Submitted:
14 May 2024
Posted:
14 May 2024
You are already at the latest version
Abstract
Keywords:
1. Introduction
- Different from the traditional sequential docking of multiple modules, a new procedure of large telescope on-orbit construction is proposed. Firstly, perform consensus-based attitude maneuver of modular units and main structure, then docking modular units with the main structure simultaneously. In addition, the communication scheme in this study is based on wireless communication interference. As a consequence, the assembly time, cost of attitude control and communication resources are saved proportional to the number of modular unit mirrors.
- To provide a singularity-free solution for consensus-based attitude-tracking control, the attitude description is based on a unit quaternion throughout the study. Then, a fixed-time observer was presented for each unit mirrors to cooperatively estimate the attitude quaternion of the main structure. The observer in this study also handles the discrete-time communication in engineering and unknown channel attenuation when exploiting communication interference.
- Finally, an observer-based fixed-time control scheme was designed to ensure that the attitude of each unit mirror accurately forms a predetermined attitude angle relative to the main structure. Compared with the existing fixed-time consensus-based attitude controls for multiple satellites [22,23,24,25,26,28,29,36], the controller proposed in this study can simultaneously handle nontrivial issues such as unknown tiny disturbance torque, model uncertainty, and actuator saturation. This implies that the control algorithm introduced in this paper is more applicable in engineering.
2. Preliminary Knowledge
2.1. Kinematics and Dynamics
2.1.1. Quaternion Kinematics
2.1.2. Attitude Dynamics
2.2. Graph
2.3. WMAC Model for Wireless Interference
3. Problem Description
4. Design of Communication System Exploiting Interference
5. Proposed Solution
- (1)
- (2)
5.1. Discrete-Time Fixed-Time Observer
5.2. Fixed-Time Controller
6. Simulation Results
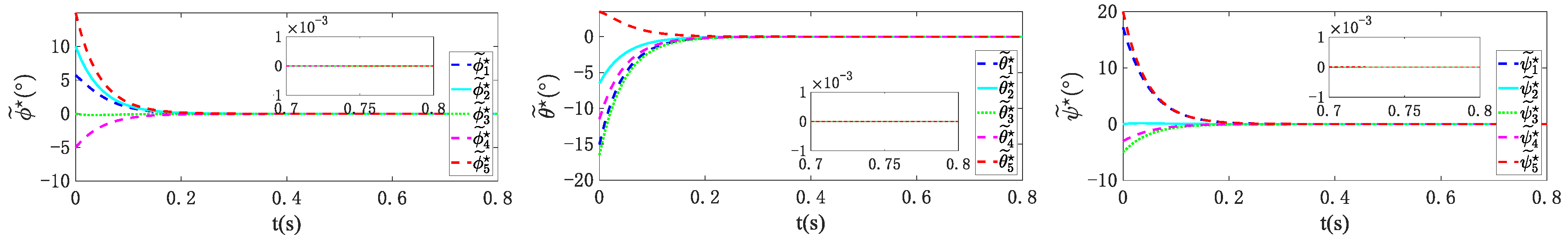
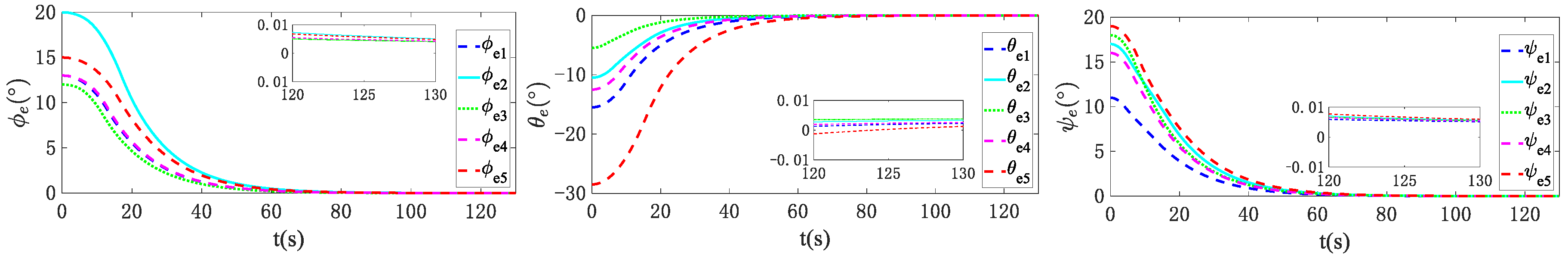
6.1. Case I: Simulation with the Discrete-Time Control Scheme Proposed in this Study
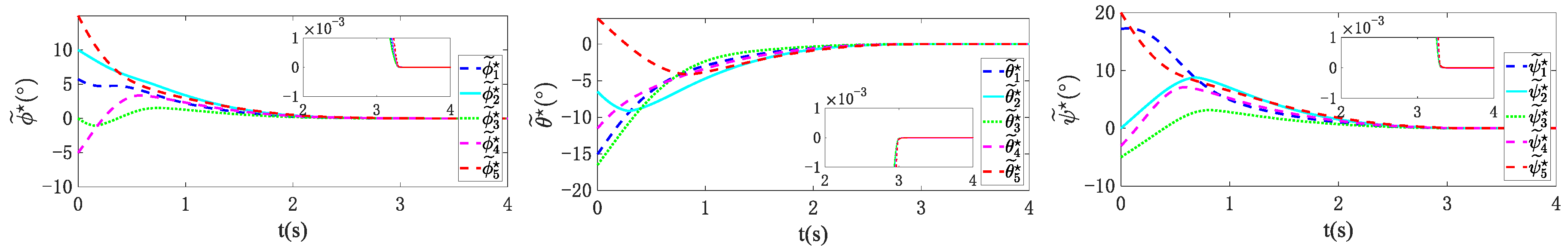
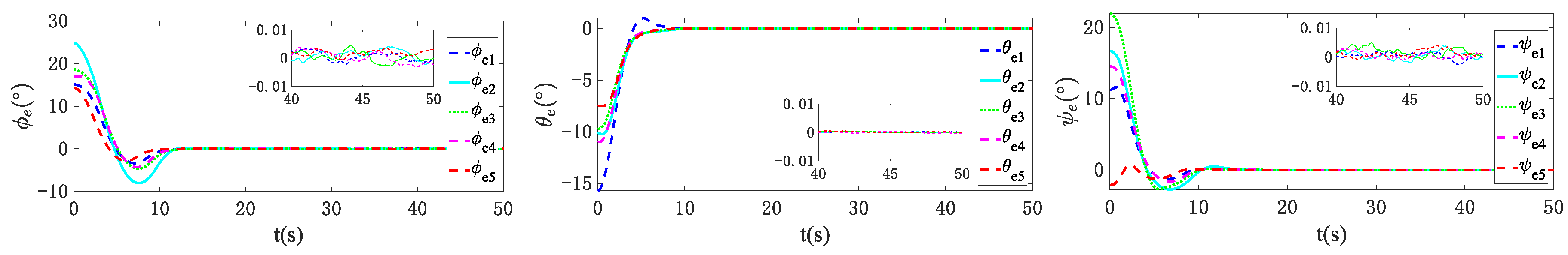
6.2. Comparison Case II: with Continuous Control Scheme
7. Conclusion
Author Contributions
Funding
Appendix A. Proof of Theorem 1
Appendix B. Proof of Theorem 2
References
- Li, W.J.; Cheng, D.Y.; Liu, X.G.; Wang, Y.B.; Shi, W.H.; Tang, Z.X.; Gao, F.; Zeng, F.M.; Chai, H.Y.; Luo, W.B.; et al. On-orbit service (OOS) of spacecraft: A review of engineering developments. Progress in Aerospace Sciences 2019, 108, 32–120. [Google Scholar] [CrossRef]
- Sanfedino, F.; Thiébaud, G.; Alazard, D.; Guercio, N.; Deslaef, N. Advances in fine line-of-sight control for large space flexible structures. Aerospace Science and Technology 2022, 130, 107961. [Google Scholar] [CrossRef]
- LI, P.; WEN, X.; LIU, H.; LU, Y. Event-triggered and consensus-based attitude tracking alignment for discrete-time multiple spacecraft system exploiting interference. Chinese Journal of Aeronautics 2023, 36, 241–255. [Google Scholar] [CrossRef]
- Zhang, T.; Mu, R. Attitude Tracking Adaptive Control of a Geocentric Polar Displaced Solar Sail. Aerospace 2023, 10. [Google Scholar] [CrossRef]
- Fan, S.; Cui, Z.; Chen, X.; Liu, X.; Xing, F.; You, Z. Magnetic Fault-Tolerant Attitude Control with Dynamic Sensing for Remote Sensing CubeSats. Remote Sensing 2023, 15. [Google Scholar] [CrossRef]
- Song, C.; Fan, C.; Wang, M. Image-Based Adaptive Staring Attitude Control for Multiple Ground Targets Using a Miniaturized Video Satellite. Remote Sensing 2022, 14. [Google Scholar] [CrossRef]
- Amato, F.; Ambrosino, R.; Cosentino, C.; Tommasi, G.D. Input-output finite time stabilization of linear systems. Automatica 2010, 46, 1558–1562. [Google Scholar] [CrossRef]
- Sun, Z.Y.; Yun, M.M.; Li, T. A new approach to fast global finite-time stabilization of high-order nonlinear system. Automatica 2017, 81, 455–463. [Google Scholar] [CrossRef]
- Sun, Z.Y.; Shao, Y.; Chen, C. Fast finite-time stability and its application in adaptive control of high-order nonlinear system. Automatica 2019, 106, 339–348. [Google Scholar] [CrossRef]
- Hu, H.X.; Wen, G.; Yu, W.; Cao, J.; Huang, T. Finite-Time Coordination Behavior of Multiple Euler-Lagrange Systems in Cooperation-Competition Networks. IEEE Transactions on Cybernetics 2019, 1–13. [Google Scholar] [CrossRef] [PubMed]
- Gui, H.; de Ruiter, A.H. Global finite-time attitude consensus of leader-following spacecraft systems based on distributed observers. Automatica 2018, 91, 225–232. [Google Scholar] [CrossRef]
- Yu, L.; Ye, D.; Sun, Z. Finite-time resilient attitude coordination control for multiple rigid spacecraft with communication link faults. Aerospace Science and Technology 2021, 111, 106560. [Google Scholar] [CrossRef]
- Gui, H.; Ruiter, A.H.J.D. Global finite-time attitude consensus of leader-following spacecraft systems based on distributed observers. Automatica 2018. [Google Scholar] [CrossRef]
- Zhang, Y.; Li, S.; Wang, S.; Wang, X.; Duan, H. Distributed bearing-based formation maneuver control of fixed-wing UAVs by finite-time orientation estimation. Aerospace Science and Technology 2023, 136, 108241. [Google Scholar] [CrossRef]
- Doostmohammadian, M. Single-Bit Consensus With Finite-Time Convergence: Theory and Applications. IEEE Transactions on Aerospace and Electronic Systems 2020, 56, 3332–3338. [Google Scholar] [CrossRef]
- Xu, C.; Wang, Y.; Niu, Z.; Luo, S.; Du, F. Fixed-Time Convergent Guidance Law with Angle Constraint and Autopilot Lag Compensation Using Partial-State Feedback. Aerospace 2023, 10. [Google Scholar] [CrossRef]
- Zhan, X.; Hao, L.; Han, T.; Yan, H. Adaptive bipartite output consensus for heterogeneous multi-agent systems with quantized information: A fixed-time approach. Journal of the Franklin Institute 2021, 358, 7221–7236. [Google Scholar] [CrossRef]
- Wang, J.; Fang, Y.M.; Li, J.X.; Li, K.D. Fixed-Time Sliding Mode Fault-Tolerant Consensus Control for Second-Order Multi-Agent System with Actuator Fault. 2022 41st Chinese Control Conference (CCC), 2022, pp. 4153–4158. [CrossRef]
- Ni, J.; Shi, P.; Zhao, Y.; Wu, Z. Fixed-Time Output Consensus Tracking for High-Order Multi-Agent Systems With Directed Network Topology and Packet Dropout. IEEE/CAA Journal of Automatica Sinica 2021, 8, 817–836. [Google Scholar] [CrossRef]
- Xu, T.; Duan, Z.; Sun, Z.; Chen, G. Distributed Fixed-Time Coordination Control for Networked Multiple Euler-Lagrange Systems. IEEE Transactions on Cybernetics 2020, 1–12. [Google Scholar] [CrossRef]
- Wu, X.; Wei, C.; Chen, T.; Dai, M.Z. On novel distributed fixed-time formation tracking of multiple hypersonic flight vehicles with collision avoidance. Aerospace Science and Technology 2023, 141, 108517. [Google Scholar] [CrossRef]
- Zhou, Z.; Wang, Y. Coordinated Attitude Control of Spacecraft Formation Flying via Fixed-Time Estimators under a Directed Graph. Remote Sensing 2022, 14. [Google Scholar] [CrossRef]
- Zou, A.M.; Fan, Z. Distributed fixed-time attitude coordination control for multiple rigid spacecraft. International Journal of Robust and Nonlinear Control 2020, 30, 266–281. [Google Scholar] [CrossRef]
- Sui, W.; Duan, G.; Hou, M.; Zhang, M. Distributed fixed-time attitude coordinated tracking for multiple rigid spacecraft via a novel integral sliding mode approach. Journal of the Franklin Institute 2020, 357, 9399–9422. [Google Scholar] [CrossRef]
- Han, G.; Yuanqing, X.; Zhang, X.; Zhang, G. Distributed fixed-time attitude coordinated control for multiple spacecraft with actuator saturation. Chinese Journal of Aeronautics 2022, 35, 292–302. [Google Scholar]
- Hong, H.; Yu, C.; Yu, W. Adaptive fixed-time control for attitude consensus of disturbed multi-spacecraft systems with directed topologies. IEEE Transactions on Network Science and Engineering 2022, 9, 1451–1461. [Google Scholar] [CrossRef]
- Yin, T.; Zhang, K.; Jiang, B.; Liu, Q. Fixed-time attitude cooperative fault-tolerant control with prescribed performance for heterogeneous multiple satellite. Aerospace Science and Technology 2022, 128, 107752. [Google Scholar] [CrossRef]
- Xu, C.; Wu, B.; Wang, D.; Zhang, Y. Distributed fixed-time output-feedback attitude consensus control for multiple spacecraft. IEEE Transactions on Aerospace and Electronic Systems 2020, 56, 4779–4795. [Google Scholar] [CrossRef]
- Chen, R.Z.; Li, Y.X.; Ahn, C.K. Reinforcement-learning-based fixed-time attitude consensus control for multiple spacecraft systems with model uncertainties. Aerospace Science and Technology 2023, 132, 108060. [Google Scholar] [CrossRef]
- Zuo, Z.; Han, Q.L.; Ning, B.; Ge, X.; Zhang, X.M. An overview of recent advances in fixed-time cooperative control of multiagent systems. IEEE Transactions on Industrial Informatics 2018, 14, 2322–2334. [Google Scholar] [CrossRef]
- Utschick, W. Communications in Interference Limited Networks 2016.
- Truszkowski, W.; Hinchey, M.; Rash, J.; Rouff, C. NASA’s swarm missions: The challenge of building autonomous software. IT professional 2004, 6, 47–52. [Google Scholar] [CrossRef]
- Molinari, F.; Raisch, J. Efficient consensus-based formation control with discrete-time broadcast updates. 2019 IEEE 58th Conference on Decision and Control (CDC). IEEE, 2019, pp. 4172–4177.
- Molinari, F.; Agrawal, N.; Stanczak, S.; Raisch, J. Max-Consensus Over Fading Wireless Channels 2020.
- Peiran, L.; Xin, W.; Haiying, L.; Yuping, L. Event-triggered and consensus-based attitude tracking alignment for discrete-time multiple spacecraft system exploiting interference. Chinese Journal of Aeronautics 2023, 36, 241–255. [Google Scholar]
- Hu, D.; Zhang, S.; Zou, A.M. Velocity-free fixed-time attitude cooperative control for spacecraft formations under directed graphs. International Journal of Robust and Nonlinear Control 2021, 31, 2905–2927. [Google Scholar] [CrossRef]
- Yatzunsky, I.M.; Gurko, O.V.; Kwon, O.C.; Hassan, M.I.; Faeth, G.M.; Ickes, B.P. A new method for performing digital control system attitude computations using quaternions. AIAA Journal 1970. [Google Scholar]
- Sidi, M.J. Spacecraft dynamics and control: a practical engineering approach; Vol. 7, Cambridge university press, 1997.
- Wie, B. Space Vehicle Dynamics and Control, 2008.
- Li, P.; Wen, X.; Zheng, M.; Liu, H.; Long, D.; Lu, Y. Discrete-Time Attitude Tracking Synchronization for Swarms of Spacecraft Exploiting Interference. Aerospace 2022, 9, 134. [Google Scholar] [CrossRef]
- Hong, Y.; Hu, J.; Gao, L. Tracking control for multi-agent consensus with an active leader and variable topology. Automatica 2006, 42, 1177–1182. [Google Scholar] [CrossRef]
- Qian, C.; Lin, W. Non-Lipschitz continuous stabilizers for nonlinear systems with uncontrollable unstable linearization. Systems & Control Letters 2001, 42, 185–200. [Google Scholar] [CrossRef]
- Zou, A.M.; de Ruiter, A.H.; Kumar, K.D. Distributed finite-time velocity-free attitude coordination control for spacecraft formations. Automatica 2016, 67, 46–53. [Google Scholar] [CrossRef]
- Chen, G.; Yang, Y.; Deng, F. On practical fixed-time stability of discrete-time impulsive switched nonlinear systems. International Journal of Robust and Nonlinear Control 2020, 30, 7822–7834. [Google Scholar] [CrossRef]
- Jiang, B.; Hu, Q.; Friswell, M.I. Fixed-time rendezvous control of spacecraft with a tumbling target under loss of actuator effectiveness. IEEE Transactions on Aerospace and Electronic Systems 2016, 52, 1576–1586. [Google Scholar] [CrossRef]
- Farrag, A.; Othman, S.; Mahmoud, T.; ELRaffiei, A.Y. Satellite swarm survey and new conceptual design for Earth observation applications. The Egyptian Journal of Remote Sensing and Space Science 2021, 24, 47–54. [Google Scholar] [CrossRef]








| Notation | Meaning |
|---|---|
| the reference attitude quaternion | |
| attitude quaternion of modular unit mirror i | |
| attitude angular velocity of modular unit mirror i | |
| pre-designed constant desired attitude difference | |
| update instants | |
| communication graph | |
| augmented communication graph | |
| a matrix associated with | |
| (unknown) channel fading coefficient of the edge | |
| the normalized signal modular unit mirror i received at update instants | |
| a column stack vector of all | |
| the initial momentum of inertia of modular unit mirror i | |
| backstepping states of modular unit mirror i | |
| the adaptive compensation law | |
| the estimation of from modular unit mirror i | |
| a column stack vector of all | |
| the estimation error of modular unit mirror i | |
| a column stack vector of all | |
| control torque for modular unit mirror i | |
| unknown tiny disturbance torque of modular unit mirror i |
| Unit mirror | Initial attitude | Initial angular velocity |
|---|---|---|
| 1 | [13; 11; 11] | [-0.001; 0.001; -0.002] |
| 2 | [20; 16; 17] | [-0.001; -0.002; 0.001] |
| 3 | [12; 21; 18] | [0.001; -0.001; -0.002] |
| 4 | [13; 14; 16] | [-0.001; 0.001; -0.002] |
| 5 | [15; -2; 19] | [-0.002; -0.001; 0.002] |
| Case | Observer convergence time |
Observer error |
Controller convergence time |
Controller error |
Maximum torque |
|---|---|---|---|---|---|
| I | 0.8 | 0.001 | 130 | 0.01 | 0.02 |
| II | 4 | 0.001 | 50 | 0.01 | 5 |
Disclaimer/Publisher’s Note: The statements, opinions and data contained in all publications are solely those of the individual author(s) and contributor(s) and not of MDPI and/or the editor(s). MDPI and/or the editor(s) disclaim responsibility for any injury to people or property resulting from any ideas, methods, instructions or products referred to in the content. |
© 2024 by the authors. Licensee MDPI, Basel, Switzerland. This article is an open access article distributed under the terms and conditions of the Creative Commons Attribution (CC BY) license (http://creativecommons.org/licenses/by/4.0/).
