Submitted:
15 May 2024
Posted:
15 May 2024
You are already at the latest version
Abstract
Keywords:
1. Introduction
2. Literature Review
3. System Description
- Three-phase AC Grid Source.
- Novel Modulated Filter-Capacitor compensator MFCC-SFC Filter scheme.
- Novel dynamic error-driven tri-loop Type-2 FLC.
- Three different Electrical Hybrid Nonlinear Loads.
- Transformers for voltage change from 138 kv to 25kv and then 25kv to 4.16 kv.
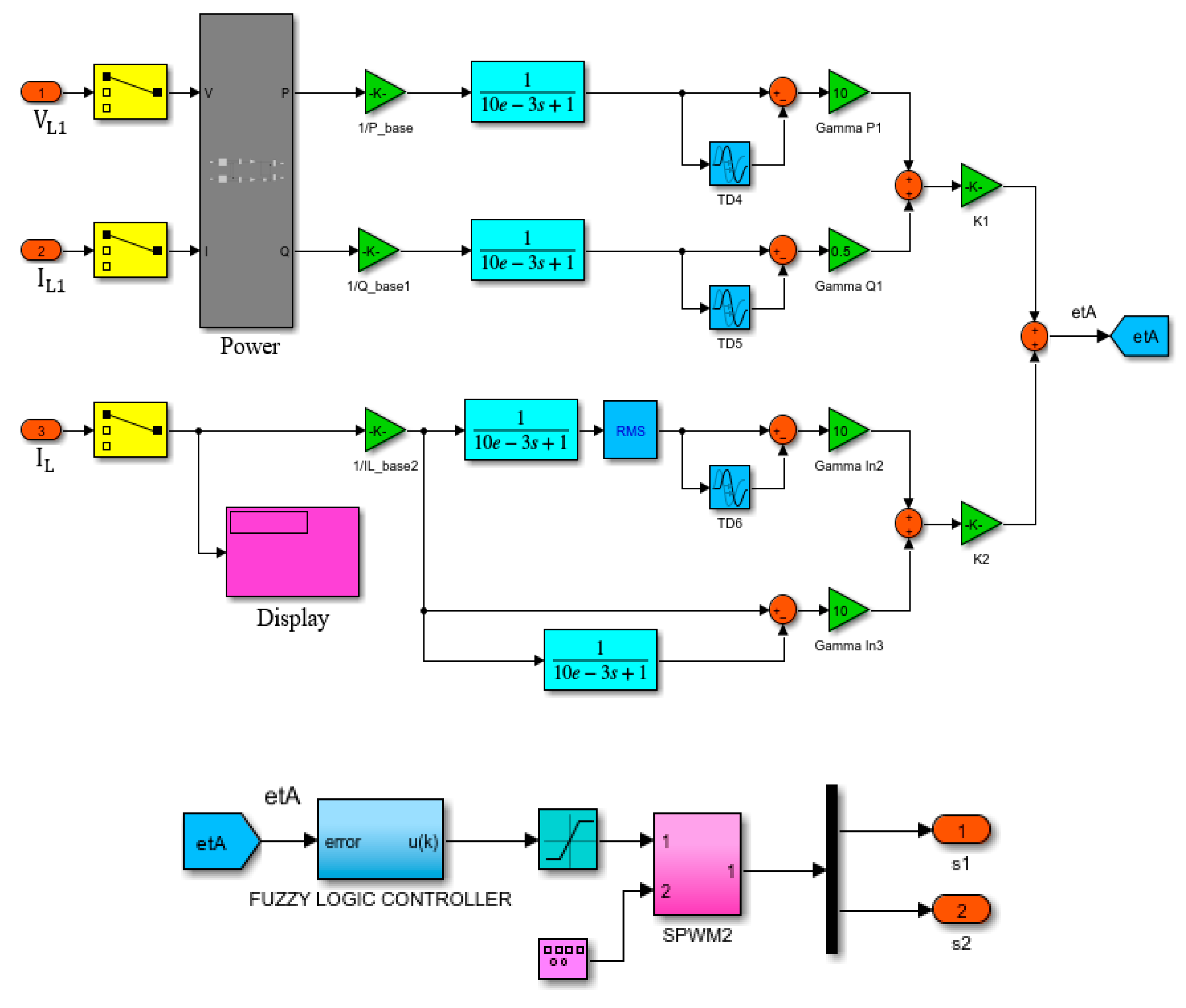
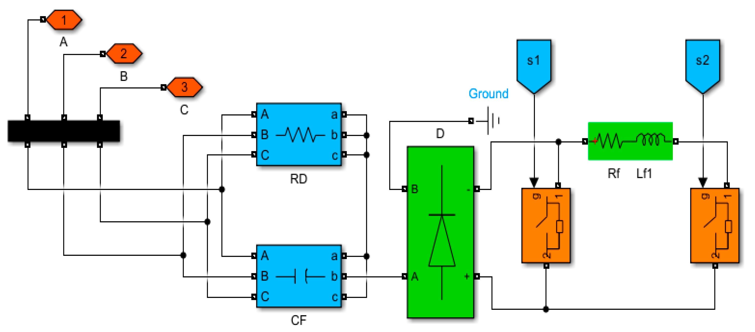
4. FACTS-MFCC-SFC Scheme
5. Type-2 Fuzzy Logic Controller




6. Simulation Results and Discussion
-
6.1. V, I, P, Q and PF at Source bus with Short Circuit OperationFigure 9. V, I, P, Q and PF at Source bus with Short Circuit, duration in (100ms to 200ms). A. RMS voltage waveform, B. RMS current waveform, C. Active power waveform, D. Reactive power waveform and E. Power factor waveform at Source bus.Figure 9. V, I, P, Q and PF at Source bus with Short Circuit, duration in (100ms to 200ms). A. RMS voltage waveform, B. RMS current waveform, C. Active power waveform, D. Reactive power waveform and E. Power factor waveform at Source bus.

-
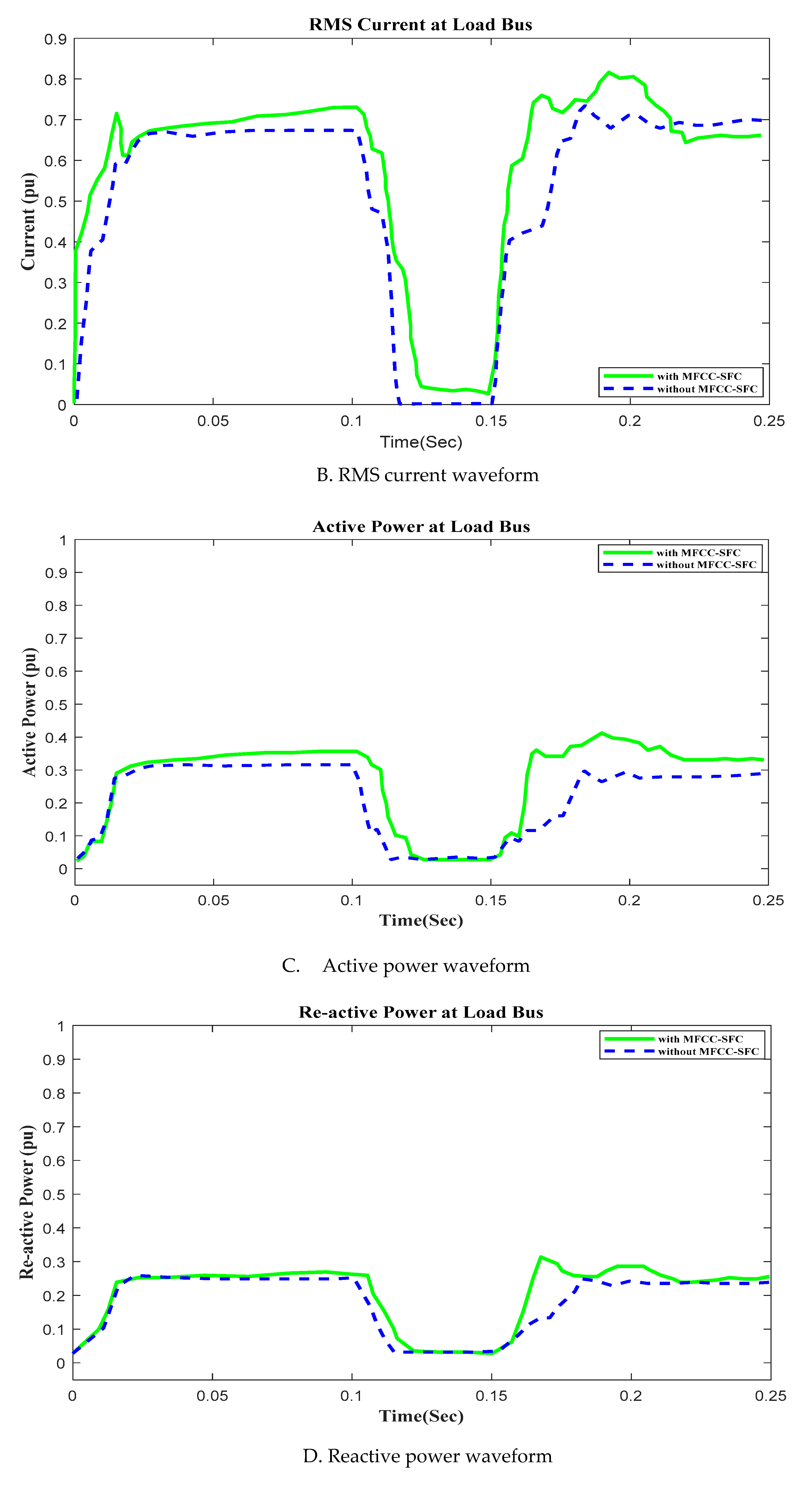
6.2. V, I, P, Q and PF at Load bus with Short Circuit OperationFigure 10. V, I, P, Q and PF at Load bus with Short Circuit, duration in (100ms to 200ms). A. RMS voltage waveform, B. RMS current waveform, C. Active power waveform, D. Reactive power waveform and E. Power factor waveform at Load bus.Figure 10. V, I, P, Q and PF at Load bus with Short Circuit, duration in (100ms to 200ms). A. RMS voltage waveform, B. RMS current waveform, C. Active power waveform, D. Reactive power waveform and E. Power factor waveform at Load bus.


7. Application Short Circuit Condition
-
6.4. V, I, P, Q and PF at Source bus with Open Circuit OperationFigure 11. V, I, P, Q and PF at Source bus with Open Circuit, duration in (100ms to 150ms). A. RMS voltage waveform, B. RMS current waveform, C. Active power waveform, D. Reactive power waveform and E. Power factor waveform at Source bus.Figure 11. V, I, P, Q and PF at Source bus with Open Circuit, duration in (100ms to 150ms). A. RMS voltage waveform, B. RMS current waveform, C. Active power waveform, D. Reactive power waveform and E. Power factor waveform at Source bus.


-
6.5. V, I, P, Q and PF under at Load bus with Open Circuit OperationFigure 12. V, I, P, Q and PF at Load bus with Open Circuit, duration in (100ms to 150ms). A. RMS voltage waveform, B. RMS current waveform, C. Active power waveform, D. Reactive power waveform and E. Power factor waveform at Load bus.Figure 12. V, I, P, Q and PF at Load bus with Open Circuit, duration in (100ms to 150ms). A. RMS voltage waveform, B. RMS current waveform, C. Active power waveform, D. Reactive power waveform and E. Power factor waveform at Load bus.


8. Application Open Circuit Condition
-
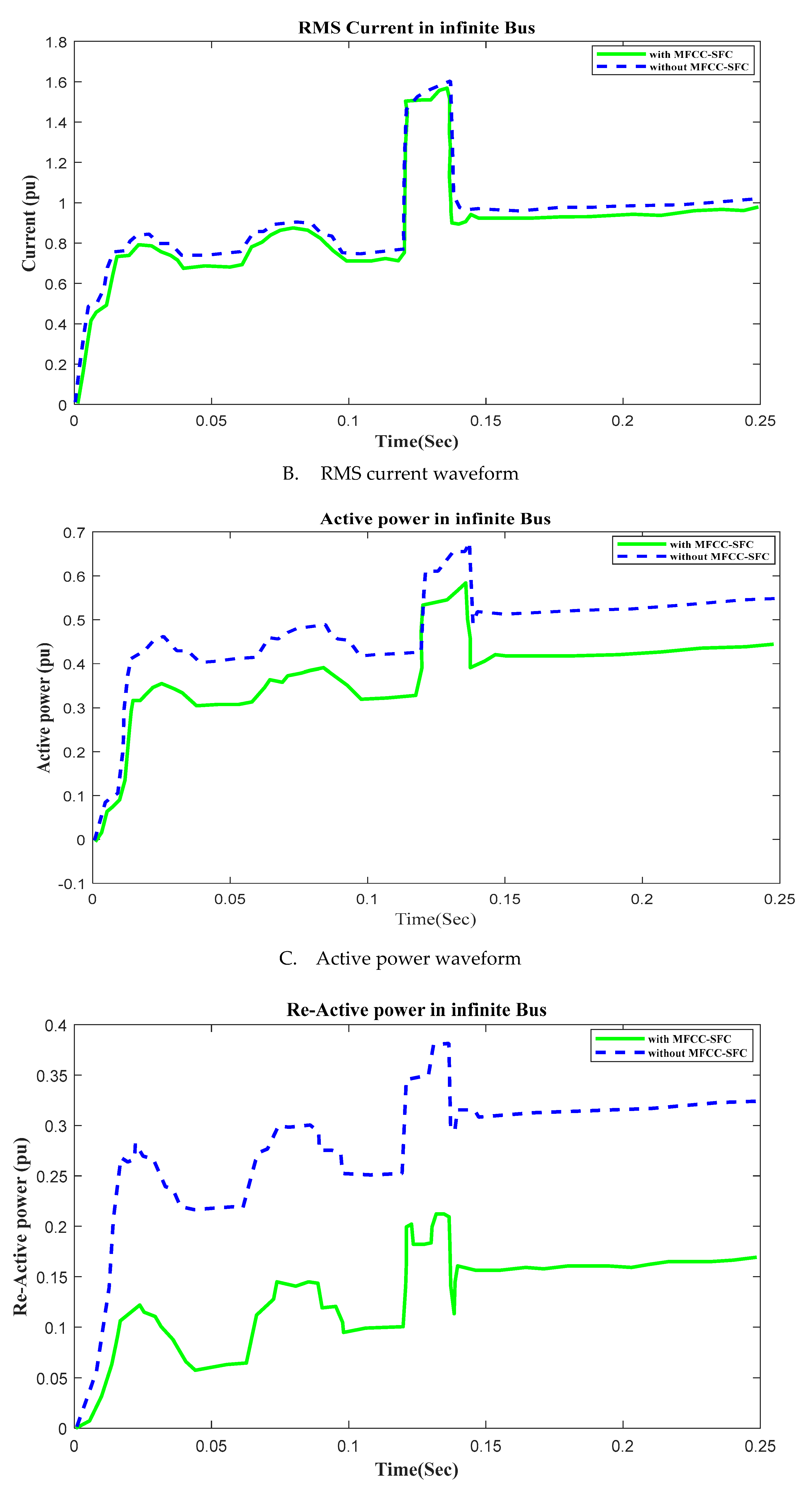
6.7. V, I, P, Q, and PF in infinite busFigure 13. V, I, P, Q and PF at infinite bus with Open Circuit, duration in (100ms to 150ms). A. RMS voltage waveform, B. RMS current waveform, C. Active power waveform, D. Reactive power waveform and E. Power factor waveform in infinite bus.Figure 13. V, I, P, Q and PF at infinite bus with Open Circuit, duration in (100ms to 150ms). A. RMS voltage waveform, B. RMS current waveform, C. Active power waveform, D. Reactive power waveform and E. Power factor waveform in infinite bus.


-
6.6. V, I, P, Q and PF in Load busFigure 14. V, I, P, Q, and PF at Load bus with Open Circuit, duration in (100ms to 150ms). A. RMS voltage waveform, B. RMS current waveform, C. Active power waveform, D. Reactive power waveform, and E. Power factor waveform in Load bus.Figure 14. V, I, P, Q, and PF at Load bus with Open Circuit, duration in (100ms to 150ms). A. RMS voltage waveform, B. RMS current waveform, C. Active power waveform, D. Reactive power waveform, and E. Power factor waveform in Load bus.


9. Open and Close Circuits
10. Hybrid Load Variations
11. Power Systems Harmonics Analysis
12. Discussions of Digital Simulation Results
13. Conclusion and Extended Work
Appendix A
| Parameters | Value |
| AC Utility Grid Parameters | |
| Nominal Voltage | 138 KV (L-L), 100 MW |
| Ratio X/R | 10 |
| Base Power Vs Bus | 100 MVA |
| Base Power VL Bus | 200 MVA |
| Frequency | 1.750 KHz |
| FACTS-MFCC Parameters | |
| CF | 275µF |
| RD, RF, LF | 1Ω, 0.15Ω, 3mH |
| Width Modulation Proportional Integral Derivative (WMPID) Controller Parameters | |
| Ke, Kp, Ki, Ki, , | 0.7, 5, 1.5, 0.5, 0.5, 0.1 |
| Transmission Line | |
| Feeder | 25 kv(L-L),10 km |
| R/km, L/km | 0.4Ω, 0.45Ω |
Appendix B
| Parameters | Value |
| Transformer Parameters | |
| Power Transformer 1 | 138 KV to 25kv, 5 MW |
| Power Transformer 2 | 25 KV to 4.16kv, 5 MW |
| Hybrid AC Load Parameters | |
| Induction Motor | 2.5 MVA, 4 poles |
| Rs=0.02765pu, Ls=0.0498 pu | |
| Rr=0.01807pu, Lr=0.0497 pu | |
| Lm=1.354 pu | |
| Linear Load | P=2500 KW, Q= 2 MVAr |
| Nonlinear Load | P=1250 KW, Q= 2 MVAr |
References
- Kazemi-Robati, E.; Hafezi, H.; Sepasian, M.S.; Silva, B. Probabilistic planning of virtually-hybrid harmonic filters inmodern distribution systems. in 2023 International Conference on Smart Energy Systems and Technologies (SEST), 2023.
- Aly, H.H.H. A proposed intelligent short-term load forecasting hybrid models of ANN, WNN and KF based on clustering techniques for smart grid. Electr. Power Syst. Res. 2020, 182, 106191. [Google Scholar] [CrossRef]
- Das Biswas, S.; Chowdhury, S.; Nandi, C.; Das, B. Power quality improvement with hybrid shunt active power filter. In Proceedings of the 2023 IEEE International Conference on Power Electronics, Smart Grid, and Renewable Energy (PESGRE), Trivandrum, India, 17–20 December 2023. [Google Scholar]
- Elbakush, E.; Sharaf, A.M.; Altas, I.H. A novel Green Plug Filter Compensation scheme for electric vehicle DC drive. In Proceedings of the 2011 International Symposium on Innovations in Intelligent Systems and Applications, Istanbul, Turkey, 15–18 June 2011; pp. 599–605. [Google Scholar]
- Sharaf, A.M.; Khaki, B. A novel FACTS hybrid modulated filter/capacitor compensator. In Proceedings of the 2012 International Conference on Smart Grid (SGE), Oshawa, ON, Canada, 27–29 August 2012; pp. 1–6. [Google Scholar]
- Golla, M.; Thangavel, S.; Simon, S.P.; Padhy, N.P.; Pannala, S. An improved hybrid control strategy for UAPF- based microgrid system for active power line conditioner with power flow control. in 2023 IEEE International Conference on Power Electronics, Smart Grid, and Renewable Energy (PESGRE).
- R. S. Yallamilli and M. K. Mishra, "Instantaneous symmetrical component theory based parallel grid side converter control strategy for microgrid power management. IEEE Trans. Sustain. Energy 2019, 10, 682–692. [Google Scholar] [CrossRef]
- Naqvi, S.B.Q.; Singh, B. A PV-battery system resilient to weak grid conditions with regulated power injection and grid supportive features. IEEE Trans. Sustain. Energy 2022, 13, 1408–1419. [Google Scholar] [CrossRef]
- Şahin, Mustafa Ergin, and Adel Mahmoud Sharaf. "A Robust Decoupled Microgrid Charging Scheme Using a DC Green Plug-Switched Filter Compensator." In Fast Charging and Resilient Transportation Infrastructures in Smart Cities, pp. 89–116. Cham: Springer International Publishing, 2022.
- Ayman, F.; Sharaf, A. A novel filter compensation scheme for hybrid (photovoltaic–fuel cell)-dc utilization systems. Int. J. Adv. Renew. Energy Res. 2012, 1, 283–291. [Google Scholar]
- Sharaf, Adel M., and Mohamed A. El-Sayed. "A novel hybrid Photovoltaic/Wave energy utilization system for island electricity." In 2009 16th IEEE International Conference on Electronics, Circuits and Systems-(ICECS 2009), pp. 571–574. IEEE, 2009. [CrossRef]
- Mohammed, A. Performance enhancement of stand-alone photovoltaic systems with household loads. In 2019 2nd International Conference on Computer Applications & Information Security (ICCAIS), pp. 1–6. IEEE, 2019.
- Fry, Sophia, Mahir Irtiza, Alexa Hoffman, and Yousef Sardahi. "Fuzzy Logic Control for Flexible Joint Manipulator: An Experimental Implementation.". International Journal of Mechanical and Mechatronics Engineering 2024, 18, 16–20.
- Chao, Wujie; et al. "Research on Hybrid Active Power Filter and Its Control and Protection System for LCC-HVDC." 2023 IEEE 11th Joint International Information Technology and Artificial Intelligence Conference (ITAIC). Vol. 11. IEEE, 2023. [CrossRef]
- Wang, Lianjie; et al. "A Three-Phase-Module-Parallel Si & SiC Hybrid Inverter with Smaller Filter Size and Low Cost." 2022 IEEE Transportation Electrification Conference and Expo, Asia-Pacific (ITEC Asia-Pacific). IEEE, 2022. [CrossRef]
- Catata, Elmer O. Hancco; et al. "In-Loop Adaptive Filters to Improve the Power Quality of Switched Reluctance Generator in WECS.". IEEE Access 2021, 10, 2941–2951. [CrossRef]
- Singh, Vikram; et al. "Performance Evaluation of A Shunt Active Power Filter For Current Harmonic Elimination." 2021 IEEE Region 10 Symposium (TENSYMP). IEEE, 2021. [CrossRef]
- Lima, Vitor Leobet, and Tiago Jackson May Dezuo. "Robust Switching Rule Design for Single-Phase Shunt Active Power Filter." 2021 Brazilian Power Electronics Conference (COBEP). IEEE, 2021. [CrossRef]
- Lin, Hongyi; et al. "Shunt active power filter using SiC-MOSFET with high accuracy compensation." 2020 IEEE 9th International Power Electronics and Motion Control Conference (IPEMC2020-ECCE Asia). IEEE, 2020. [CrossRef]
- Daftary, Dhrumil, and M. T. Shah. "Design and analysis of hybrid active power filter for current harmonics mitigation." 2019 IEEE 16th India Council International Conference (INDICON). IEEE, 2019. [CrossRef]
- Nolasco, Diego HS; et al. "Application of Fuzzy Systems in Power Quality: Diagnosis of Total Harmonic Distortions." 2018 IEEE International Conference on Fuzzy Systems (FUZZ-IEEE). IEEE, 2018.
- Mohammad Nurul Absar, Md Fokhrul Islam, Ashik Ahmed “Power quality improvement of a proposed grid-connected hybrid system by load flow analysis using static VAR compensator. Heliyon journal, 2023. [CrossRef]
- Solanki, A.Y.; Vyas, S.R. A review on power quality enhancement using custom power devices. Int. Res. J. Eng. Technol. 2021, 8, 287–290. [Google Scholar]
- A.M. Bloul; A.M. Sharaf; H.M. Mosbah; M.E. El-Hawary, “A robust fuzzy logic controller for a green plug-switched filter for nonlinear loads’’ IEEE International Canadian Conference on Electrical and Computer Engineering (CCECE), 2015. [CrossRef]
- Sharaf, A.M.; Huang, H.; Chang, L. Power quality and nonlinear load voltage stabilization using error driven switched passive power filter. IEEE Proc. on International Symposium on Industrial Electronics 1995, 616–621. [Google Scholar] [CrossRef]
- Sharaf, A.M.; Gandoman, F.H. A Flexible Facts Based Scheme for Smart Grid-PV-Battery Storage Systems. Int. J. Distrib. Energy Resour. 2014, 10, 261–271. [Google Scholar]
- Desale, P.A.; Dhawale, V.J.; Bandgar, R.M. Brief review paper on the custom power devices for power quality improvement. International Journal of Electronic and Electrical Engineering 2014, 7, 723–733. [Google Scholar]
- Nejabatkhah, F.; Li, Y.; Tian, H. Power quality control of smart hybrid AC/DC Microgrids: An Overview”, IEEE conference. Translations and content mining, 2169-3536, 2019. [CrossRef]
- Bloul, A.M.; Sharaf, A.M.; Aly, H.H.; Gu, J. An Energy Efficient Green Plug Filter Compensation Scheme for Hybrid Nonlinear Loads. International Journal of Engineering Innovation & Research IJEIR 2023, 12, 69–88. [Google Scholar]
- Amal Dendouga, Abdelhakim Dendouga, Najib Essounbouli, “Performance Enhancement of Wind Turbine Systems using Type-2 Fuzzy Logic Control: Comparative study’’ 19th International Multi-Conference on Systems, Signals & Devices (SSD'22), 2022. [CrossRef]
- Al-Bashayreh, Q.; Kiftaro, A.; Alsheikh, M.; Jaradat, M.A. An Intelligent Controller for an Assisted Electric Wheelchair based on Interval Type-2 Fuzzy Logic. IEEE Advances in Science and Engineering Technology International Conferences (ASET) 2023. [Google Scholar]
- Jianan Zhang, Lei Zhang, Fengchun Sun and Zhenpo Wang, An Overview on Thermal Safety Issues of Lithium-ion Batteries for Electric Vehicle Application. IEEE Special Section on Battery Energy Storage and Management Systems 2018. [CrossRef]
- Dong, H.; Xi, J. Model Predictive Longitudinal Motion Control for the Unmanned Ground Vehicle with a Trajectory Tracking Model. IEEE Trans. Veh. Technol. 2022, 71. [Google Scholar] [CrossRef]
- Seema Agrawal, Deepika Sharma, Vijay Kumar Gupta and R. K. Somani, “Performance Evaluation of 3-Phase 4-Wire SAPF based on Synchronizing EPLL with Fuzzy Logic Controller’’ 2nd IEEE International conference on power Electronics, Intelligent Control and Energy systems, ICPEICES.2018. [CrossRef]
- Ahmed, F. Zobaa, Shady H. E. Abdel Aleem (ed.), Power quality in future electrical power systems, Energy Engineering, IET Digital Library, 2017, pp. 200-230.
- Hagras, H. A Hierarchical type-2 Fuzzy Logic Control Architecture for Autonomous Mobile Robots. IEEE Transactions on Fuzzy Systems 2004, 12, 524–539. [Google Scholar] [CrossRef]
- Mahdi M EI-Arini, MT Youssef, Hamed H Hendawy “Voltage sag analysis and its reduction to improve power system performance" IEEE Eleventh International Middle East Power Systems Conference, (2006).
- Mendel, J.; Hagras, H.; Tan, W.-W.; Melek, W.W.; Ying, H. Introduction to Type-2 Fuzzy Logic Control: Theory and Applications, John Wiley & Sons, Inc., Hoboken, New Jersey (2014).
- Mendel, J.; John, R. Type-2 Fuzzy Sets Made Simple. IEEE Transactions on Fuzzy Systems 2002, 10, 117–127. [Google Scholar] [CrossRef]
- Mukhtar Fatihu Hamza, Hwa Jen YAP and Imtiaz Choudhury. Advances on the Use of Meta-Heuristic Algorithms to Optimize Type-2 Fuzzy Logic Systems for Prediction, Classification, Clustering and Pattern Recognition. Journal of Computational and Theoretical Nanoscience 2016, 13, 96–109. [CrossRef]
- Mukhtar Fatihu Hamza, Hwa Jen YAP and Imtiaz Choudhury. Advances on the Use of Meta-Heuristic Algorithms to Optimize Type-2 Fuzzy Logic Systems for Prediction, Classification, Clustering and Pattern Recognition. Journal of Computational and Theoretical Nanoscience 2016, 13, 96–109. [CrossRef]
- Bloul, A.; Sharaf, A.; El-Hawary, M. An energy saving green plug device for nonlinear loads. IOP Conf. Ser. Earth Environ. Sci. 2018, 127, 012016. [Google Scholar] [CrossRef]








| Buses | Source bus, Vs (pu) | Load bus, VL (pu) | ||||||
|---|---|---|---|---|---|---|---|---|
| V | I | P | PF | V | I | P | PF | |
| Without MFCC | 1.0 | 0.7 | 0.46 | 0.68 | 1.0 | 0.65 | 0.35 | 0.75 |
| With MFCC | 1.01 | 0.75 | 0.52 | 0.8.2 | 1.05 | 0.7 | 0.4 | 0.79 |
| Improvement | 0.01 | 0.05 | 0.06 | 0.14 | 0.05 | 0.05 | 0.05 | 0.04 |
| % Improvement | 1% | 5% | 6% | 14% | 5% | 5% | 5% | 4% |
| Buses | Source bus, Vs (pu) | Load bus, VL (pu) | ||||||
|---|---|---|---|---|---|---|---|---|
| V | I | P | PF | V | I | P | PF | |
| Without MFCC | 1.0 | 0.8 | 0.35 | 0.78 | 0.8 | 0.68 | 0.3 | 0.8 |
| With MFCC | 1.01 | 0.9 | 0.5 | 0.98 | 1.0 | 0.75 | 0.4 | 0.98 |
| Improvement | 0.01 | 0.1 | 0.15 | 0.2 | 0.2 | 0.05 | 0.1 | 0.18 |
| % Improvement | 1% | 10% | 15% | 20% | 20% | 7% | 10% | 18% |
Disclaimer/Publisher’s Note: The statements, opinions and data contained in all publications are solely those of the individual author(s) and contributor(s) and not of MDPI and/or the editor(s). MDPI and/or the editor(s) disclaim responsibility for any injury to people or property resulting from any ideas, methods, instructions or products referred to in the content. |
© 2024 by the authors. Licensee MDPI, Basel, Switzerland. This article is an open access article distributed under the terms and conditions of the Creative Commons Attribution (CC BY) license (http://creativecommons.org/licenses/by/4.0/).