Submitted:
08 May 2024
Posted:
09 May 2024
You are already at the latest version
Abstract
Keywords:
1. Introduction
2. Model Description
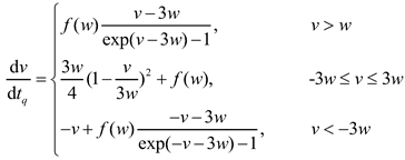
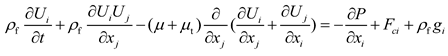
2.1. Electrostatic Precipitation Model
2.2. Filtration Model
2.3. Model Validation
3. Case Setup and Parameters
4. Results and Discussion
5. Conclusion
Acknowledgments
References
- China’s National statistical bulletin, 2010.
- Zhang Chengfeng, Yao Qiang, Sun Junming. Characteristics of particulate matter from emissions of four typical coal-fired power plants in China. Fuel Processing Technology, 2005, 86: 757-768.
- Dockery, D.W.; Pope, C.A. Acute Respiratory Effects of Particulate Air Pollution. Annu. Rev. Public Health 1994, 15, 107–132. [Google Scholar] [CrossRef]
- Hinds W, C. Aerosol Technology: Properties, Behavior, and Measurement of Airborne Particles. Wiley, New York, 1999.
- Yi, H.; Guo, X.; Hao, J.; Duan, L.; Li, X. Characteristics of Inhalable Particulate Matter Concentration and Size Distribution from Power Plants in China. J. Air Waste Manag. Assoc. 2006, 56, 1243–1251. [Google Scholar] [CrossRef] [PubMed]
- Yi, H.; Hao, J.; Duan, L.; Tang, X.; Ning, P.; Li, X. Fine particle and trace element emissions from an anthracite coal-fired power plant equipped with a bag-house in China. Fuel 2008, 87, 2050–2057. [Google Scholar] [CrossRef]
- HUANG Wei, LIN Hong, ZHENG Kuizhao. The R&D and Application of Electrostatic-Fabric Organic Integrated Precipitator in China. The 11th International Conference on Electrostatic Precipitation, Hangzhou, China, 2008, pp. 464-467.
- Feng, Z.; Pan, W.; Zhang, H.; Cheng, X.; Long, Z.; Mo, J. Evaluation of the performance of an electrostatic enhanced air filter (EEAF) by a numerical method. Powder Technol. 2018, 327, 201–214. [Google Scholar] [CrossRef]
- Feng, Z.; Pan, W.; Wang, Y.; Long, Z. Modeling filtration performance of pleated fibrous filters by Eulerian-Markov method. Powder Technol. 2018, 340, 502–510. [Google Scholar] [CrossRef]
- Feng, Z.; Yang, J.; Zhang, J. Numerical optimization on newly developed electrostatic enhanced pleated air filters for efficient removal of airborne ultra-fine particles: Towards sustainable urban and built environment. Sustain. Cities Soc. 2019, 54, 102001. [Google Scholar] [CrossRef]
- Jiang, Y.; Yan, X. Numerical investigation of the performance of electrostatic precipitators with wet rope array as collection electrodes. Powder Technol. 2020, 366, 337–347. [Google Scholar] [CrossRef]
- Zhuang, Y, Stanley. J. Miller. Advance Hybrid Particulate Collector final topic report for phase III, 2001.
- McDonald, J.R.; Smith, W.B.; Iii, H.W.S.; Sparks, L.E. A mathematical model for calculating electrical conditions in wire-duct electrostatic precipitation devices. J. Appl. Phys. 1977, 48, 2231–2243. [Google Scholar] [CrossRef]
- Launder, B.E.; Spalding, D.B. The numerical computation of turbulent flows. Comput. Methods Appl. Mech. Eng. 1974, 3, 269–289. [Google Scholar] [CrossRef]
- Long, Z.; Yao, Q. Numerical simulation of the flow and the collection mechanism inside a scale hybrid particulate collector. Powder Technol. 2012, 215-216, 26–37. [Google Scholar] [CrossRef]
- Long Zhengwei, Yao Qiang, Song Qiang, Li Shuiqing. A second-order accurate finite volume method for computation of electrical conditions inside the wire-plate electrostatic precipitator on unstructured meshes. Journal of Electrostatics, 67 (4) 597-604, 2009.
- Fluent Inc. Fluent 6.0 user guide, 2001.
- Crowe, C.T.; Schwarzkopf, J.D.; Sommerfeld, M.; Tsuji, Y. Multiphase Flows with Droplets and Particles; CRC Press: Boca Raton, FL, USA, 2011. [Google Scholar]
- Morsi, S.A.; Alexander, A.J. An investigation of particle trajectories in two-phase flow systems. J. Fluid Mech. 1972, 55, 193–208. [Google Scholar] [CrossRef]
- Lawless, P.A. Particle charging bounds, symmetry relations and an analytic charging rate model for the continuum regime. J. Aerosol Sci., 1996, 27(2), 191–215.
- Neiva A, Leonardoa J. A procedure for calculating pressure drop during the build-up of dust filter cakes. Chemical Engineering and Processing, 2003, 42(6):495-501.
- Thomas, D.; Penicot, P.; Contal, P.; Leclerc, D.; Vendel, J. Clogging of fibrous filters by solid aerosol particles Experimental and modelling study. Chem. Eng. Sci. 2001, 56, 3549–3561. [Google Scholar] [CrossRef]
- Kihm, K. D. (1987). Effects of Nonuniformities on Particle Transport in Electrostatic Precipitators. Ph.D. dissertation, Department of Mechanical Engineering, Stanford University, Stanford, CA.
- Cooperman, G. A New Current-Voltage Relation for Duct Precipitators Valid for Low and High Current Densities. IEEE Trans. Ind. Appl. -17. [CrossRef]
- J. Böhm, Electrostatic Precipitators. Amsterdam: Elsevier Sci. Pub. Company, 1982.








Disclaimer/Publisher’s Note: The statements, opinions and data contained in all publications are solely those of the individual author(s) and contributor(s) and not of MDPI and/or the editor(s). MDPI and/or the editor(s) disclaim responsibility for any injury to people or property resulting from any ideas, methods, instructions or products referred to in the content. |
© 2024 by the authors. Licensee MDPI, Basel, Switzerland. This article is an open access article distributed under the terms and conditions of the Creative Commons Attribution (CC BY) license (https://creativecommons.org/licenses/by/4.0/).