Submitted:
07 May 2024
Posted:
08 May 2024
You are already at the latest version
Abstract
Keywords:
1. Introduction
2. Materials and Methods
2.1. Numerical Method and Governing Equations
2.2. Grid Partitioning and Irrelevance Analysis
3. Results
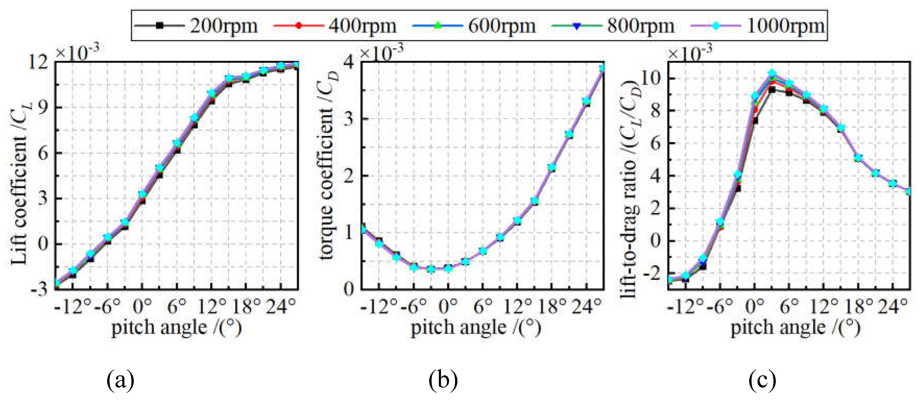
3.1. Aerodynamic Characteristics Analysis
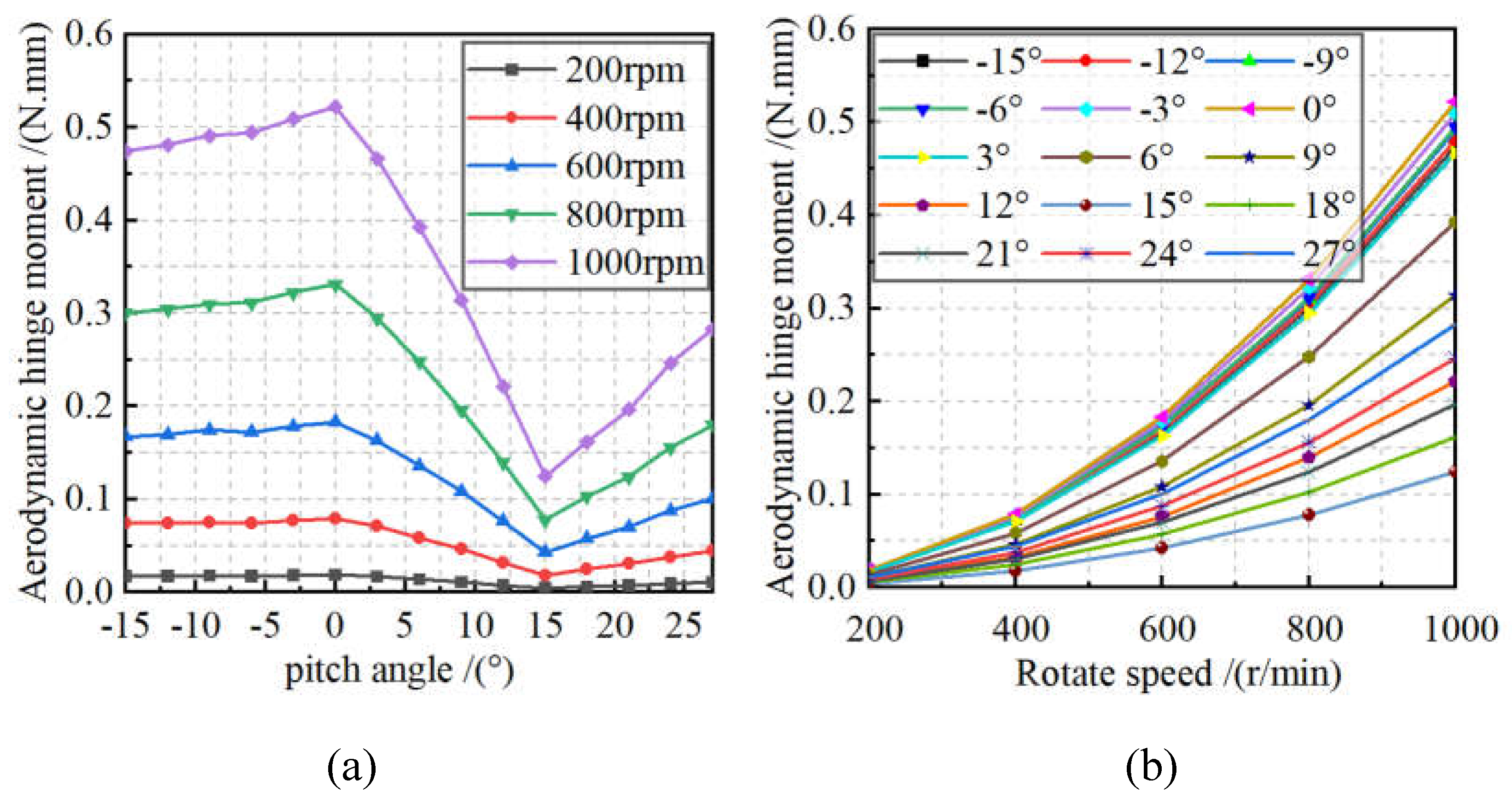
3.2. Analysis of Aerodynamic Hinge Moment Characteristics
3.2. Quantitative Representation of Wing Profile Pressure
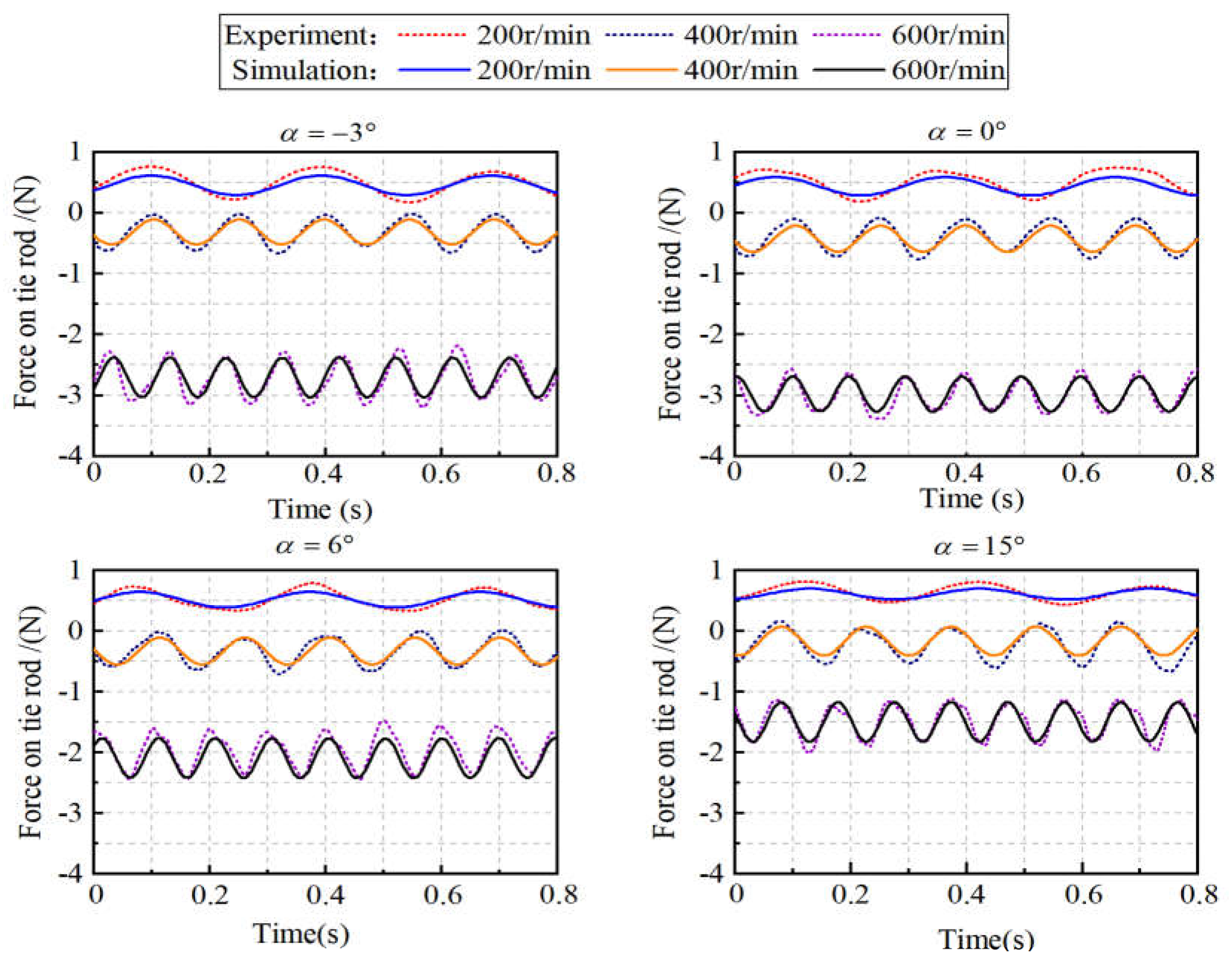
4. Experiment and Discussion
4.1. Aerodynamic Hinge Moment Test Principle
4.2. Earth/Mars Environment Test Comparison
4.2.1. Earth Environment Test Testing
4.2.2. Simulated Martian Environment Test Testing
4.3. Aerodynamic Hinge Moment Testing Analysis
5. Conclusions
- (1)
- The aerodynamic hinge moment gradually increases with the increase in rotor speed, but exhibits a significant nonlinear relationship with the pitch angle: When the pitch angle is 0°, the aerodynamic hinge moment reaches its maximum value; when the pitch angle is 15°, the aerodynamic hinge moment reaches its minimum value; furthermore, pitch angles of 0° and 15° differentiate the variation pattern of the aerodynamic hinge moment into three linear change curves.
- (2)
- The results of quantitative characterization methods indicate that the variation curve of blade pressure with pitch angle is consistent with the trend of aerodynamic hinge moment variation with pitch angle. Additionally, when the rotor exhibits a pitching-down phenomenon, a stagnation point high-pressure zone forms at the leading edge of the upper surface of the airfoil; whereas, when pitching up, a stagnation point high-pressure zone forms at the leading edge of the lower surface of the airfoil.
- (3)
- When the pitch angle gradually changes from -9° to 27°, the vortices on the upper surface of the airfoil gradually move forward towards the leading edge from positions closer to the trailing edge. Their intensity initially weakens and then strengthens. Meanwhile, the vortices on the lower surface of the airfoil remain in place but gradually weaken, disappearing at a pitch angle of 0°, and the front part of the lower surface of the airfoil gradually changes from a low-pressure zone to a high-pressure zone.
- (4)
- Under Earth's conditions, the lift error is less than 8.54%, the torque error is less than 7.21%, and the aerodynamic hinge moment error is controlled within 24.90%. Under Martian conditions, the lift error is not greater than 11.62%, and the torque error is not greater than 8.49%. This confirms that the CFD simulation model is equally effective under Martian and Earth conditions, validating the proposed research method's effectiveness in predicting the aerodynamic hinge moment under different pitch angles and rotor speeds.
Author Contributions
Funding
Data Availability Statement
Acknowledgments
Conflicts of Interest
References
- Yang, M.; Zhang, Y.; Ni, Y.; et al. Progress and Prospect in Planetary Exploration of Solar System. Chinese Space Scienceand Technology. 2023, 43, 1–12. [Google Scholar] [CrossRef]
- Yu, D.; Sun, Z.; Meng, L.; et al. The Development Process and Prospects for Mars Exploration. Journal of Deep Space Exploration. 2016, 3, 108–113. [Google Scholar] [CrossRef]
- Mars Science Goals, Objectives,. 2020.
- Hall, J.; Pauken, M.; Kerzhanovich, V.; Walsh, G.; Fairbrother, D.; Shreves, C.; Lachenmeier, T. Flight Test Results for Aerially Deployed Mars Balloons. In AIAA Balloon Systems Conference; American Institute of Aeronautics and Astronautics.
- Braun, R.D.; Wright, H.S.; Croom, M.A.; Levine, J.S.; Spencer, D.A. Design of the ARES Mars Airplane and Mission Architecture. J. Spacecr. Rockets 2006, 43, 1026–1034. [Google Scholar] [CrossRef]
- Verstraete, D.; Palmer, J.L.; Hornung, M. Preliminary Sizing Correlations for Fixed-Wing Unmanned Aerial Vehicle Characteristics. J. Aircr. 2018, 55, 715–726. [Google Scholar] [CrossRef]
- Fujita, K.; Oyama, A.; Kubo, D.; Kanazaki, M.; Nagai, H. Wind Tunnel Test for Videogrammetric Deformation Measurement of UAV for Mars Airplane Balloon Experiment-1 (MABE-1). J. Flow Control Meas. Amp Vis. 2019, 07, 87–100. [Google Scholar] [CrossRef]
- Withrow, S.; Johnson, W.; Young, L.A.; Cummings, H.; Balaram, J.; Tzanetos, T. An Advanced Mars Helicopter Design. In ASCEND 2020; American Institute of Aeronautics and Astronautics.
- Zhu, K.; Quan, Q.; Wang, K.; Tang, D.; Tang, B.; Dong, Y.; Wu, Q.; Deng, Z. Conceptual Design and Aerodynamic Analysis of a Mars Octocopter for Sample Collection. Acta Astronaut. 2023, 207, 10–23. [Google Scholar] [CrossRef]
- Shrestha, R.; Benedict, M.; Hrishikeshavan, V.; Chopra, I. Hover Performance of a Small-Scale Helicopter Rotor for Flying on Mars. J. Aircr. 2016, 53, 1160–1167. [Google Scholar] [CrossRef]
- Bar-Cohen, Y.; Colozza, A.; Badescu, M.; Sherrit, S.; Bao, X. Biomimetic Flying Swarm of Entomopters for Mars Extreme Terrain Science Investigations. 2012, 1679, 4075.
- Patel, A.; Karlsson, S.; Lindqvist, B.; Kanellakis, C.; Agha-Mohammadi, A.-A.; Nikolakopoulos, G. Towards Energy Efficient Autonomous Exploration of Mars Lava Tube with a Martian Coaxial Quadrotor. Adv. Space Res. 2023, 71, 3837–3854. [Google Scholar] [CrossRef]
- Folsom, L.; Ono, M.; Otsu, K.; Park, H. Scalable Information-Theoretic Path Planning for a Rover-Helicopter Team in Uncertain Environments. Int. J. Adv. Robot. Syst. 2021, 18, 1729881421999587. [Google Scholar] [CrossRef]
- Grip, H.F.; Johnson, W.; Malpica, C.; Scharf, D.P.; Mandić, M.; Young, L.; Allan, B.; Mettler, B.; Martin, M.S.; Lam, J. Modeling and Identification of Hover Flight Dynamics for NASA’s Mars Helicopter. J. Guid. Control Dyn. 2020, 43, 179–194. [Google Scholar] [CrossRef]
- Zhao, P.; Gao, X.; Yan, Z.; Li, Y.; Wu, J.; Deng, Z. Investigation of Aerodynamic Performance of Coaxial Rotors for Mars Rotorcraft. In Proceedings of the 2023 IEEE International Conference on Mechatronics and Automation (ICMA); August 2023; pp. 1275–1280.
- Zhao, H.; Ding, Z.; Leng, G.; Li, J. Flight Dynamics Modeling and Analysis for a Mars Helicopter. Chin. J. Aeronaut. 2023. [Google Scholar] [CrossRef]
- Grip, H.F.; Lam, J.; Bayard, D.S.; Conway, D.T.; Singh, G.; Brockers, R.; Delaune, J.H.; Matthies, L.H.; Malpica, C.; Brown, T.L. Flight Control System for NASA’s Mars Helicopter. In Proceedings of the AIAA Scitech 2019 Forum; American Institute of Aeronautics and Astronautics, San Diego, CA, USA, 7 January 2019. [Google Scholar]
- Qu, S. Design and Analysis of the Measuring Structure of Hinge Moment in the Aeroelastic Model. Master, Dalian University of Technology, 2014.
- Xia, F. Hinge Moment and Flutter of Rotor Blade for Heavy-Lift Helicopter. Master, Nanjing University of Aeronautics and Astronautics, 2009.
- Mohamed, A.; Abdelhady, M.; Wood, D.H. Using the Hinge Moment of a Trailing Edge Flap for Controlling Dynamic Stall Loads. Exp. Fluids 2021, 62, 184. [Google Scholar] [CrossRef]
- Cabaleiro de la Hoz, C.; Fioriti, M. New Methodology for Flight Control System Sizing and Hinge Moment Estimation. Proc. Inst. Mech. Eng. Part G J. Aerosp. Eng. 2022, 236, 2375–2390. [Google Scholar] [CrossRef]
- Sebastia, C.; Hornung, M. Numerical Analysis of Aerodynamic Flap Hinge Moment under Unsteady Flow Conditions Considering Laminar-Turbulent Transition. In AIAA AVIATION 2023 Forum; American Institute of Aeronautics and Astronautics.
- Xiang,L. ; Shu, H.; Xu, X. Flow-Through Model Hinge Moment Test Techniques Investigation in Hypersonic Wind Tunnel. Flight Dynamics. 2022, 40, 21–27. [Google Scholar] [CrossRef]
- Rose, R.; Nicholas, O.P.; Vorley, G. Flight Measurements of the Elevator and Aileron Hinge-Moment Derivatives of the Fairey Delta 2 Aircraft up to a Mach Number of 1.6 and Comparisons with Wind-Tunnel Results. 1965.
- Hambrick, E.; Thomason, N. Conceptual Aircraft Hinge Moment Measurement System. Aerosp. Eng. 2010. [Google Scholar]
- Grismer, D.; Grismer, M.; Simon, J.; Tinapple, J. An Experimental Investigation of Factors Influencing Hinge Moments. In Proceedings of the 18th Applied Aerodynamics Conference; American Institute of Aeronautics and Astronautics, Denver, CO, USA, 14 August 2000. [Google Scholar]
- Grismer, M.; Kinsey, D.; Grismer, D. Hinge Moment Predictions Using CFD. In Proceedings of the 18th Applied Aerodynamics Conference; American Institute of Aeronautics and Astronautics, Denver, CO, USA, 14 August 2000. [Google Scholar]
- Wu, Z.; Zhu, Z.; Ding, N. Calculation of Hinge Moment of 3 - D Aileron. Acta Aeronautica et Astronautica Sinica. 2007, 28, 519–526. [Google Scholar]
- Huang, Z.; Wang, X.; Zhang, R. Vestigation of Gap Effect on the Rudder Hinge Moment Characteristics. Journal of Experiments in Fluid Mechanics. 2007, 21, 1–6. [Google Scholar]
- Zhang, G.Q.; Yu, S.C.M.; Chien, A. Investigation of the Three-Dimensional Hinge Moment Characteristics Generated by the ONERA-M6 Wing with an Aileron. Adv. Mech. Eng. 2013, 5, 714168. [Google Scholar] [CrossRef]
- Xu, G.; Cheng, M. Research on Rotor Blade Hinge Moment of a Small-scale Coaxial Helicopter. Journal of Aerospace Power. 2010, 25, 1805–1810. [Google Scholar] [CrossRef]
- Yuan, M.; Sun, P.; Fan, F.; et al. Investigation on Blade Aerodynamic Hinge Moment of Coaxial Rigid Rotor with Different Pith Axes. Aeronautical Science & Technology. 2018, 29, 61–66. [Google Scholar] [CrossRef]
- Liu, F. Moment Acquisition and Transmission Research in the Helicopters'Airscrew Dynamic-Balancing Test Platform. Master, Harbin Engineering University, 2007.
- Xue, L.; Wang, S. Dynamics Analysis and Modeling of Helicopter Rotor Test-Bed. Journal of Beijing University of Aeronautics and Astronautics. 2009, 35, 296–299. [Google Scholar] [CrossRef]
- Lange, C.; Ranjbaran, F.; Angeles, J.; Goritschnig, G. The Kinematics of the Swashplate Mechanism of a VTOL Unmanned Aerial Vehicle. Multibody Syst. Dyn. 1999, 3, 333–365. [Google Scholar] [CrossRef]
- Zhu, K.; Tang, D.; Quan, Q.; Lv, Y.; Shen, W.; Deng, Z. Modeling and Experimental Study on Orientation Dynamics of a Mars Rotorcraft with Swashplate Mechanism. Aerosp. Sci. Technol. 2023, 138, 108311. [Google Scholar] [CrossRef]
- Hayami, K.; Sugawara, H.; Yumino, T.; Tanabe, Y.; Kameda, M. CFD Analysis on the Performance of a Coaxial Rotor with Lift Offset at High Advance Ratios. Aerosp. Sci. Technol. 2023, 135, 108194. [Google Scholar] [CrossRef]
- Singh, P.; Venkatesan, C. Analytical Formulation Of Heave-Yaw Modes For A Coaxial Rotor Micro Aerial Vehicle. In AIAA Guidance, Navigation, and Control Conference; AIAA SciTech Forum; American Institute of Aeronautics and Astronautics, 2014.
- An-Assessment-of-CFD-CSD-Prediction-State-of-the-Art-Using-the-HART-II-International-Workshop-Data.Pdf.
- Koning, W.J.F.; Johnson, W.; Allan, B.G. Generation of Mars Helicopter Rotor Model for Comprehensive Analyses.
- Li, S.; Xiong, J.; Wang, X. New Helicopter Rotor Aerodynamic Characteristics and Layout Analysis. Journal of Nanjing University of Aeronautics & Astronautics. 2020, 52, 318–333. [Google Scholar] [CrossRef]
- Li, Y.; Wu, T.; Yuan, Z.; et al. The Influence Law of Hinge Moment Balance Structural Parameters on Lift Measurement. Journal of Projectiles,Rockets,Missiles and Guidance. 2022, 42, 1–4. [Google Scholar] [CrossRef]
- Xu, Y.; Qiu, J.W. Research on Influence of Contact Stress on the Hinge Moment Balance Measures. Appl. Mech. Mater. 2012, 148–149, 833–836. [Google Scholar] [CrossRef]
- Quan, Q.; Zhao, P.; Chen, S.; Wang, D.; Li, H.; Bai, D.; Deng, Z. Experimental Evaluating Approach to a Suitable Martian Coaxial Rotorcraft Blade. In Proceedings of the 2017 IEEE International Conference on Mechatronics and Automation (ICMA); August 2017; pp. 1958–1963.
- Zhang, W.; Xu, B.; Xiang, C.; Yao, Z.; Zhang, H.; Fan, W.; Zhao, Z.; Hu, Y. Aerodynamic Performance Study of Propellers for Mars Atmospheric Environment. Phys. Fluids 2023, 35, 127124. [Google Scholar] [CrossRef]
- Dull, C.; Wagner, L.; Young, L.; Johnson, W. Hover and Forward Flight Performance Modeling of the Ingenuity Mars Helicopter.; San Jose, CA.






















| Grid Quantity (10,000) | Lift (N) | Aerodynamic hinge moment (N.mm) |
Grid Quantity (10,000) | Lift (N) | Aerodynamic hinge moment (N.mm) |
||
|---|---|---|---|---|---|---|---|
| Stationary domain | rotating domain | Stationary domain | rotating domain | ||||
| 391 | 593 | 31.9 | 510.9 | 89 | 593 | 32.3 | 501.3 |
| 245 | 593 | 31.7 | 504.8 | 89 | 271 | 31.9 | 502.8 |
| 170 | 593 | 31.4 | 501.9 | 89 | 199.5 | 31.6 | 502.5 |
| 89 | 593 | 32.3 | 501.3 | 89 | 97.2 | 30.8 | 501.8 |
| serial number | Phase / (°) | Pitch angle (error) / (°) |
| 1 | -0.45 | 0.01 |
| 2 | -30.15 | 0.07 |
| 3 | -59.74 | 0.08 |
| 4 | -90.62 | 0.10 |
| 5 | -120.39 | 0.06 |
| 6 | -149.89 | 0.07 |
| 7 | -179.54 | 0.03 |
| 8 | 149.74 | 0.02 |
| 9 | 119.51 | 0.02 |
| 10 | 90.50 | -0.09 |
| 11 | 59.04 | -0.09 |
| 12 | 30.68 | -0.06 |
| Features | Mars | Earth | Ratio (Mars / Earth) |
| Acceleration of gravity (m/s2) | 3.72 | 9.80 | 38/100 |
| Atmospheric pressure (Pa) | 636 | 101325 | 6.3/100 |
| Sound velocity (m/s) | 240 | 343 | 7/10 |
| Air density (kg/m3) | 0.0118 | 1.17 | 1/100 |
| Mean temperature (°C) | -63 | 15 | |
| viscosity [kg/(m·s)] | 1.289×10-5 | 1.789×10-5 | 72.1/100 |
| Pitch angle test situation | pitch angle /(°) | Rotor Aerodynamic Hinge Moment / (N.mm) | ||
| 200 r/min | 400 r/min | 600 r/min | ||
| 1 | -3° | 18.26 | 77.20 | 178.27 |
| 2 | 0° | 18.60 | 78.80 | 182.90 |
| 3 | 6° | 13.80 | 58.79 | 136.09 |
| 4 | 15° | 7.48 | 32.27 | 76.51 |
Disclaimer/Publisher’s Note: The statements, opinions and data contained in all publications are solely those of the individual author(s) and contributor(s) and not of MDPI and/or the editor(s). MDPI and/or the editor(s) disclaim responsibility for any injury to people or property resulting from any ideas, methods, instructions or products referred to in the content. |
© 2024 by the authors. Licensee MDPI, Basel, Switzerland. This article is an open access article distributed under the terms and conditions of the Creative Commons Attribution (CC BY) license (http://creativecommons.org/licenses/by/4.0/).