Submitted:
08 May 2024
Posted:
10 May 2024
Read the latest preprint version here
Abstract
Keywords:
1. Introduction
2. Methods
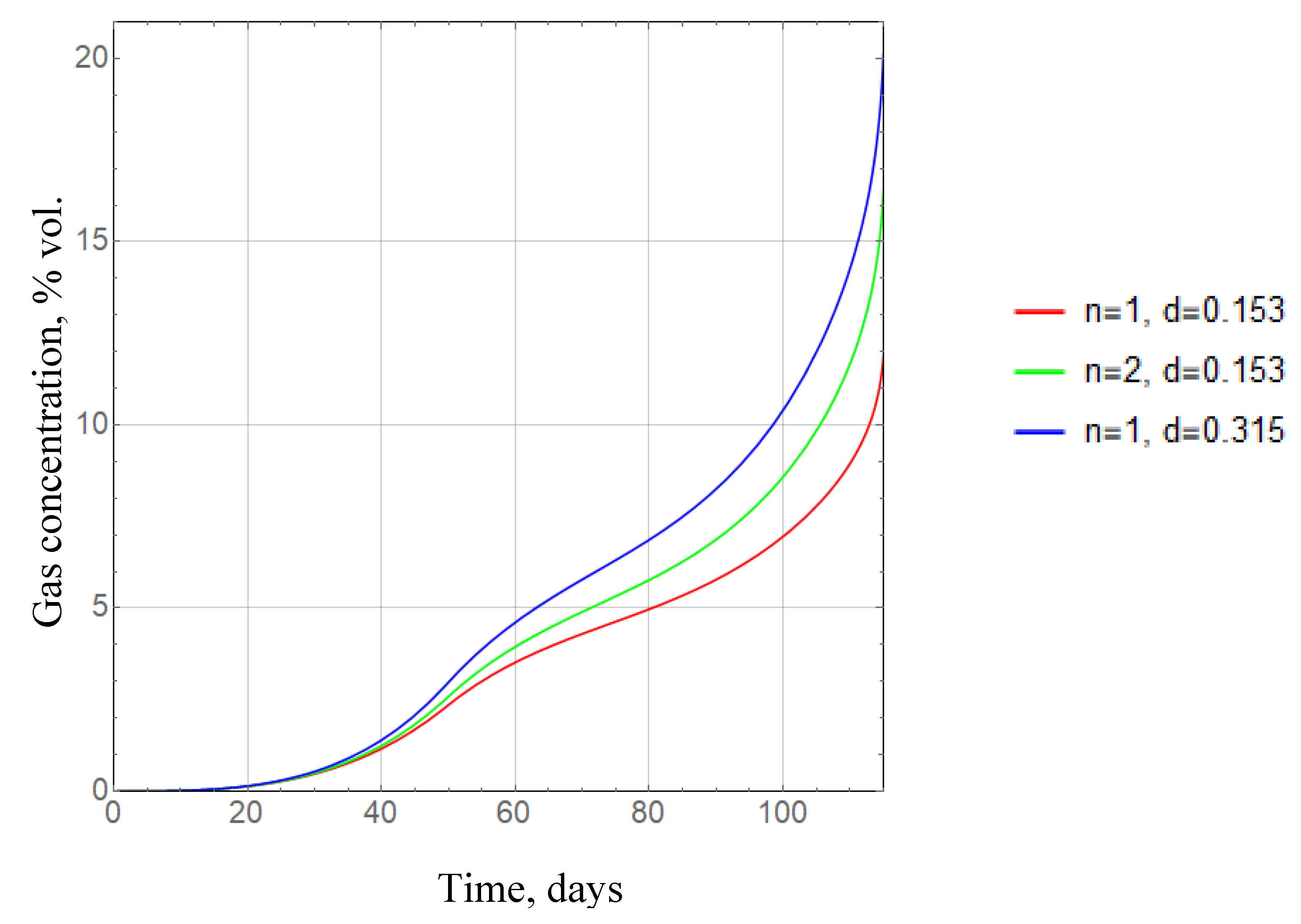
- One pipeline with a diameter of d = 0.153 m.
- One pipeline with a diameter of d = 0.315 m.
- Two pipelines with a diameter of d = 0.153 m.
3. Results and Discussion
4. Conclusion
Funding
References
- Baryah, A.; Evseev, A. Closure of potash and salt mines: Review and analysis of the problem. Min. informational Anal. Bull. 2019, 9. [Google Scholar] [CrossRef]
- Laptev, B.V. Historiography of accidents during the development of salt deposits. Occupational Safety in Industry 2011, 41–46. [Google Scholar]
- Laptev, B.V.; Kozachenko, M.G. On the problems of developing the Iletsk rock salt deposit. Occupational Safety in Industry 2004, 53–54. [Google Scholar]
- Cocker, M.D.; Orris, G.J. World potash developments. In 48th Annual Forum on the Geology of Industrial Minerals Arizona Geological Survey. Scottsdale. 2012.
- Whyatt, J.; Varley, F. Catastrophic failures of underground evaporite mines. In Proceedings of the 27th international conference on ground control in mining (Vol. 2008, p. 113); College of Engineering and Mineral Resources, West Virginia University: Morgantown, West Virginia, 2008. [Google Scholar]
- Prugger, F.F.; Prugger, A.F. Water problems in Saskatchewan potash mining–what can be learned from them. CIM bulletin 1991, 84, 58–66. [Google Scholar]
- Gendzwill, D.; Martin, N. Flooding and loss of the Patience Lake potash mine. CIM bulletin 1996, 89, 62–73. [Google Scholar]
- Wittrup, M.B. The origin of water leaks in Saskatchewan potash mines. Doctoral dissertation, University of Saskatchewan, 1988. [Google Scholar]
- Malovichko, D.A.; Dyagilev, R.; Shulakov, D.Y.; Butyrin, P.; Glebov, S.V. Seismic monitoring of large-scale karst processes in a potash mine. Controlling seismic hazard and sustainable development of deep mines 2009, 2, 989–1002. [Google Scholar]
- Baryakh, A.A.; Devyatkov, S.Y.; Samodelkina, N.A. Theoretical explanation of conditions for sinkholes after emergency flooding of potash mines. J. Min. Sci. 2016, 52, 36–45. [Google Scholar] [CrossRef]
- Kulikova, A.; Ovchinnikova, T. On the issue of reducing geoecological risks at mining enterprises. Min. informational Anal. Bull. 2021. [Google Scholar] [CrossRef]
- Zubov, V.P.; Smychnik, A.D. The concept of reducing the risks of potash mines flooding caused by groundwater inrush into excavations. Journal of Mining Institute 2015, 215, 29–37. [Google Scholar]
- Ushakova, E.; Perevoshchikova, A.; Menshikova, E.; Khayrulina, E.; Perevoshchikov, R.; Belkin, P. Environmental Aspects of Potash Mining: A Case Study of the Verkhnekamskoe Potash Deposit. Mining 2023, 3, 176–204. [Google Scholar] [CrossRef]
- Besnard, K.; Pokryszka, Z. Gases emission monitoring in a post-mining context. In Symposium Post mining 2005 (p. NC).
- Vysotskaya, N.A.; Piskun, E.V. The Main Factors of Adverse Environmental Impact of Potash Production and Methods of Environmental Protection. Min. Sci. Technol. 2020, 4, 172–180. [Google Scholar] [CrossRef]
- Ponomarenko, T. Ecological, economic and social consequences of emergencies on potash mines. Management Systems in Production Engineering 2012, 28. [Google Scholar]
- Katta, A.K.; Davis, M.; Kumar, A. Assessment of greenhouse gas mitigation options for the iron, gold, and potash mining sectors. J. Clean. Prod. 2020, 245, 118718. [Google Scholar] [CrossRef]
- Zimmer, M.; Strauch, B.; Zirkler, A.; Niedermann, S.; Vieth-Hillebrand, A. Origin and Evolution of Gas in Salt Beds of a Potash Mine. Adv. Geosci. 2020, 54, 15–21. [Google Scholar] [CrossRef]
- Andreyko, S.S.; Ivanov, O.V.; Nesterov, E.A.; Golovatiy, I.I.; Beresnev, S.P. Research of salt rocks gas content of III potash layer in the Krasnoslobodsky mine field. Gorn. Zhurnal 2013, 6, 69–73. [Google Scholar]
- Papulov, A.S.; Andreyko, S.S.; Ivanov, O.V. Influence of oil structures on the component composition of free gases of potash reservoirs at the BPPU-4 mine field of PJSC “Uralkali”. IOP Conf. Series: Earth Environ. Sci. 2022, 1021. [Google Scholar] [CrossRef]
- Baryakh, A.A.; Andreiko, S.S.; Fedoseev, A.K. Gas-dynamic roof fall during the potash deposits development. J. Min. Inst. 2020, 246, 601–609. [Google Scholar] [CrossRef]
- Zemskov, A.N.; Kondrashev, P.I.; Travnikova, L.G. (2008). Natural gases of potash deposits and measures to combat them. Perm; 2008. 414 p.
- Kolesov, E.; Ras, G.U.; Shalimov, A.; Semin, M. Development of the Activities for Explosive Gases Removal from the Worked-out Area in Case of Potash Mine Flooding. Occup. Saf. Ind. 2019. [Google Scholar] [CrossRef]
- Mokhirev, N.N.; Radko, V.V. Engineering computation of mine ventilation. Construction. Reconstruction. Exploitation; Nedra-Bisnestsentr: Moscow, 2007; p. 324. [Google Scholar]
- Andreyko, S.S.; Ivanov, O.V.; Nekrasov, S.V. Formation of gas accumulations in the goaf of seam “B” during flooding of the BKPRU-1 mine. Gornoe echo 2007, 43–46. [Google Scholar]
- Andreyko, S.S.; Ivanov, O.V. Assessment of the possibility of forming accumulations of free gases in the goaf of the carnallite seam "B" during flooding of the BKPRU-1 mine of OJSC "Uralkali". Gornaya mechanika 2009, 12–17. [Google Scholar]
- Potapov, A.A. Regional groundwater flow numerical model southern Verkhnekamskoye deposit of potassium-magnesium salts. Vestnik St. Petersburg Univ. Earth Sci. 2016, 61, 4–23. [Google Scholar] [CrossRef]










| Parameter | Scenario 1 | Scenario 2 |
|---|---|---|
| Worked-out area degassing time | 654 days | 115 days |
| Maximum gas concentration in worked-out area (in terms of equivalent methane) | 26.3 –27.0 – 27.2 % vol. | 11.9 – 16.4 – 20.1 % vol. |
| The maximum gas-air flow rate emanating from the pipeline | 0.088 – 0.085 – 0.084 m3/s | 1.1 – 0.6 – 0.5 m3/s |
| The required amount of fresh air in the main return airways to dilute combustible gases concentration below the threshold limit value | 4.64 -4.62 – 4.61 m3/s | 20.0 – 21.1 – 26.0 m3/s |
Disclaimer/Publisher’s Note: The statements, opinions and data contained in all publications are solely those of the individual author(s) and contributor(s) and not of MDPI and/or the editor(s). MDPI and/or the editor(s) disclaim responsibility for any injury to people or property resulting from any ideas, methods, instructions or products referred to in the content. |
© 2024 by the authors. Licensee MDPI, Basel, Switzerland. This article is an open access article distributed under the terms and conditions of the Creative Commons Attribution (CC BY) license (http://creativecommons.org/licenses/by/4.0/).