Submitted:
10 May 2024
Posted:
10 May 2024
You are already at the latest version
Abstract
Keywords:
1. Introduction
2. Models and Methods
2.1. Dynamic Model of Gliding Ballistic
2.2. Model of Major Uncertainties
2.2.1. Aerodynamic Parameter Deviation
2.2.2. Meteorological Environment Deviation
2.2.3. State Deviations at the Control-Start Point
2.3. Uncertainty Propagation of the Gliding Trajectory
2.3.1. Transformation of the Stochastic Dynamic Model
2.3.2. Truncation of Chaotic Polynomial Basis
2.4. Robust Planning Model of Gliding Trajectories
2.4.1. Open-Loop Robust Planning
- Planning expectation
- 2.
- Dynamics model
- 3.
- Constraints
- Boundary constraints
- Path constraints
- 4.
- Objective function
2.4.2. Closed-Loop Robust Planning
- Planning expectation
- 2.
- Closed-loop guidance based on PID control
- 3.
- Dynamic model and constraints
- 4.
- Objective function
2.4.3. Flow of Robust Gliding Trajectory Planning
3. Simulation Results and Analysis
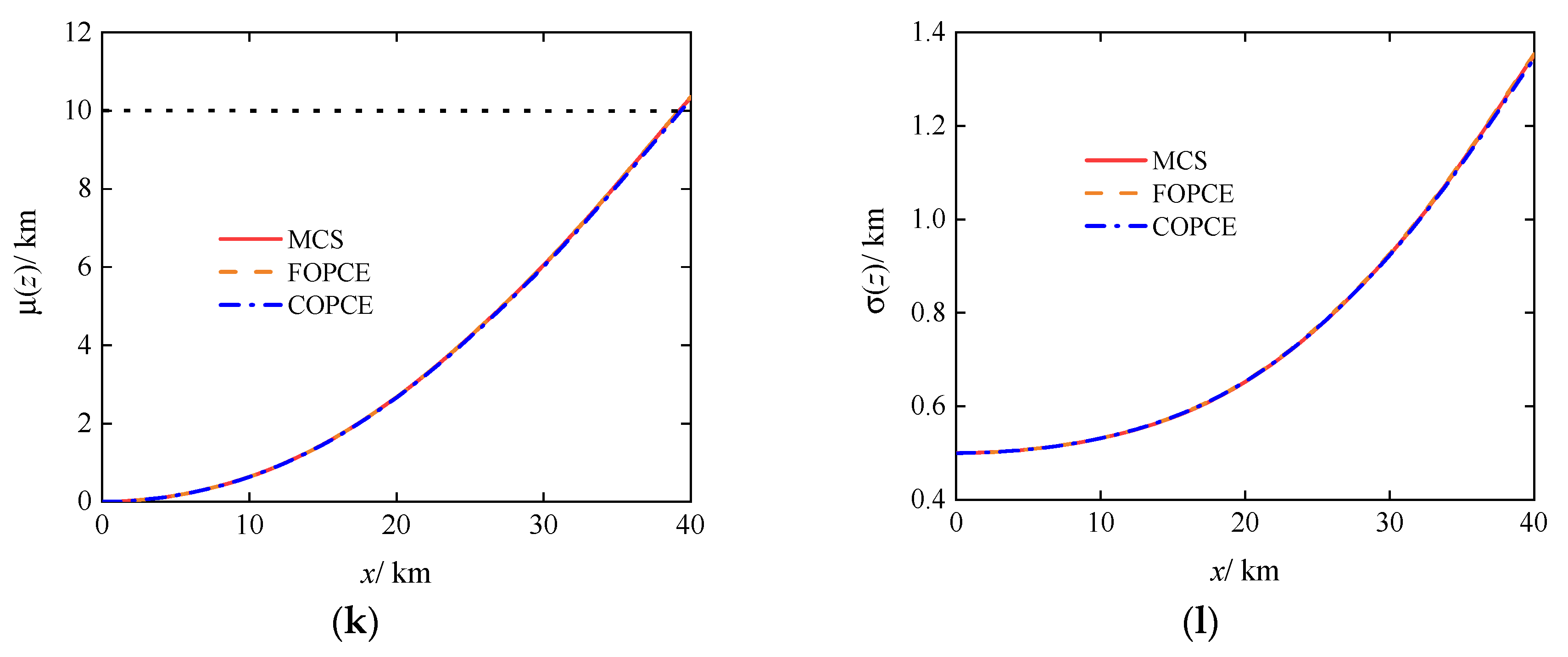
3.1. Uncertainty Propagation of Gliding Trajectory under Specified Control Commands
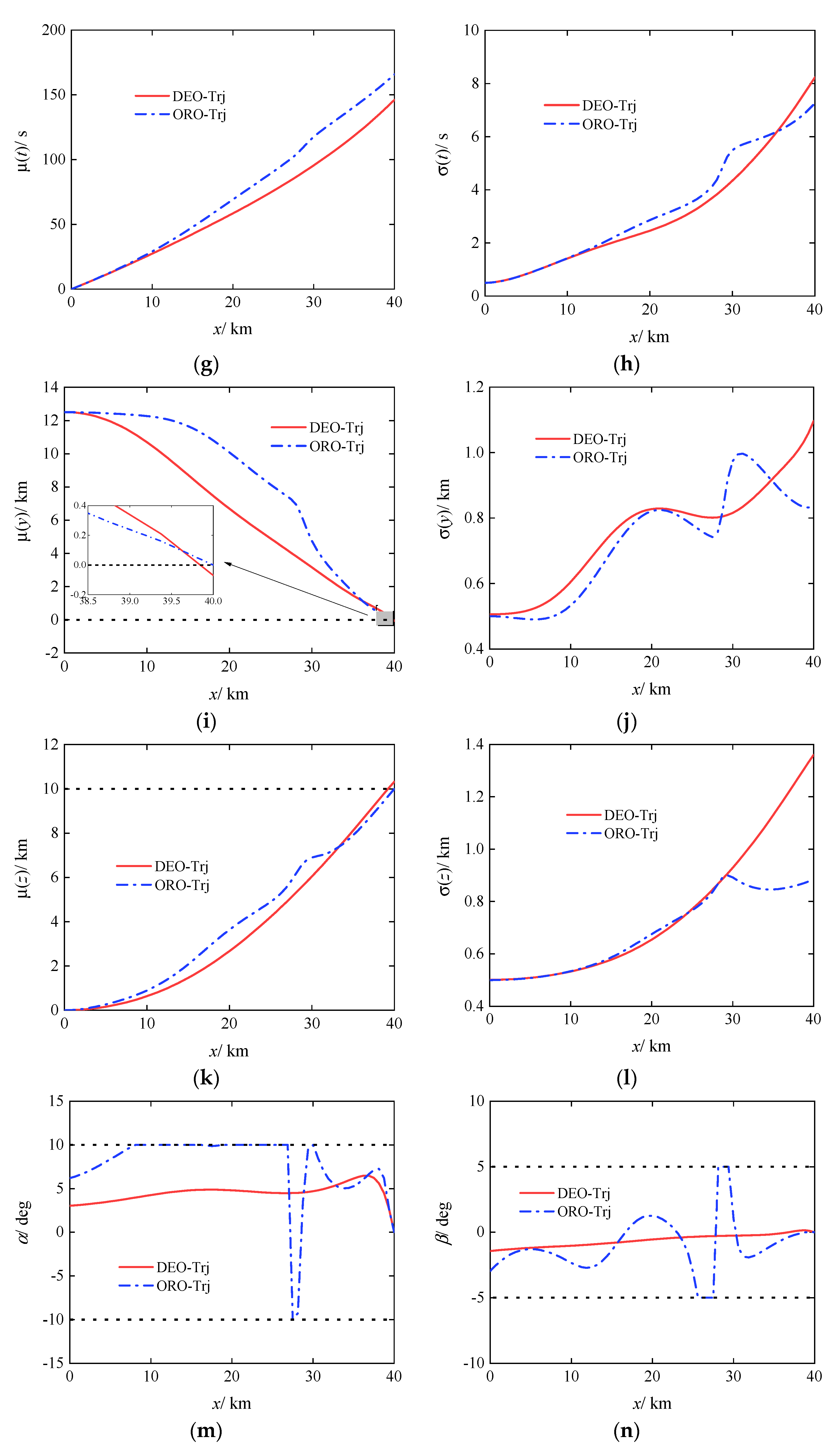
3.2. Open-Loop Robust Planning
3.3. Closed-Loop Robust Planning
4. Conclusions
- When quantifying uncertainty propagation, compared to the traditional MCS method, the NIPCE-based method in this paper significantly enhances computational efficiency while ensuring accuracy. On the MATLAB simulation platform, FOPCE under single-core computation reduces the time by 79.5% compared to MCS under multi-core parallel computation. By removing unnecessary high-order cross terms using the basis truncation strategy, COPCE reduces the problem size by 83.3% and decreases computation time by 84.2%, facilitating robust planning.
- Open-loop robust planning can effectively reduce the sensitivity of gliding projectile trajectories to uncertainties. However, due to the limited control capability of the gliding projectile and the lack of closed-loop feedback from a guidance control system, even with minimized objective function, open-loop robust planning cannot eliminate terminal dispersion. Increasing curvature in the middle section of the trajectory improves the robustness of the planned trajectory but consumes additional control effort. Blindly pursuing robust optimality can lead to projectile control saturation, which is detrimental to the compatibility between the planned trajectory and the guidance control system.
- For gliding-guided projectiles, a trade-off between robust optimality and control effort optimality is necessary. Closed-loop robust planning considers the impact of uncertainties and the coupling between the planned trajectory and the guidance control system. It enhances trajectory robustness while effectively reducing control effort consumption.
- Within a reasonable deviation range, based on the PID controller designed in this paper, the closed-loop guidance law is most sensitive to changes in projectile velocity at the control-start point. To achieve optimal trajectory tracking, the projectile velocity at the control-start point should not be lower than the design value and should not deviate significantly from it.
Author Contributions
Funding
Data Availability Statement
Conflicts of Interest
References
- Wang, Z.; Shi, J.; Chang, S.; Wang, X.; Chen, Q. Modern external ballistics. China Science Publishing & Media Ltd.(CSPM), Beijing, China, 2024.
- Chen, Q.; Wang, Z.; Chang, S.; Shu, J. Optimal trajectory design under uncertainty for a gliding guided projectile. Acta Aeronautica et Astronautica Sinica. 2014, 35, 2593–2604. [Google Scholar]
- Shi, J.; Wang, Z.; Yi, W. A study on the project trajectory characteristics of gliding extended range projectile. Journal of Ballistics. 2003, 15, 51–54. [Google Scholar]
- Yi, W.; Wang, Z.; Li, Y.; Zhou, W. Research on ballistic trajectory of gliding extended range projectile with canard configuration in fight. Journal of Projectiles, Rockets, Missiles and Guidance. 2007, 27, 150–153. [Google Scholar]
- Chen, Q. Investigation on trajectory optimization and guidance and control scheme for a type of gliding guided projectiles. PhD Dissertation, of University of Science and Technology, Nanjing, China, 2017. [Google Scholar]
- Xu, Q. Trajectory optimization and design of active-disturbance-rejection control system for gliding guided projectiles. PhD Dissertation, of University of Science and Technology, Nanjing, China, 2018. [Google Scholar]
- Yan, S.; Zhang, L.; Dong, S.; Wang, J. Cruise missile path planning based on ACO algorithm and Bezier curve optimization. Journal of System Simulation, 2020, 32, 122–129. [Google Scholar]
- He, Y.; Qu, K.; Xia, X. Simulation Verification of Cruise Missile Route Planning Based on Swarm Intelligence Algorithm. In Asian Simulation Conference, Jeju, Korea, 8-, pp. 549–560. 11 December.
- Liu, C.; Zhang, C.; Xiong, F.; Wang, J. Multi-stage trajectory planning of dual-pulse missiles considering range safety based on sequential convex planning and artificial neural network. Proceedings of the Institution of Mechanical Engineers, Part G. Journal of Aerospace Engineering, 2023, 237, 1449–1463. [Google Scholar] [CrossRef]
- Pinon, N.; Strub, G.; Changey, S.; Basset, M. Task allocation and path planning for collaborative swarm guidance in support of artillery mission. In Proceedings of the 2022 International Conference on Unmanned Aircraft Systems (ICUAS), Dubrovnik, Croatia, 21-24 June 2022; pp. 1006–1015. [Google Scholar]
- Liu, G.; An, Z.; Lao, S.; Li, W. Firepower distribution method of anti-ship missile based on coupled path planning. Journal of Systems Engineering and Electronics, 2022, 33, 1010–1024. [Google Scholar] [CrossRef]
- Ma, X.; Yin, W.; Gao, Z.; Hu, W. Multi-missile Path Planning algorithm based on Reinforcement Learning. In Proceedings of the 2023 15th International Conference on Machine Learning and Computing, Zhuhai, China, 17-20 February 2023; pp. 19–24. [Google Scholar]
- Ozdemir, M.R.; Cevher, L.; Ertekin, S. AI-based air-to-surface mission planning using predictive launch acceptability region approach. In 2021 International Conference on Military Technologies (ICMT), Brno, Czech Republic, 08-, pp. 1–8. 11 June.
- Xiong, F.; Li, Z.; Liu, Y.; Xiahou, T. A review of characterization methods for parameter uncertainty in engineering design based on numerical simulation. Acta Aeronautica et Astronautica Sinica, 2023, 44, 86–117. [Google Scholar]
- Christensen, R.S.; Droge, G.; Leishman, R.C. Closed-loop linear covariance framework for path planning in static uncertain obstacle fields. Journal of Guidance, Control, and Dynamics, 2022, 45, 669–683. [Google Scholar] [CrossRef]
- Berning, A.W.; Girard, A.; Kolmanovsky, I.; D'Souza, S.N. Rapid uncertainty propagation and chance-constrained path planning for small unmanned aerial vehicles. Advanced Control for Applications: Engineering and Industrial Systems, 2020, 2, e23. [Google Scholar] [CrossRef]
- Saunders, B.R. Optimal trajectory design under uncertainty. PhD Dissertation of Massachusetts Institute of Technology.
- Wang, L.; Yang, G. An interval uncertainty propagation method using polynomial chaos expansion and its application in complicated multibody dynamic systems. Nonlinear dynamics, 2021, 105, 837–858. [Google Scholar] [CrossRef]
- Ren, C.; Xiong, F.; Mo, B.; Chawdhury, A.; Wang, F. Design sensitivity analysis with polynomial chaos for robust optimization. Structural and Multidisciplinary Optimization, 2021, 63, 357–373. [Google Scholar] [CrossRef]
- Peng, H.; Zhao, H.; Wang, X.; Li, Y. Robust motion trajectory optimization of overhead cranes based on polynomial chaos expansion. ISA transactions, 2021, 110, 71–85. [Google Scholar] [CrossRef] [PubMed]
- Son, J.; Du, Y. Comparison of intrusive and nonintrusive polynomial chaos expansion-based approaches for high dimensional parametric uncertainty quantification and propagation. Computers and Chemical Engineering, 2020, 134, 106685. [Google Scholar] [CrossRef]
- Wang, F.; Yang, S.; Xiong, F.; Lin, Q.; Song, J. Robust trajectory optimization using polynomial chaos and convex optimization. Aerospace Science and Technology, 2019, 92, 314–325. [Google Scholar] [CrossRef]
- Yuan, H.; Li, D.; He, G.; Wang, J. Uncertainty-resilient constrained rendezvous trajectory optimization via stochastic feedback control and unscented transformation. Acta Astronautica, 2024, 219, 264–277. [Google Scholar] [CrossRef]
- Papaioannou, S.; Kolios, P.; Theocharides, T.; Panayiotou, C.G.; Polycarpou, M.M. Unscented optimal control for 3D coverage planning with an autonomous UAV agent. In 2023 International Conference on Unmanned Aircraft Systems (ICUAS), Warsaw, Poland, 06-, pp. 703–712. 09 June.
- Hesse, M.; Timmermann, J.; Trächtlery, A. Hybrid optimal control for dynamical systems using Gaussian process regression and unscented transform. In Proceedings of the 2023 European Control Conference (ECC), Bucharest, Romania, 13-16 June 2023; pp. 1–8. [Google Scholar]
- Hematulin, W.; Kamsing, P.; Torteeka, P.; Somjit, T.; Phisannupawong, T.; Jarawan, T. Trajectory planning for multiple UAVs and hierarchical collision avoidance based on nonlinear Kalman filters. Drones, 2023, 7, 142. [Google Scholar] [CrossRef]
- Ozaki, N.; Campagnola, S.; Funase, R. Tube stochastic optimal control for nonlinear constrained trajectory optimization problems. Journal of Guidance, Control, and Dynamics, 2020, 43, 645–655. [Google Scholar] [CrossRef]
- Yin, Q.; Chen, Q.; Wang, Z.; Wang, Q. Rapid trajectory planning for gliding-guided projectiles in single-gun multi-shot scenarios considering time and space cooperation. Acta Armamentarii, 2024, 45, 798–809. [Google Scholar]
- Yin, Q.; Chen, Q.; Wang, Z.; Wang, Q. Trajectory planning method of gliding-guided projectiles for penetration. Journal of Beijing University of Aeronautics and Astronautics, 2023. Available online: https://bhxb.buaa.edu.cn/bhzk/cn/article/doi/10.13700/j.bh.1001-5965.2023.0049 (accessed on 26 June 2023).
- Xiong, F.; Chen, W.; Xiong, Y.; Yang, S. Weighted stochastic response surface method considering sample weights. Structural and Multidisciplinary Optimization, 2011, 43, 837–849. [Google Scholar] [CrossRef]
- Xiong, F.; Wang, R.; Wu, X.; Chen, J.; Ren, C. Uncertainty Quantification Methods and Applications; China Science Publishing & Media Ltd.(CSPM): Beijing, China, 2023. [Google Scholar]








| Parameter | Value | Parameter | Value | Parameter | Value |
| 44.5 | 0.4 | 10 | |||
| 0.0133 | 12 | 5 | |||
| (40,0,10) | 35 | 200 |
| Parameter | Value | Parameter | Value | Parameter | Value |
| 0.0167 | 0.0167 | 0.0167 | |||
| 400 | 0 | 0 | |||
| 20 | 2 | 1 | |||
| 0 | 12.5 | 0 | |||
| 0.5 | 0.5 | 0.5 |
| Uncertainty Quantification Method | Calculation time / s |
| MCS | 45.69 |
| Parallel MCS | 7.14 |
| FOPCE | 1.46 |
| COPCE | 0.23 |
| Scenario | ||||
| 1 | 0 | 0.9568 | 1.2306 | 1.2306 |
| 2 | 1 | 0.7844 | 1.4558 | 2.2402 |
| 3 | 5 | 0.5557 | 1.7715 | 4.5499 |
| Condition | Scenario 1 | Scenario 2 | Scenario 3 |
| 1 | ✓ | ✓ | △ |
| 2 | ✓ | ✓ | ✓ |
| 3 | × | × | × |
| 4 | ✓ | △ | × |
Disclaimer/Publisher’s Note: The statements, opinions and data contained in all publications are solely those of the individual author(s) and contributor(s) and not of MDPI and/or the editor(s). MDPI and/or the editor(s) disclaim responsibility for any injury to people or property resulting from any ideas, methods, instructions or products referred to in the content. |
© 2024 by the authors. Licensee MDPI, Basel, Switzerland. This article is an open access article distributed under the terms and conditions of the Creative Commons Attribution (CC BY) license (http://creativecommons.org/licenses/by/4.0/).
