management system in electric vehicle applications: Challenges and recommendations, Renewable and Sustainable Energy Reviews, (2017) Volume 78.
- Cheng Lin, Jilei Xing, Aihua Tang. Lithium-ion Battery State of Charge/State of Health Estimation Using SMO for EVs, , Energy Procedia, (2017) Volume 105.
- Yassine Manane, Rachid Yazami. Accurate state of charge assessment of lithium-manganese dioxide primary batteries, Journal of Power Sources, (2017) Volume 359.
- Linfeng Zheng, Jianguo Zhu, Guoxiu Wang, Dylan Dah-Chuan Lu, Tingting He. Differential voltage analysis based state of charge estimation methods for lithium-ion batteries using extended Kalman filter and particle filter, , Energy, (2018) Volume 158.
- Eberle, Ulrich; von Helmolt, Rittmar. "Sustainable transportation based on EV concepts: a brief overview". Energy & Environmental Science. (2010) 3 (6): 689.
- Gosden, D.F. Modern Electric Vehicle Technology using an AC Motor Drive. Journal of Electric and Electronics Engineering. (1990) Vol. 10, p-21-27.
- Karthik, Sri Hari. Types of Motor used in Electric Vehicles. Circuit Digest. (2019).
- Mikhaylov, Konstantin; Tervonenand, Jouni; Fadeev, Dmitry. Development of Energy Efficiency Aware: Applications Using Commercial Low Power Embedded Systems. Research Gate pubblications (2012) 221926555.
- Knowles, Don. Understand Efficiency Ratings Before Choosing An AC-DC Supply. Power Management. Electronic Design (2013).
- https://topbateriaexterna.com/wp-content/uploads/2019/06/eficiencia-inversor-de-corriente.jpg.
- Armenta-Déu, C. and Carriquiry, J.P. Capacity correction factor for Li-ion batteries: Influence of the discharge rate. Journal of Energy Storage (2019) 25, 100839. [CrossRef]
- Samsung SDI Co., LTD Manufacturer’s Name: Samsung SDI Co., LTD Address: 508 Sungsung-Dong, Cheonan-City, Chungcheongnam –Do, Korea, 330-300.
- Lithium Battery Discharge Cutoff Voltage, News & Events, Large Co. Block A, Gosun Science Park, Hongtu Road, Nancheng District, Dongguan, Guangdong, China.
- Samsung SDI Confidential Proprietary. Specifications of Product. Samsung SDI Co., Ltd. Energy Business Division. Spec. No. INR18650-29E. Version No. 1.1.
- "The Mayfield Company Homepage - Coefficient of Drag Tables and Curves". Mayfco.com. Retrieved 2010-12-07.
- Bokare, P.S. and Maurya, A.K. Acceleration-Deceleration Behaviour of Various Vehicle Types. Transport Research Procedia (2017) 25, 4733-4749. [CrossRef]
- Modern Electric, Hybrid Electric, and Fuel Cell Vehicles. Mehdrad Ehsani, Yiming Gao, Sebastien E. Gay and Ali Emadi. CRC Press (2004).
- http://www.tyre-pressures.com/.
- https://en.wikipedia.org/wiki/Automobile_drag_coefficient.
- Smart electric vehicle charging SYSTEM. Documentation. CIRCUTOR S.A. http://circutor.es/es.
- "Electric Vehicle Charging Levels, Modes and Types Explained | North America Vs. Europe Charging cables and plug types". Retrieved 2020-02-11.
- https://en.wikipedia.org/wiki/Charging_station.
- https://pod-point.com/guides/driver/how-long-to-charge-an-electric-car.
- https://pod-point.com/guides/vehicles?








| Element | Chemical component |
|---|---|
| Cathode | LiNiaCobMn1-a-bO2, 0<a<1, 0<b<1 |
| Anode | Carbon/Silicon Graphite |
| Separator | PE |
| Can | Ni-plated Fe |
| Electrolyte | cyclic and linear carbonates, LiPF6 |
| Plate 1 | Al |
| Plate 2 | Cu |
| Parameter | Value |
|---|---|
| Vehicle mass | 900 kg |
| Friction coefficient | 0.055 |
| Maximum slope | ±2.4% |
| Aerodynamic coefficient | 0.485 |
| Acceleration rate | 1.92 m/s2 |
| Deceleration rate (decline) | -0.333 m/s2 |
| Acceleration rate (ascent) | 0.167 m/s2 |
| Mode | Power (kW) | Operating current (A) | Simulated current (A) |
|---|---|---|---|
| Decline | 5.7 | 12.391 | 2.325 |
| Flat terrain | 13.0 | 28.261 | 5.302 |
| Acceleration | 18.7 | 40.652 | 7.627 |
| Ascent | 26.4 | 57.391 | 10.768 |
| Mode | Simulated current (A) | Resistance (Ω) |
|---|---|---|
| Decline | 2.325 | 1228 |
| Flat terrain | 5.302 | 539 |
| Ascent | 7.627 | 374 |
| Acceleration | 10.768 | 265 |
| Type of charge | Type of current | Maximum charge power (kW) |
|---|---|---|
| Domestic | Monophasic | 2.3 |
| Low range | Monophasic | 4.6 |
| Low-mid range | Monophasic | 7.4 |
| Mid-range | Tri-phasic | 11-12 |
| High range | Tri-phasic | 22 |
| Very high range | Tri-phasic | 43 |
| Charging power (kW) | ||||
|---|---|---|---|---|
| Battery energy (kWh) | 3.7 | 7.0 | 22.0 | 43-50 |
| 40 | 11 | 6 | 2.6 | 1 |
| 75 | 21 | 11 | 5 | 2 |
| 60 | 16.7 | 8.9 | 4.0 | 1.6 |
| Simulated current (A) | 2.5 | 3.5 | 4.5 | 5.0 | 6.0 | 7.5 |
|---|---|---|---|---|---|---|
| Real power (kW) | 6.1 | 8.5 | 11.0 | 12.2 | 14.6 | 18.3 |
| Real charge time (h) | 10.7 | 8.0 | 6.3 | 5.8 | 4.9 | 4.0 |
| Simulation test charge time (h) | 10.8 | 8.1 | 6.2 | 5.5 | 4.7 | 3.8 |
| Deviation (%) | 0.9 | 1.3 | 1.6 | 5.2 | 4.1 | 5.0 |
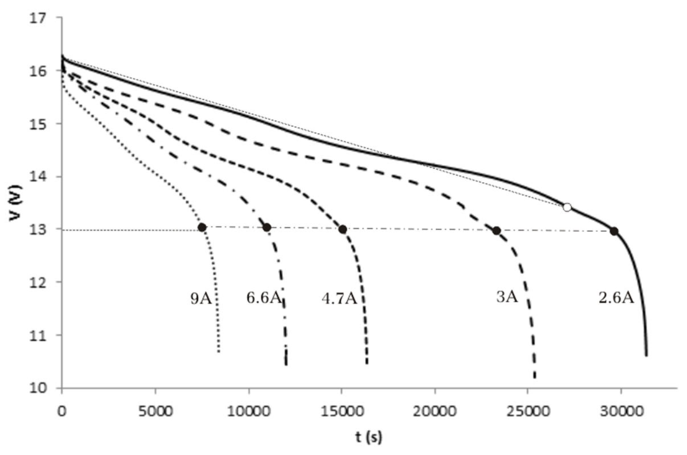
| Current (A) | Time (h) |
|---|---|
| 9 | 2.10 |
| 6.6 | 3.05 |
| 4.7 | 4.17 |
| 3 | 6.55 |
| 2.6 | 8.24 |
| Energy (kWh) | Power (kW) | Real time (h) (SOC=1) | Real time (h) (SOC=0.8) | Simulation time (h) |
Deviation (%) |
|---|---|---|---|---|---|
| 60 | 6.4 | 9.4 | 7.52 | 8.24 | 9.6 |
| 7.4 | 8.1 | 6.48 | 6.55 | 1.1 | |
| 11.5 | 5.2 | 4.16 | 4.17 | 0.2 | |
| 16.2 | 3.7 | 2.96 | 3.05 | 3.0 | |
| 22 | 2.7 | 2.16 | 2.10 | 2.8 |
| IDC (ref) (A) | IDC (sim) (A) |
VDC (V) |
PDC (W) |
ηconv |
PAC (W) |
VAC (V) |
IAC (A) |
RAC (t) (Ω) |
RAC (sim) (Ω) |
|---|---|---|---|---|---|---|---|---|---|
| 9 | 9.04 | 14.61 | 132.1 | 0.80 | 105.7 | 227.6 | 0.464 | 490.5 | 490 |
| 6.6 | 6.58 | 14.65 | 96.4 | 0.82 | 79.0 | 226.9 | 0.348 | 652.0 | 650 |
| 4.7 | 4.71 | 14.50 | 68.3 | 0.80 | 54.6 | 227.5 | 0.240 | 947.9 | 950 |
| 3 | 2.99 | 14.73 | 44.0 | 0.74 | 32.6 | 227.3 | 0.143 | 1589.5 | 1590 |
| 2.6 | 2.61 | 14.56 | 38.0 | 0.69 | 26.2 | 227.4 | 0.115 | 238.3 | 240 |
| Reference real power (kW) | DC configuration(h) | AC configuration(h) | Deviation(%) |
|---|---|---|---|
| 6.4 | 8.24 | 8.30 | 0.7 |
| 7.4 | 6.55 | 6.55 | 0.0 |
| 11.5 | 4.17 | 4.20 | 0.7 |
| 16.2 | 3.05 | 3.10 | 1.6 |
| 22 | 2.10 | 2.10 | 0.0 |
Disclaimer/Publisher’s Note: The statements, opinions and data contained in all publications are solely those of the individual author(s) and contributor(s) and not of MDPI and/or the editor(s). MDPI and/or the editor(s) disclaim responsibility for any injury to people or property resulting from any ideas, methods, instructions or products referred to in the content. |
© 2024 by the authors. Licensee MDPI, Basel, Switzerland. This article is an open access article distributed under the terms and conditions of the Creative Commons Attribution (CC BY) license (http://creativecommons.org/licenses/by/4.0/).