Submitted:
03 May 2024
Posted:
07 May 2024
You are already at the latest version
Abstract
Keywords:
1. Introduction
2. Materials and Methods
2.1 Imaging System
2.2 Data Collection and Assembly
2.3 Rater Annotations
2.4 Pipeline Architecture
- Field-of-view (FOV) detection. A convolutional neural network (CNN) was used to predict either complete tissue contact, or partial/no tissue contact for each longitudinal image.
- Artifact detection. A CNN was used to classify any regions that contained artifacts (bubbles, sheath markers) that might lead to incorrect segmentation predictions.
- Surface segmentation. A shallow u-net was used to segment the (epithelial) tissue surface.
- Basement membrane segmentation. A shallow u-net was used to segment the basement membrane.
2.5. Data Preparation and Augmentation
2.6. Convolutional Neural Network Architectures
2.8. Model Training
3. Results
3.1. Final Models
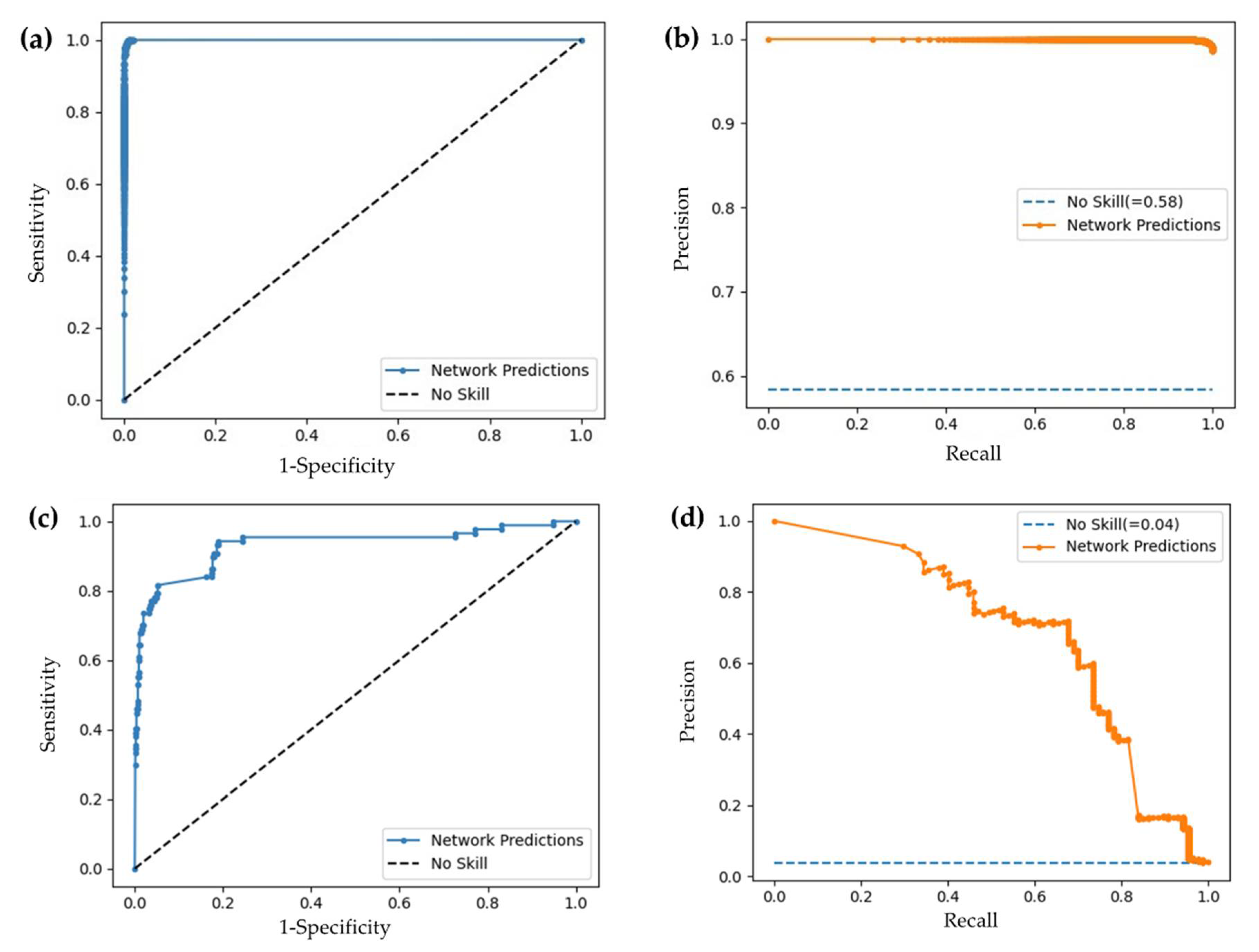
3.2 Convolutional Neural Networks Performance
3.3 U-Net Performance
3.4 Evaluation of 3-Dimensional Volumes
4. Discussion
4.1. Convolutional Neural Networks
4.2. U-Nets
5. Conclusions
Author Contributions
Funding
Institutional Review Board Statement
Informed Consent Statement
Data Availability Statement
Acknowledgments
Conflicts of Interest
References
- Oral Cavity and Pharynx Cancer — Cancer Stat Facts. Available online: https://seer.cancer.gov/statfacts/html/oralcav.html (accessed on 12 December 2023).
- Oral and Oropharyngeal Cancer: Statistics. Available online: https://www.cancer.net/cancer-types/oral-and-oropharyngeal-cancer/statistics (accessed on 26 January 2023).
- Canadian Cancer Society Supportive Care for Leukemia | Canadian Cancer Society. Available online: https://cancer.ca/en/cancer-information/cancer-types/oral/supportive-care (accessed on 28 May 2023).
- Osazuwa-Peters, N.; Simpson, M.C.; Zhao, L.; Boakye, E.A.; Olomukoro, S.I.; Deshields, T.; Loux, T.M.; Varvares, M.A.; Schootman, M. Suicide Risk among Cancer Survivors: Head and Neck versus Other Cancers. Cancer 2018, 124, 4072–4079. [Google Scholar] [CrossRef] [PubMed]
- Kar, A.; M R, A.; Bhaumik, U.; Rao, V.U.S. Psychological Issues in Head and Neck Cancer Survivors: Need for Addressal in Rehabilitation. Oral Oncol. 2020, 110, 104859. [Google Scholar] [CrossRef] [PubMed]
- Brizuela, M.; Winters, R. Histology, Oral Mucosa. StatPearls 2023. [Google Scholar]
- Ranganathan, K.; Kavitha, L. Oral Epithelial Dysplasia: Classifications and Clinical Relevance in Risk Assessment of Oral Potentially Malignant Disorders. J. Oral Maxillofac. Pathol. 2019, 23, 19. [Google Scholar] [CrossRef]
- Poh, C.F.; Ng, S.; Berean, K.W.; Williams, P.M.; Rosin, M.P.; Zhang, L. Biopsy and Histopathologic Diagnosis of Oral Premalignant and Malignant Lesions. J. Can. Dent. Assoc. 2008, 74, 283–288. [Google Scholar] [PubMed]
- Neville, B.W.; Day, T.A. Oral Cancer and Precancerous Lesions. CA. Cancer J. Clin. 2002, 52, 195–215. [Google Scholar] [CrossRef] [PubMed]
- Pindborg, J.J.; Reichart, P.A.; Smith, C.J.C.; van der Waal, I.; Waal, I. Van der Histological Typing of Cancer and Precancer of the Oral Mucosa; 2nd ed.; Springer Berlin Heidelberg, 1997.
- Drexler, W.; Fujimoto, J.G. Special Section Guest Editors Optical Coherence Tomography in Ophthalmology. J. Biomed. Opt. 2007, 12, 041201. [Google Scholar] [CrossRef]
- Chen, S.; Abu-Qamar, O.; Kar, D.; Messinger, J.D.; Hwang, Y.; Moult, E.M.; Lin, J.; Baumal, C.R.; Witkin, A.; Liang, M.C.; et al. Ultrahigh Resolution OCT Markers of Normal Aging and Early Age-Related Macular Degeneration. Ophthalmol. Sci. 2023, 3, 100277. [Google Scholar] [CrossRef] [PubMed]
- Ridgway, J.M.; Armstrong, W.B.; Guo, S.; Mahmood, U.; Su, J.; Jackson, R.P.; Shibuya, T.; Crumley, R.L.; Gu, M.; Chen, Z.; et al. In Vivo Optical Coherence Tomography of the Human Oral Cavity and Oropharynx. Arch. Otolaryngol. Neck Surg. 2006, 132, 1074–1081. [Google Scholar] [CrossRef] [PubMed]
- Lee, C.-K.; Chi, T.-T.; Wu, C.-T.; Tsai, M.-T.; Chiang, C.-P.; Yang, C.-C. Diagnosis of Oral Precancer with Optical Coherence Tomography. Biomed. Opt. Express 2012, 3, 1632. [Google Scholar] [CrossRef]
- Lee, A.M.D.; Cahill, L.; Liu, K.; MacAulay, C.; Poh, C.; Lane, P. Wide-Field in Vivo Oral OCT Imaging. Biomed. Opt. Express 2015, 6, 2664. [Google Scholar] [CrossRef] [PubMed]
- Heidari, A.E.; Sunny, S.P.; James, B.L.; Lam, T.M.; Tran, A. V.; Yu, J.; Ramanjinappa, R.D.; Uma, K.; Birur, P.; Suresh, A.; et al. Optical Coherence Tomography as an Oral Cancer Screening Adjunct in a Low Resource Settings. IEEE J. Sel. Top. Quantum Electron. 2018, 25. [Google Scholar] [CrossRef]
- Wilder-Smith, P.; Jung, W.G.; Brenner, M.; Osann, K.; Beydoun, H.; Messadi, D.; Chen, Z. In Vivo Optical Coherence Tomography for the Diagnosis of Oral Malignancy. Lasers Surg. Med. 2004, 35, 269–275. [Google Scholar] [CrossRef] [PubMed]
- Albrecht, M.; Schnabel, C.; Mueller, J.; Golde, J.; Koch, E.; Walther, J. In Vivo Endoscopic Optical Coherence Tomography of the Healthy Human Oral Mucosa: Qualitative and Quantitative Image Analysis. Diagnostics 2020, 10, 827. [Google Scholar] [CrossRef] [PubMed]
- Stasio; Lauritano; Iquebal; Romano; Gentile; Lucchese Measurement of Oral Epithelial Thickness by Optical Coherence Tomography. Diagnostics 2019, 9, 90. [CrossRef] [PubMed]
- Fujimoto J.and Drexler, W. Introduction to Optical Coherence Tomography. In Optical Coherence Tomography: Technology and Applications; Drexler Wolfgangand Fujimoto, J.G., Ed.; Springer Berlin Heidelberg: Berlin, Heidelberg, 2008; pp. 1–45 ISBN 978-3-540-77550-8.
- Jung, W.; Boppart, S.A. Optical Coherence Tomography for Rapid Tissue Screening and Directed Histological Sectioning. Anal. Cell. Pathol. 2012, 35, 129–143. [Google Scholar] [CrossRef]
- Kugelman, J.; Alonso-Caneiro, D.; Read, S.A.; Hamwood, J.; Vincent, S.J.; Chen, F.K.; Collins, M.J. Automatic Choroidal Segmentation in OCT Images Using Supervised Deep Learning Methods. Sci. Rep. 2019. [Google Scholar] [CrossRef]
- Pekala, M.; Joshi, N.; Liu, T.Y.A.; Bressler, N.M.; DeBuc, D.C.; Burlina, P. Deep Learning Based Retinal OCT Segmentation. Comput. Biol. Med. 2019, 114, 103445. [Google Scholar] [CrossRef]
- Fang, L.; Cunefare, D.; Wang, C.; Guymer, R.H.; Farsiu, S.; Huang, D.; Swanson, E.A.; Lin, C.P.; Schuman, J.S.; Stinson, W.G.; et al. Automatic Segmentation of Nine Retinal Layer Boundaries in OCT Images of Non-Exudative AMD Patients Using Deep Learning and Graph Search. Biomed. Opt. Express, Vol. 8, Issue 5, pp. 2732-2744 2017, 8, 2732–2744. [Google Scholar] [CrossRef] [PubMed]
- Yang, Z.; Soltanian-Zadeh, S.; Chu, K.K.; Zhang, H.; Moussa, L.; Watts, A.E.; Shaheen, N.J.; Wax, A.; Farsiu, S.; Farsiu, S. Connectivity-Based Deep Learning Approach for Segmentation of the Epithelium in in Vivo Human Esophageal OCT Images. Biomed. Opt. Express, Vol. 12, Issue 10, pp. 6326-6340 2021, 12, 6326–6340. [Google Scholar] [CrossRef] [PubMed]
- Gharaibeh, Y.; Prabhu, D.S.; Kolluru, C.; Lee, J.; Zimin, V.; Bezerra, H.G.; Wilson, D.L. Coronary Calcification Segmentation in Intravascular OCT Images Using Deep Learning: Application to Calcification Scoring. https://doi.org/10.1117/1.JMI.6.4.045002 2019, 6, 045002, doi:10.1117/1.JMI.6.4.045002.
- Lee, C.S.; Baughman, D.M.; Lee, A.Y. Deep Learning Is Effective for Classifying Normal versus Age-Related Macular Degeneration OCT Images. Kidney Int. Reports 2017, 1, 322–327. [Google Scholar] [CrossRef] [PubMed]
- Fang, L.; Wang, C.; Li, S.; Rabbani, H.; Chen, X.; Liu, Z. Attention to Lesion: Lesion-Aware Convolutional Neural Network for Retinal Optical Coherence Tomography Image Classification. IEEE Trans. Med. Imaging 2019, 38, 1959–1970. [Google Scholar] [CrossRef] [PubMed]
- Lu, W.; Tong, Y.; Yu, Y.; Xing, Y.; Chen, C.; Shen, Y. Deep Learning-Based Automated Classification of Multi-Categorical Abnormalities From Optical Coherence Tomography Images. Transl. Vis. Sci. Technol. 2018, 7, 41. [Google Scholar] [CrossRef] [PubMed]
- Goldan, R.N.; Lee, A.M.D.; Cahill, L.; Liu, K.; MacAulay, C.; D.D.S., C.F.P.; Lane, P. Automated Segmentation of Oral Mucosa from Wide-Field OCT Images (Conference Presentation). In Proceedings of the Proc.SPIE; April 27 2016; Vol. 9698, p. 96980R.
- Adjust Image Intensity Values or Colormap - MATLAB Imadjust. Available online: https://www.mathworks.com/help/images/ref/imadjust.html (accessed on 20 March 2023).
- Ronneberger, O.; Fischer, P.; Brox, T. U-Net: Convolutional Networks for Biomedical Image Segmentation. In Proceedings of the Lecture Notes in Computer Science (including subseries Lecture Notes in Artificial Intelligence and Lecture Notes in Bioinformatics); 2015.
- Piecewise Cubic Hermite Interpolating Polynomial (PCHIP) - MATLAB Pchip. Available online: https://www.mathworks.com/help/matlab/ref/pchip.html (accessed on 11 April 2023).
- Dice, L.R. Measures of the Amount of Ecologic Association Between Species. Ecology 1945, 26, 297–302. [Google Scholar] [CrossRef]
- Reinke, A.; Tizabi, M.D.; Sudre, C.H.; Eisenmann, M.; Rädsch, T.; Baumgartner, M.; Acion, L.; Antonelli, M.; Arbel, T.; Bakas, S.; et al. Common Limitations of Image Processing Metrics: A Picture Story. 2021, doi:10.48550/arxiv.2104.05642.
- He, K.; Zhang, X.; Ren, S.; Sun, J. Delving Deep into Rectifiers: Surpassing Human-Level Performance on ImageNet Classification. In Proceedings of the 2015 IEEE International Conference on Computer Vision (ICCV); 2015; pp. 1026–1034.
- BCEWithLogitsLoss — PyTorch 2.0 Documentation. Available online: https://pytorch.org/docs/stable/generated/torch.nn.BCEWithLogitsLoss.html (accessed on 20 April 2023).
- Kingma, D.P.; Ba, J.L. Adam: A Method for Stochastic Optimization. In Proceedings of the 3rd International Conference on Learning Representations, ICLR 2015 - Conference Track Proceedings; San Diego, 2015.
- James, B.L.; Sunny, S.P.; Heidari, A.E.; Ramanjinappa, R.D.; Lam, T.; Tran, A. V.; Kankanala, S.; Sil, S.; Tiwari, V.; Patrick, S.; et al. Validation of a Point-of-Care Optical Coherence Tomography Device with Machine Learning Algorithm for Detection of Oral Potentially Malignant and Malignant Lesions. Cancers (Basel). 2021, 13. [Google Scholar] [CrossRef]
- Yang, Z.; Pan, H.; Shang, J.; Zhang, J.; Liang, Y. Deep-Learning-Based Automated Identification and Visualization of Oral Cancer in Optical Coherence Tomography Images. Biomedicines 2023, 11, 802. [Google Scholar] [CrossRef] [PubMed]
- Kang, W.; Wang, H.; Wang, Z.; Jenkins, M.W.; Isenberg, G.A.; Chak, A.; Rollins, A.M. Motion Artifacts Associated with in Vivo Endoscopic OCT Images of the Esophagus. Opt. Express 2011, 19, 20722. [Google Scholar] [CrossRef]
- Prestin, S.; Rothschild, S.I.; Betz, C.S.; Kraft, M. Measurement of Epithelial Thickness within the Oral Cavity Using Optical Coherence Tomography. Head Neck 2012, 34, 1777–1781. [Google Scholar] [CrossRef] [PubMed]
- Backman, V.; Wallace, M.B.; Perelman, L.T.; Arendt, J.T.; Gurjar, R.; Müller, M.G.; Zhang, Q.; Zonios, G.; Kline, E.; McGillican, T.; et al. Detection of Preinvasive Cancer Cells. Nat. 2000 4066791 2000, 406, 35–36. [Google Scholar] [CrossRef] [PubMed]











| Diagnosis | No. Scans | % of Dataset | No. Longitudinal Images | % of Dataset |
|---|---|---|---|---|
| Contralateral (assumed normal) | 59 | 31.6 | 133 | 45.2 |
| Benign (pathology confirmed) | 14 | 7.5 | 19 | 6.5 |
| Scar | 3 | 1.6 | 4 | 1.4 |
| Trauma | 1 | 0.5 | 1 | 0.3 |
| Reactive Fibroma | 1 | 0.5 | 1 | 0.3 |
| Actinic Cheilitis | 2 | 1.1 | 3 | 1.0 |
| Hyperplasia | 2 | 1.1 | 2 | 0.7 |
| Verrucous Hyperplasia | 3 | 1.6 | 4 | 1.4 |
| Dysplasia Grade 1 | 24 | 12.8 | 31 | 10.5 |
| Dysplasia Grade 2 | 21 | 11.2 | 25 | 8.5 |
| Dysplasia Grade 3 | 12 | 6.4 | 18 | 6.1 |
| Carcinoma In Situ | 5 | 2.7 | 7 | 2.4 |
| Lentigo Maligna | 4 | 2.1 | 5 | 1.7 |
| OSCC | 27 | 14.4 | 32 | 10.9 |
| Verrucous Carcinoma | 9 | 4.8 | 9 | 3.1 |
| Total | 187 | 100.0 | 294 | 100.0 |
| Site | No. Scans | % of Dataset | No. Longitudinal Images | % of Dataset |
|---|---|---|---|---|
| Buccal Mucosa | 23 | 12.3 | 38 | 12.9 |
| Floor Of Mouth | 8 | 4.3 | 13 | 4.4 |
| Gingiva | 10 | 5.3 | 11 | 3.7 |
| Labial Mucosa | 4 | 2.1 | 8 | 2.7 |
| Lip | 1 | 0.5 | 1 | 0.3 |
| Tongue - Dorsal | 4 | 2.1 | 6 | 2.0 |
| Tongue - Lateral | 55 | 29.4 | 86 | 29.3 |
| Tongue - Ventral | 76 | 40.6 | 124 | 42.2 |
| Vestibule | 6 | 3.2 | 7 | 2.4 |
| Total | 187 | 100.0 | 294 | 100.0 |
| Task | Model | No. Patients | No. Scans | No. Images | No. Tiles | Tile Size (overlap) [pixels] |
|---|---|---|---|---|---|---|
| FOV Detection |
Classification | 9 | 9 | 2427 | Class 0: 64,250 Class 1: 87,376 |
256x256 (128) |
| Artifact Detection |
Classification | 59 | 864 | 288 | Class 0: 20,467 Class 1: 1,459 |
128x128 (64) |
| Epithelial Surface |
Segmentation | 59 | 864 | 288 | 11,356 | 256x256 (128) |
| Basement Membrane | Segmentation | 59 | 864 | 288 | 11,356 | 256x256 (128) |
| Task | Feature of Interest | Distribution |
|---|---|---|
| FOV Detection | Tissue Contact | In FOV: ~60% Out of FOV: ~40% |
| Artifact Detection | Presence of Artifact | Present: 7% Absent: 93% |
| Epithelial Surface | N/A | N/A |
| Basement Membrane | Epithelial Stromal Transition | Complete: ~70% Broken: ~15% Absent: ~15% |
| Task | No. of Epochs (Early Stopping Epoch) |
Early Stopping Scheme | Batch Size | LR Scheduler |
|---|---|---|---|---|
| FOV Detection | 10 (2) |
patience = 5, Δmin = 0.01 mode = min. loss |
64 | patience = 3, factor = 0.1, min. LR = 1x10-8 |
| Epithelial Surface | 30 (19) |
patience = 5, Δmin = 0.01 mode = min. loss |
8 | patience = 5, factor = 0.1, min. LR = 1x10-8 |
| Basement Membrane | 20 (9, 8)* |
patience = 5, Δmin = 0.01 mode = min. loss |
8 | patience = 5, factor = 0.1, min. LR = 1x10-8 |
| Artifact Detection | 30 (18) |
patience = 5, Δmin = 0.01 mode = min. loss |
64 | patience = 3, factor = 0.1, min. LR = 1x10-7 |
| Task | No. Tiles | Bal. Accuracy (%) | Sensitivity (%) | Specificity (%) | AUC | mAP |
|---|---|---|---|---|---|---|
| FOV | 17,404 | 100.0* | 100.0* | 100.0* | 1.00 | 1.00 |
| Artifact Detection | 2,345 | 75.5 | 99.1 | 52.3 | 0.94 | 0.68 |
| Training Protocol | DSC | ME (mm) (M ± SD) |
|---|---|---|
| ± 24 pixels | 0.99 | 0.4 ± 9.9 |
| ± 12 pixels* | 0.98 | 0.4 ± 9.1 |
| ± 4 pixels | 0.94 | -0.9 ± 10.4 |
| Training Protocol | DSC | PA (%) | NA (%) | ME (mm) (M ± SD) |
|---|---|---|---|---|
| ± 12 pixels | 0.91 | 95.8 | 80.9 | 2.9 ± 21.5 |
| ± 4 pixels | 0.76 | 93.1 | 75.1 | 0.1 ± 16.2 |
| ± 12 à ± 4 pixels* | 0.83 | 95.8 | 81.7 | -0.5 ± 19.3 |
| ± 24 à ± 4 pixels | 0.76 | 95.1 | 80.1 | 1.5 ± 20.3 |
| ± 24 à ± 12 à ± 4 pixels | 0.79 | 95.3 | 81.2 | -0.1± 19.8 |
| Task | Metric | Model | Rater 1 | Rater 2 | Rater 3 | Rater 4 | Rater 5 |
|---|---|---|---|---|---|---|---|
| Epithelium | DSC | 0.98 | 0.96 | 0.96 | 0.97 | 0.97 | 0.95 |
| ME (µm) | 0.4 ± 9.1 | 5.4 ± 11.4 | 2.1 ± 11.2 | 2.4 ± 11.1 | 3.6 ± 10.7 | 7.2 ± 13.5 | |
| Basement Membrane | DSC | 0.83 | 0.78 | 0.64 | 0.75 | 0.75 | 0.73 |
| PA (%) | 95.8 | 97.2 | 89.2 | 95.1 | 95.4 | 87.9 | |
| NA (%) | 81.7 | 85.3 | 69.1 | 67.9 | 74.0 | 56.8 | |
| ME (µm) | -0.5 ± 19.3 | 0.6 ± 24.2 | 2.9 ± 32.8 | -3.8 ± 24.8 | -1.7 ± 18.5 | -0.5 ± 14.7 |
Disclaimer/Publisher’s Note: The statements, opinions and data contained in all publications are solely those of the individual author(s) and contributor(s) and not of MDPI and/or the editor(s). MDPI and/or the editor(s) disclaim responsibility for any injury to people or property resulting from any ideas, methods, instructions or products referred to in the content. |
© 2024 by the authors. Licensee MDPI, Basel, Switzerland. This article is an open access article distributed under the terms and conditions of the Creative Commons Attribution (CC BY) license (http://creativecommons.org/licenses/by/4.0/).