Submitted:
16 May 2024
Posted:
17 May 2024
You are already at the latest version
Abstract
Keywords:
1. Introduction
2. Literature Review
2.1. Subsection
2.2. Conventional Ship Condition Recognition Methods
2.3. Graph Convolutional Neural Network
3. Methodology
3.1. AIS Data Processing
3.1.1. Cleaning of AIS Data
3.1.2. AIS Data Characterization

3.2. Optimizing Graph Convolutional Neural Network Models


3.3. Model Important Parameters
3.3.1. Setting of General Parameters
| Parameters | Setting range |
| Learning_rate | (0.1, 0.01, 0.001) |
| Weight_decay | (0.001, 0.01, 0.1) |
| dropout | (0.1, 0.5) |
3.3.2. Innovative Parameter Analysis and Setup


4. Results Analysis and Discussion
4.1. Experimental Procedure
| DATA SET | ACTS OF VESSELS | ||
| underway | moorings | anchor | |
| TRAINING SET | 3000 | 3000 | 3000 |
| VALIDATION SET | 1000 | 1000 | 1000 |
| TEST SET | 1000 | 1000 | 1000 |
4.2. Analysis and Comparison of Results
4.2.1. Analysis of Model Results
| Maximum number of iterations (epochs) | 10 | 20 | 30 |
| Training time per round (s/trial) | 183.4 | 244.21 | 278.01 |
| Total time (min) | 30:34 | 40:42 | 47:40 |
| Highest accuracy | 0.75253 | 0.78737 | 0.78719 |
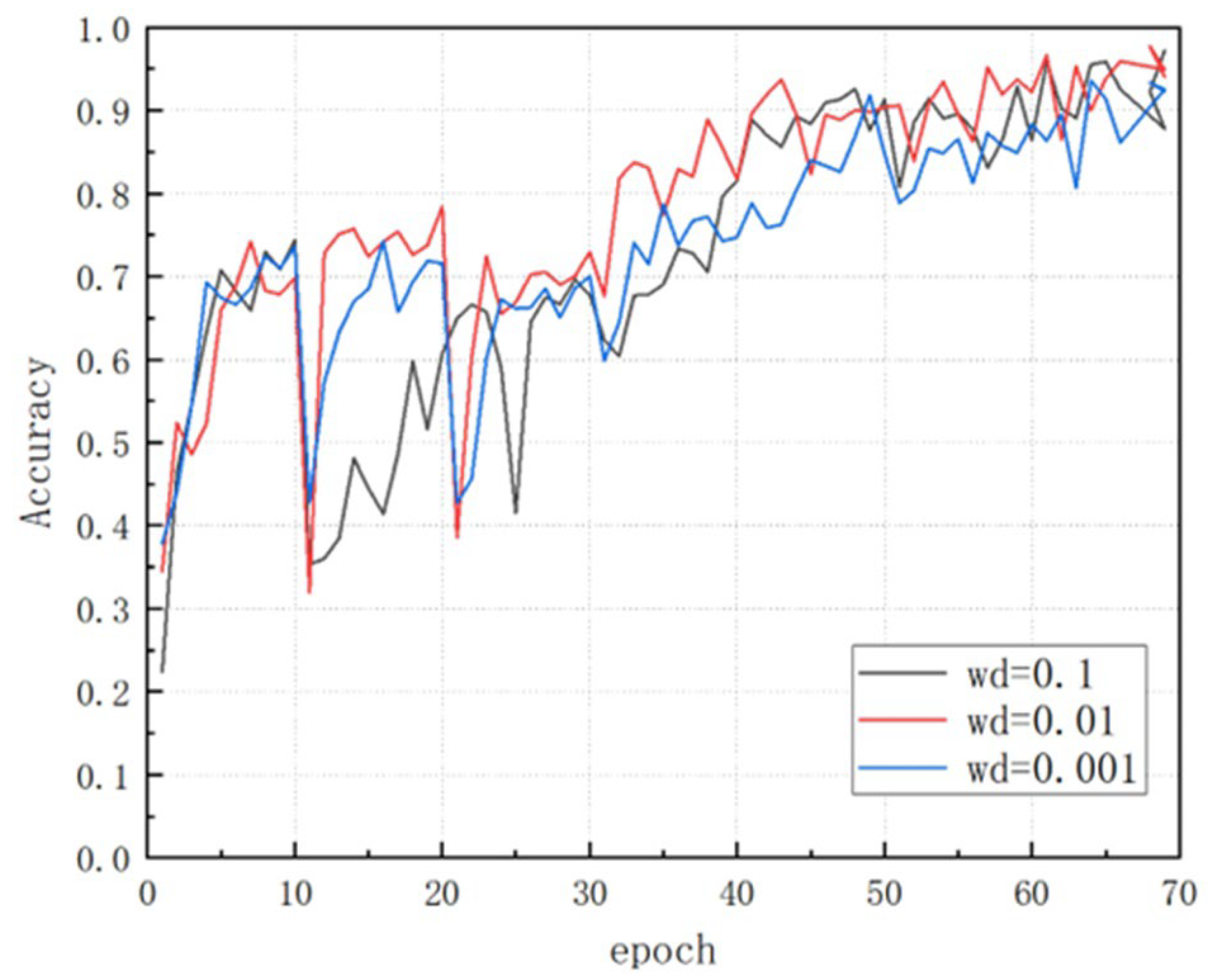
4.3.2. Evaluation of Training Results
4.3.3. Discussion
5. Conclusions
Author Contributions
Funding
Institutional Review Board Statement
Informed Consent Statement
Data Availability Statement
Acknowledgments
Conflicts of Interest
References
- Xiao, Z.; Fu, X.; Zhang, L. et al. Traffic Pattern Mining and Forecasting Technologies in Maritime Traffic Service Networks: A Comprehensive Survey. IEEE Transactions on Intelligent Transportation Systems 2020, 21(5):1796-1825.
- Arguedas, V.F.; Pallotta, G.; Vespe, M. Maritime Traffic Networks: From Historical Positioning Data to Unsupervised Maritime Traffic Monitoring. IEEE Trans. Intell. Transp. Syst. 2017, 19, 722–732. [Google Scholar] [CrossRef]
- Filipiak, D.; Węcel, K.; Stróżyna, M.; Michalak, M.; Abramowicz, W. Extracting Maritime Traffic Networks from AIS Data Using Evolutionary Algorithm. Bus. Inf. Syst. Eng. 2020, 62, 435–450. [Google Scholar] [CrossRef]
- Liu, Z.; Gao, H.; Zhang, M. et al. A Data Mining Method to Extract Traffic Network for Maritime Transport Management. Ocean & Coastal Management 2023, 239.
- Lei, P.R.; Tsai, T.H.; Wen, Y.T. et al. A Framework for Discovering Maritime Traffic Conflict from Ais Network. Asia-Pacific Network Operations and Management Symposium (APNOMS) 2017, 2017: 1-6.
- Chen, X.; Qi, L.; Yang, Y. et al. Video-Based Detection Infrastructure Enhancement for Automated Ship Recognition and Behavior Analysis. Journal of Advanced Transportation 2020, 2020:1-12.
- Pan, X.; He, Y.; Wang, H. et al. Mining Regular Behaviors Based on Multidimensional Trajectories. Expert Systems with Applications 2016, 66:106-113.
- Suo, Y.; Ji, Y.; Zhang, Z. et al. A Formal and Visual Data-Mining Model for Complex Ship Behaviors and Patterns. Sensors (Basel) 2022, 22(14).
- Zhou, Y.; Daamen, W.; Vellinga, T. et al. Review of Maritime Traffic Models from Vessel Behavior Modeling Perspective. Transportation Research Part C: Emerging Technologies 2019, 105:323-345.
- Mylavarapu, S.; Sandhu, M.; Vijayan, P. et al. Towards Accurate Vehicle Behaviour Classification with Multi-Relational Graph Convolutional Networks. 2020 IEEE Intelligent Vehicles Symposium (IV) 2020, 2020: 321-327.
- Gao, M.; Shi, G.-Y. Ship-Handling Behavior Pattern Recognition Using Ais Sub-Trajectory Clustering Analysis Based on the T-Sne and Spectral Clustering Algorithms. Ocean Engineering 2020, 205. [Google Scholar] [CrossRef]
- Wang, S.; Li, Y.; Xing, H. A Novel Method for Ship Trajectory Prediction in Complex Scenarios Based on Spatio-Temporal Features Extraction of Ais Data. Ocean Engineering 2023, 281. [Google Scholar] [CrossRef]
- Mao, S.; Tu, E.; Zhang, G. et al. An Automatic Identification System (Ais) Database for Maritime Trajectory Prediction and Data Mining. Proceedings of ELM-2016: 2018// 2018; Cham: Springer International Publishing 2018, 2018: 241-257.
- Xu, N.; Wang, P.; Chen, L. Mr-Gnn: Multi-Resolution and Dual Graph Neural Network for Predicting Structured Entity Interactions. International Joint Conference on Artificial Intelligence 2019, 2019. [Google Scholar]
- Zhang, H.; Lu, G.; Zhan, M. et al. Semi-Supervised Classification of Graph Convolutional Networks with Laplacian Rank Constraints. Neural Processing Letters 2021, 54(4):2645-2656.
- Liu, R.W.; Liang, M.; Nie, J. et al. Stmgcn: Mobile Edge Computing-Empowered Vessel Trajectory Prediction Using Spatio-Temporal Multigraph Convolutional Network. IEEE Transactions on Industrial Informatics 2022, 18(11):7977-7987.
- Zhao, J.; Yan, Z.; Chen, X. et al. K-Gcn-Lstm: A K-Hop Graph Convolutional Network and Long–Short-Term Memory for Ship Speed Prediction. Physica A: Statistical Mechanics and its Applications 2022, 606.
- Wang, S.; Li, Y.; Xing, H. et al. Vessel Trajectory Prediction Based on Spatio-Temporal Graph Convolutional Network for Complex and Crowded Sea Areas. Ocean Engineering 2024, 298.









| Main parameters | Preliminary treatment |
|---|---|
| MMSI | Unique number for each ship to distinguish between different ships |
| BaseDateTime | Time in UTC format, converted to general time format |
| LAT\LON | The latitude and longitude of the ship, increased by a factor of 600,000, used as sailing distances in the study |
| SOG | Vessel speed to ground, value 102.3 is invalid and should be deleted. |
| COG | course to ground |
| Heading | Vessel heading, the value of 511 is invalid data, deleted. |
| Status | Vessel sailing status, as the primary label, for training and validation of data sets |
| Other data | No significant correlation with vessel status and not used in this study |
Disclaimer/Publisher’s Note: The statements, opinions and data contained in all publications are solely those of the individual author(s) and contributor(s) and not of MDPI and/or the editor(s). MDPI and/or the editor(s) disclaim responsibility for any injury to people or property resulting from any ideas, methods, instructions or products referred to in the content. |
© 2024 by the authors. Licensee MDPI, Basel, Switzerland. This article is an open access article distributed under the terms and conditions of the Creative Commons Attribution (CC BY) license (http://creativecommons.org/licenses/by/4.0/).