Submitted:
10 May 2024
Posted:
12 May 2024
You are already at the latest version
Abstract
Keywords:
1. Introduction
2. Materials and Methods
2.1. Experimental Setup
2.1.1. Power Augmenters
2.1.2. Measurement Devices
Torque Measurement
- : weight force.
- : friction force acting on the pulley.
- : force measured by the load cell.
Pitot Tubes
Rotary Encoder
Data Acquisition
2.1.3. Tested Configurations
2.2. Machine Learning
- To identify the parameters that most influence ΔP.
- To obtain a model capable of hypothesizing new scenarios without the constraint of necessarily intervening on the physical system.
- MSE is calculated as the average of the squares of the differences between the values predicted by the tree () and the corresponding actual values in the training data (). Minimizing the MSE during tree construction helps find optimal splits that reduce the overall prediction error.
- is the total number of instances in the training dataset.
- represents the number of instances contained in the node of interest.
- The number of instances to the right () and left () refers to the number of training samples ending up in the right and left subtree respectively during the tree splitting process.
- MSE, as already defined, calculates the average of the squares of the differences between the model's predicted values and the actual values in the validation (or test) dataset. This metric is particularly sensitive to outliers.
- Root Mean Square Error (RMSE) is the square root of the MSE and provides a measure of the average prediction error in units of the output variable. It corresponds to the Euclidean norm [29].
- The coefficient R2, also known as the coefficient of determination, provides a measure of how well the model fits the data. R2 varies between 0 and 1 and represents the percentage of variation in the output variable explained by the model. A value closer to 1 indicates a better model fit.
- Mean Absolute Error (MAE) calculates the average of the absolute differences between the predicted values and the actual values and is less sensitive to outliers compared to MSE [29].
3. Results and Discussions
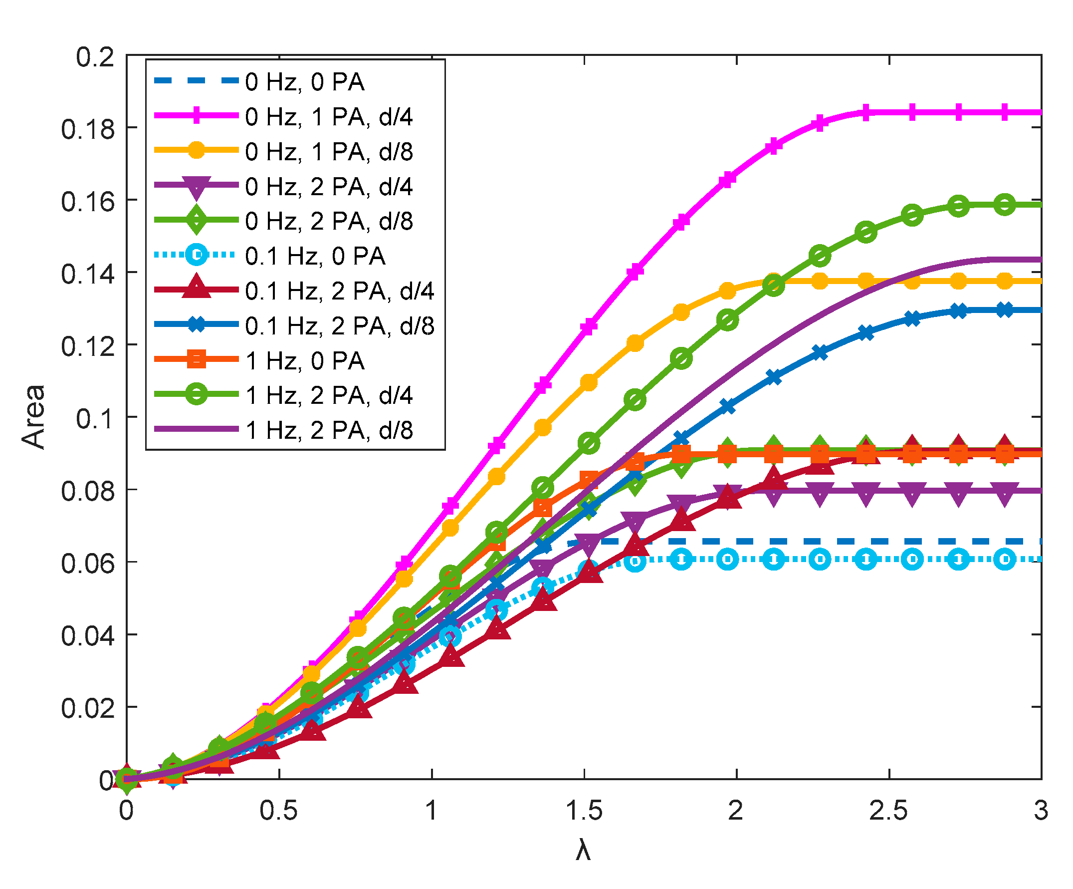
3.1. Experimental Results
3.2. ML Results


4. Conclusions
Author Contributions
Informed Consent Statement
Data Availability Statement
Conflicts of Interest
References
- Lamb, W.F.; Wiedmann, T.; Pongratz, J.; Andrew, R.; Crippa, M.; Olivier, J.G.J.; Wiedenhofer, D.; Mattioli, G.; Khourdajie, A. Al; House, J.; et al. A Review of Trends and Drivers of Greenhouse Gas Emissions by Sector from 1990 to 2018. Environmental Research Letters 2021, 16, 073005. [Google Scholar] [CrossRef]
- Lunde Hermansson, A.; Hassellöv, I.M.; Moldanová, J.; Ytreberg, E. Comparing Emissions of Polyaromatic Hydrocarbons and Metals from Marine Fuels and Scrubbers. Transp Res D Transp Environ 2021, 97, 102912. [Google Scholar] [CrossRef]
- Cucinotta, F.; Barberi, E.; Salmeri, F. A Review on Navigating Sustainable Naval Design: LCA and Innovations in Energy and Fuel Choices. Journal of Marine Science and Engineering 2024, Vol. 12, Page 520 2024, 12, 520. [Google Scholar] [CrossRef]
- Yusuf, A.A.; Yusuf, D.A.; Jie, Z.; Bello, T.Y.; Tambaya, M.; Abdullahi, B.; Muhammed-Dabo, I.A.; Yahuza, I.; Dandakouta, H. Influence of Waste Oil-Biodiesel on Toxic Pollutants from Marine Engine Coupled with Emission Reduction Measures at Various Loads. Atmos Pollut Res 2022, 13, 101258. [Google Scholar] [CrossRef]
- Cucinotta, F.; Raffaele, M.; Salmeri, F. A Well-to-Wheel Comparative Life Cycle Assessment Between Full Electric and Traditional Petrol Engines in the European Context. Lecture Notes in Mechanical Engineering 2021, 188–193. [Google Scholar] [CrossRef]
- Bilgili, L. Comparative Assessment of Alternative Marine Fuels in Life Cycle Perspective. Renewable and Sustainable Energy Reviews 2021, 144, 110985. [Google Scholar] [CrossRef]
- Rial, R.C. Biofuels versus Climate Change: Exploring Potentials and Challenges in the Energy Transition. Renewable and Sustainable Energy Reviews 2024, 196, 114369. [Google Scholar] [CrossRef]
- Garg, R.; Sabouni, R.; Ahmadipour, M. From Waste to Fuel: Challenging Aspects in Sustainable Biodiesel Production from Lignocellulosic Biomass Feedstocks and Role of Metal Organic Framework as Innovative Heterogeneous Catalysts. Ind Crops Prod 2023, 206, 117554. [Google Scholar] [CrossRef]
- Ershov, M.A.; Savelenko, V.D.; Makhova, U.A.; Makhmudova, A.E.; Zuikov, A. V.; Kapustin, V.M.; Abdellatief, T.M.M.; Burov, N.O.; Geng, T.; Abdelkareem, M.A.; et al. Current Challenge and Innovative Progress for Producing HVO and FAME Biodiesel Fuels and Their Applications. Waste Biomass Valorization 2023, 14, 505–521. [Google Scholar] [CrossRef]
- Huang, W.; Zulkifli, M.Y. Bin; Chai, M.; Lin, R.; Wang, J.; Chen, Y.; Chen, V.; Hou, J. Recent Advances in Enzymatic Biofuel Cells Enabled by Innovative Materials and Techniques. Exploration 2023, 3, 20220145. [Google Scholar] [CrossRef]
- Zhang, L.; Jia, C.; Bai, F.; Wang, W.; An, S.; Zhao, K.; Li, Z.; Li, J.; Sun, H. A Comprehensive Review of the Promising Clean Energy Carrier: Hydrogen Production, Transportation, Storage, and Utilization (HPTSU) Technologies. Fuel 2024, 355, 129455. [Google Scholar] [CrossRef]
- Prestipino, M.; Salmeri, F.; Cucinotta, F.; Galvagno, A. Thermodynamic and Environmental Sustainability Analysis of Electricity Production from an Integrated Cogeneration System Based on Residual Biomass: A Life Cycle Approach. Appl Energy 2021, 295, 117054. [Google Scholar] [CrossRef]
- Puleio, F.; Rizzo, G.; Nicita, F.; Giudice, F. Lo; Tamà, C.; Marenzi, G.; Centofanti, A.; Raffaele, M.; Santonocito, D.; Risitano, G. Chemical and Mechanical Roughening Treatments of a Supra-Nano Composite Resin Surface: SEM and Topographic Analysis. Applied Sciences (Switzerland) 2020, 10. [Google Scholar] [CrossRef]
- Di Bella, G.; Alderucci, T.; Salmeri, F.; Cucinotta, F. Integrating the Sustainability Aspects into the Risk Analysis for the Manufacturing of Dissimilar Aluminium/Steel Friction Stir Welded Single Lap Joints Used in Marine Applications through a Life Cycle Assessment. Sustainable Futures 2022, 4, 100101. [Google Scholar] [CrossRef]
- Xu, C.; Huang, Z. Three-Dimensional CFD Simulation of a Circular OWC with a Nonlinear Power-Takeoff: Model Validation and a Discussion on Resonant Sloshing inside the Pneumatic Chamber. Ocean Engineering 2019, 176, 184–198. [Google Scholar] [CrossRef]
- Ning, D.Z.; Wang, R.Q.; Zou, Q.P.; Teng, B. An Experimental Investigation of Hydrodynamics of a Fixed OWC Wave Energy Converter. Appl Energy 2016, 168, 636–648. [Google Scholar] [CrossRef]
- Devin, D.; Halim, L.; Arthaya, B.M.; Chandra, J.; Devin, D.; Halim, L.; Arthaya, B.M.; Chandra, J. Design and CFD Simulation of Guide Vane for Multistage Savonius Wind Turbine. Journal of Mechatronics, Electrical Power, and Vehicular Technology 2023, 14, 186–197. [Google Scholar] [CrossRef]
- Mauro, S.; Brusca, S.; Lanzafame, R.; Messina, M. CFD Modeling of a Ducted Savonius Wind Turbine for the Evaluation of the Blockage Effects on Rotor Performance. Renew Energy 2019, 141, 28–39. [Google Scholar] [CrossRef]
- Zaki, M.B.; Al-Quraishi, Y.; Sarip, S.; Fairul Izzat, M. TAGUCHI OPTIMIZATION OF WATER SAVONIUS TURBINE FOR LOW-VELOCITY INLETS USING CFD APPROACH. Journal of Energy and Safety Technology (JEST) 2023, 6, 1–7. [Google Scholar] [CrossRef]
- Chillemi, M.; Cucinotta, F.; Passeri, D.; Scappaticci, L.; Sfravara, F. CFD-Driven Shape Optimization of a Racing Motorcycle. Lecture Notes in Mechanical Engineering 2024, 488–496. [Google Scholar] [CrossRef]
- Cucinotta, F.; Raffaele, M.; Salmeri, F. A Topology Optimization Method for Stochastic Lattice Structures. Lecture Notes in Mechanical Engineering 2021, 235–240. [Google Scholar] [CrossRef]
- Brusca, S.; Galvagno, A.; Mauro, S.; Messina, M.; Lanzafame, R. Bell-Metha Power Augmented Savonius Turbine as Take-off in OWC Systems. J Phys Conf Ser 2023, 2648, 012015. [Google Scholar] [CrossRef]
- Saikot, M.M.H.; Rahman, M.; Hosen, M.A.; Ajwad, W.; Jamil, M.F.; Islam, M.Q. Savonius Wind Turbine Performance Comparison with One and Two Porous Deflectors: A CFD Study. Flow Turbul Combust 2023, 111, 1227–1251. [Google Scholar] [CrossRef]
- Aboujaoude, H.; Bogard, F.; Beaumont, F.; Murer, S.; Polidori, G. Aerodynamic Performance Enhancement of an Axisymmetric Deflector Applied to Savonius Wind Turbine Using Novel Transient 3D CFD Simulation Techniques. Energies 2023, Vol. 16, Page 909 2023, 16, 909. [Google Scholar] [CrossRef]
- Udousoro, I.C. Machine Learning:A Review. Semiconductor Science and Information Devices 2020, 2. [Google Scholar] [CrossRef]
- Jordan, M.I.; Mitchell, T.M. Machine Learning: Trends, Perspectives, and Prospects. Science (1979) 2015, 349, 255–260. [Google Scholar] [CrossRef]
- Marquis, P.; Papini, O.; Prade, H. Elements for a History of Artificial Intelligence. In A Guided Tour of Artificial Intelligence Research; Springer International Publishing: Cham, 2020; pp. 1–43. [Google Scholar]
- Muggleton, S. Alan Turing and the Development of Artificial Intelligence. AI Communications 2014, 27, 3–10. [Google Scholar] [CrossRef]
- Géron, A. Hands-On Machine Learning with Scikit-Learn, Keras, and TensorFlow: Concepts, Tools, and Techniques to Build Intelligent Systems; 2nd Edition.; O’Reilly, 2019.
- Mantovani, R.G.; Horvath, T.; Cerri, R.; Vanschoren, J.; de Carvalho, A.C.P.L.F. Hyper-Parameter Tuning of a Decision Tree Induction Algorithm. In Proceedings of the 2016 5th Brazilian Conference on Intelligent Systems (BRACIS); October 2016; pp. 37–42. [Google Scholar]
- Yang, L.; Shami, A. On Hyperparameter Optimization of Machine Learning Algorithms: Theory and Practice. Neurocomputing 2020, 415, 295–316. [Google Scholar] [CrossRef]
- Friedman, J.H. Greedy Function Approximation: A Gradient Boosting Machine. The Annals of Statistics 2001, 29. [Google Scholar] [CrossRef]
























| Parameter | Symbol | Value |
|---|---|---|
| Diameter [mm] | Dturbine | 90 |
| Height [mm] | h | 90 |
| Overlap Ratio | OR | 1/3 |
| Aspect Ratio | AR | 1 |
| Spacing Ratio | SR | 0 |
| Axis diameter [mm] | AD | 10 |
| Axis length [mm] | AL | 60 |
| Weight [kg] | W | 0.635 |
| Configuration number | Number of PA | PA distance | Frequency [Hz] |
|---|---|---|---|
| 1 | 0 | 0 | |
| 2 | 0 | 0.1 | |
| 3 | 0 | 1 | |
| 4 | 1 | D/4 | 0 |
| 5 | 1 | D/8 | 0 |
| 6 | 2 | D/4 | 0 |
| 7 | 2 | D/4 | 0.1 |
| 8 | 2 | D/4 | 1 |
| 9 | 2 | D/8 | 0 |
| 10 | 2 | D/8 | 0.1 |
| 11 | 2 | D/8 | 1 |
| Load [N] | No. PA | PA (Presence/Absence) | Fan Frequency [Hz] | Distance PA – Turbine [mm] | |
|---|---|---|---|---|---|
| 0.0138 – 0.6701 (continuous) |
0, 1, 2(categorical) | 1,0 (categorical) | 0 – 1(continuous) | 0.0117 – 107(continuous) |
| Dataset | No. Instances |
|---|---|
| Total | 1,044 |
| Train/Validation | 944 |
| Test | 100 |
| MSE | RMSE | R2 | MAE | |
|---|---|---|---|---|
| Validation | 2.3773 | 1.5419 | 0.99767 | 1.0226 |
| Test | 1.9539 | 1.3978 | 0.99801 | 0.93791 |
| Hyperparameter | Value |
|---|---|
| Minimum Leaf Size | 8 |
| Maximum No. Split | 943 |
| Minimum Parent Size | 16 |
Disclaimer/Publisher’s Note: The statements, opinions and data contained in all publications are solely those of the individual author(s) and contributor(s) and not of MDPI and/or the editor(s). MDPI and/or the editor(s) disclaim responsibility for any injury to people or property resulting from any ideas, methods, instructions or products referred to in the content. |
© 2024 by the authors. Licensee MDPI, Basel, Switzerland. This article is an open access article distributed under the terms and conditions of the Creative Commons Attribution (CC BY) license (http://creativecommons.org/licenses/by/4.0/).
