Submitted:
02 May 2024
Posted:
06 May 2024
Read the latest preprint version here
Abstract
Keywords:
1. Introduction
2. Materials and Methods
2.1. Overview
2.2. Participants
2.3. Mobile Laboratory
2.4. Speech Audiometry in Noise
2.5. Consonant Identification Test
2.6. Words In Noise Recognition
2.7. French Sentence Matrix Test
2.8. Speech Spatial and Quality of Hearing Questionnaire
2.9. Predictors of Speech in Noise Tests
2.9.1. Pure Tone Audiometry
2.9.2. Amplitude and Frequency Modulation Detection Thresholds
2.9.3. Distortion Products of Otoacoustic Emissions
2.9.4. Electrocochleography
2.9.5. Random Forest Analysis
2.9.6. Missing Values
3. Results
3.1. Consonant Identification
3.1.1. Predictor Importance

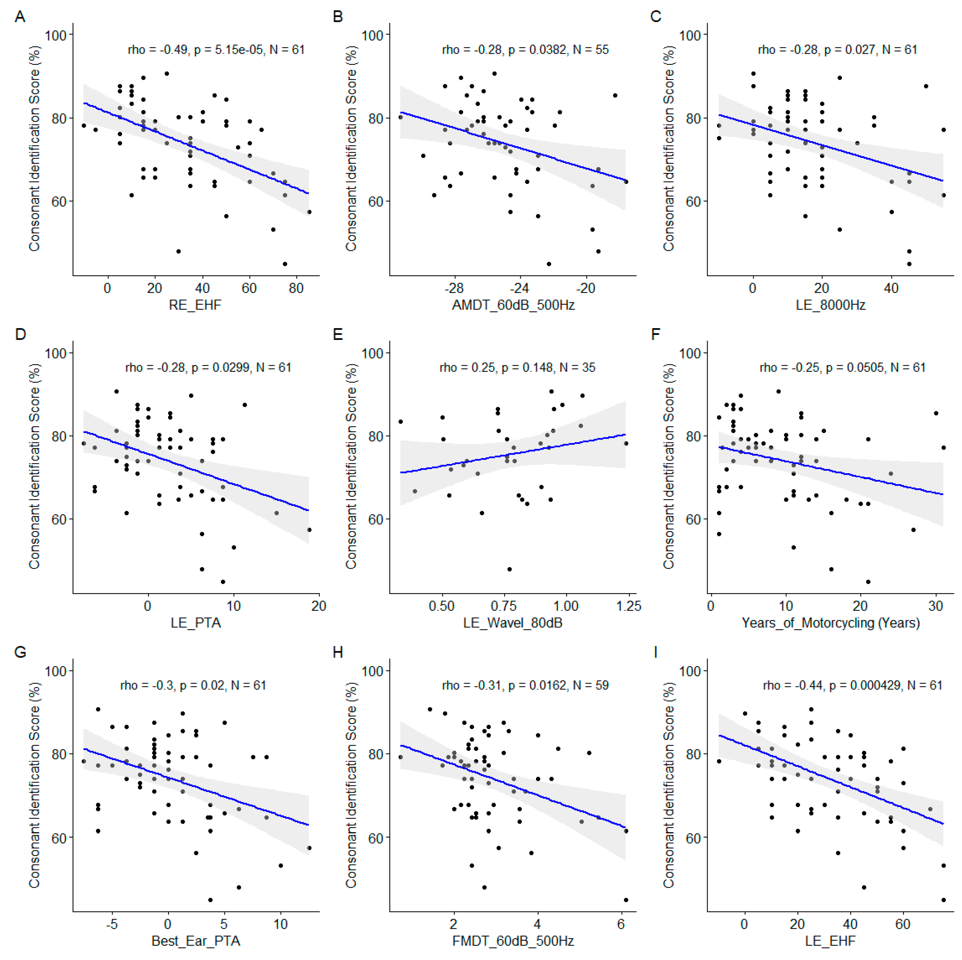
3.1.2. Correlations between Predictors and Consonant Identification Scores

3.2. Words in Noise Recognition
3.2.1. Predictor Importance

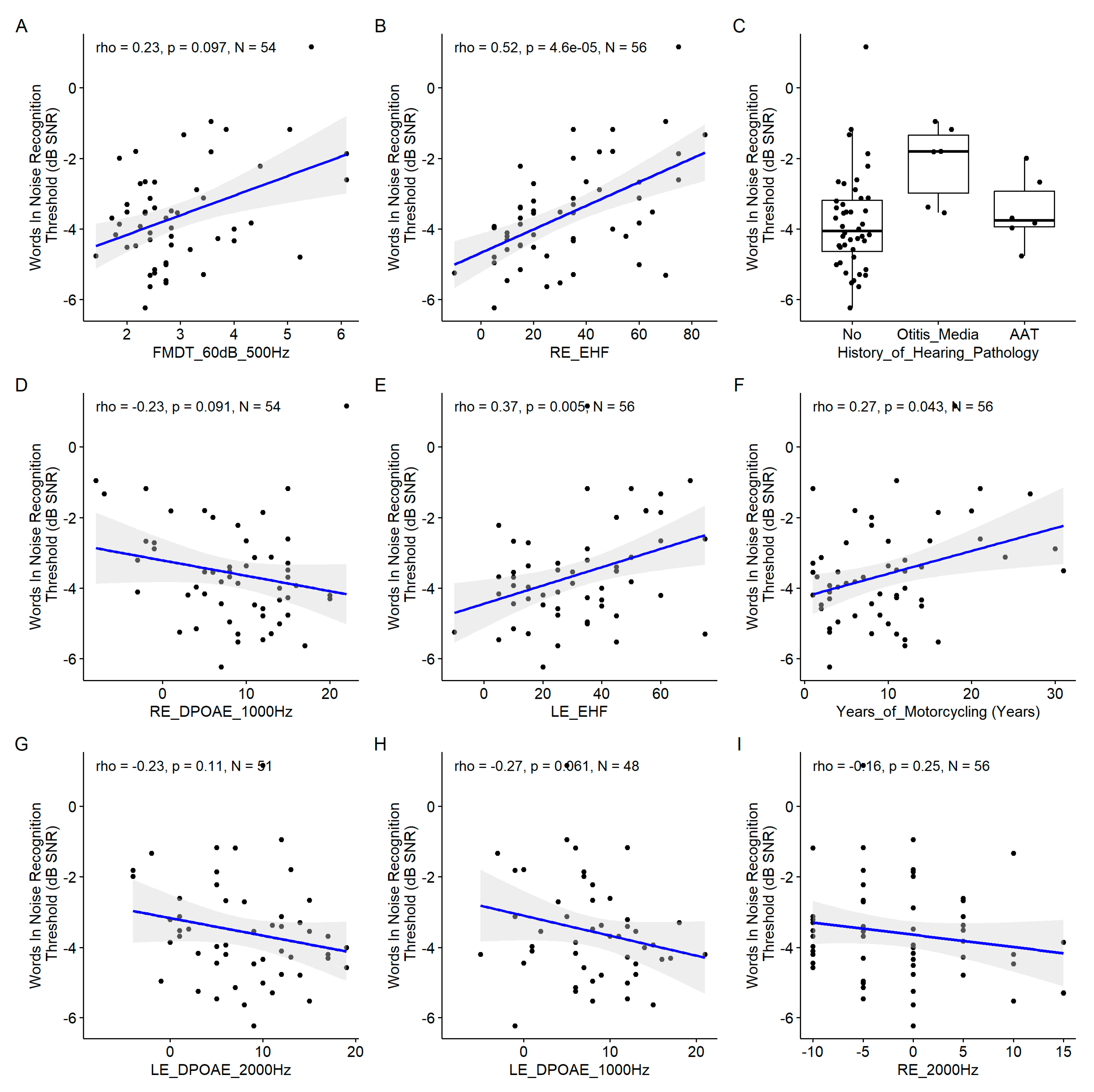
3.2.2. Correlations between predictors and words in noise recognition scores

3.3. French Matrix Test
3.3.1. Predictor Importance

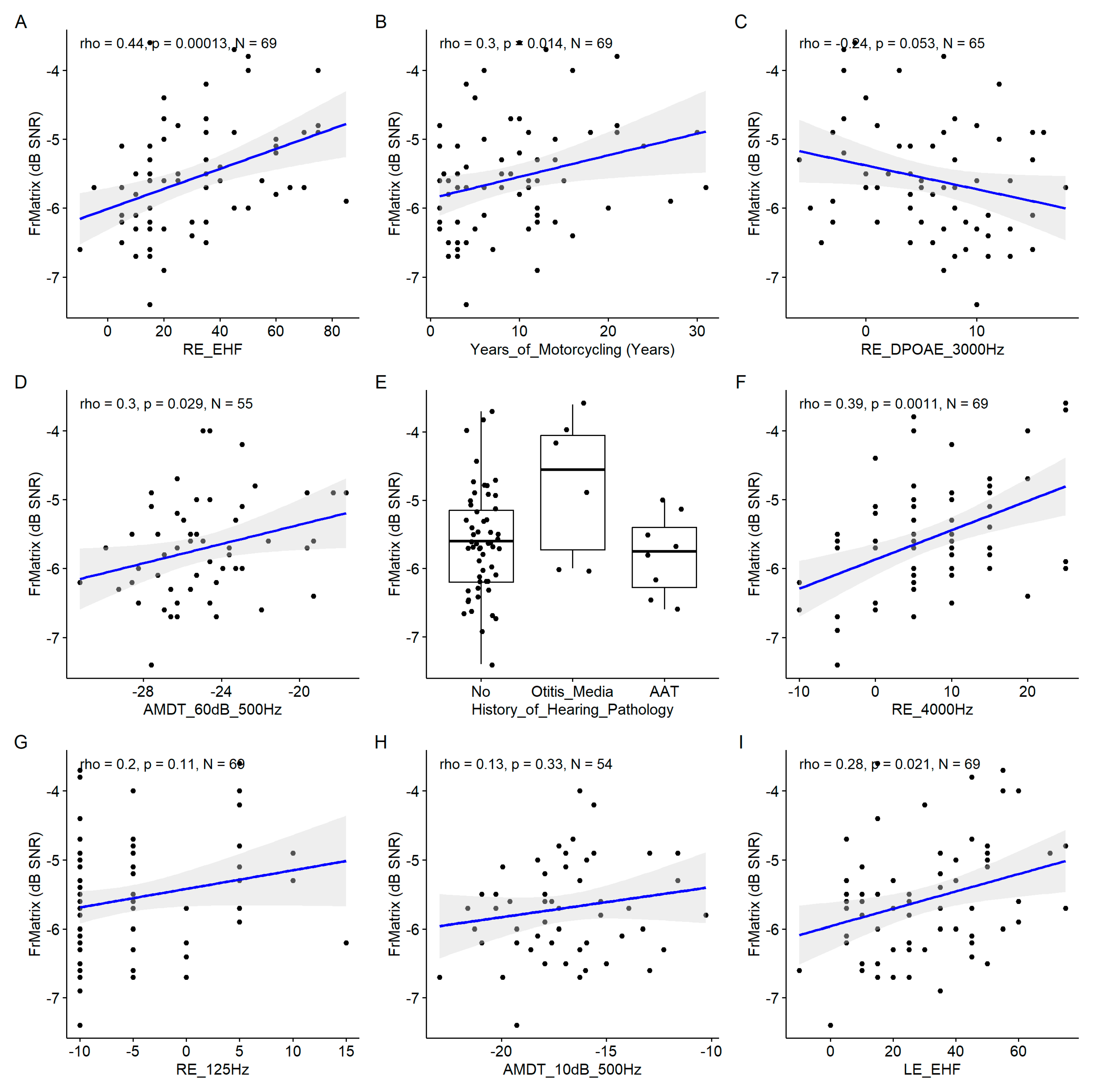
3.3.2. Correlations between predictors and French matrix test scores

3.4. Speech in Noise Pragmatic Scale from the Speech Spatial and Quality of hearing Questionnaire
3.4.1. Predictor Importance

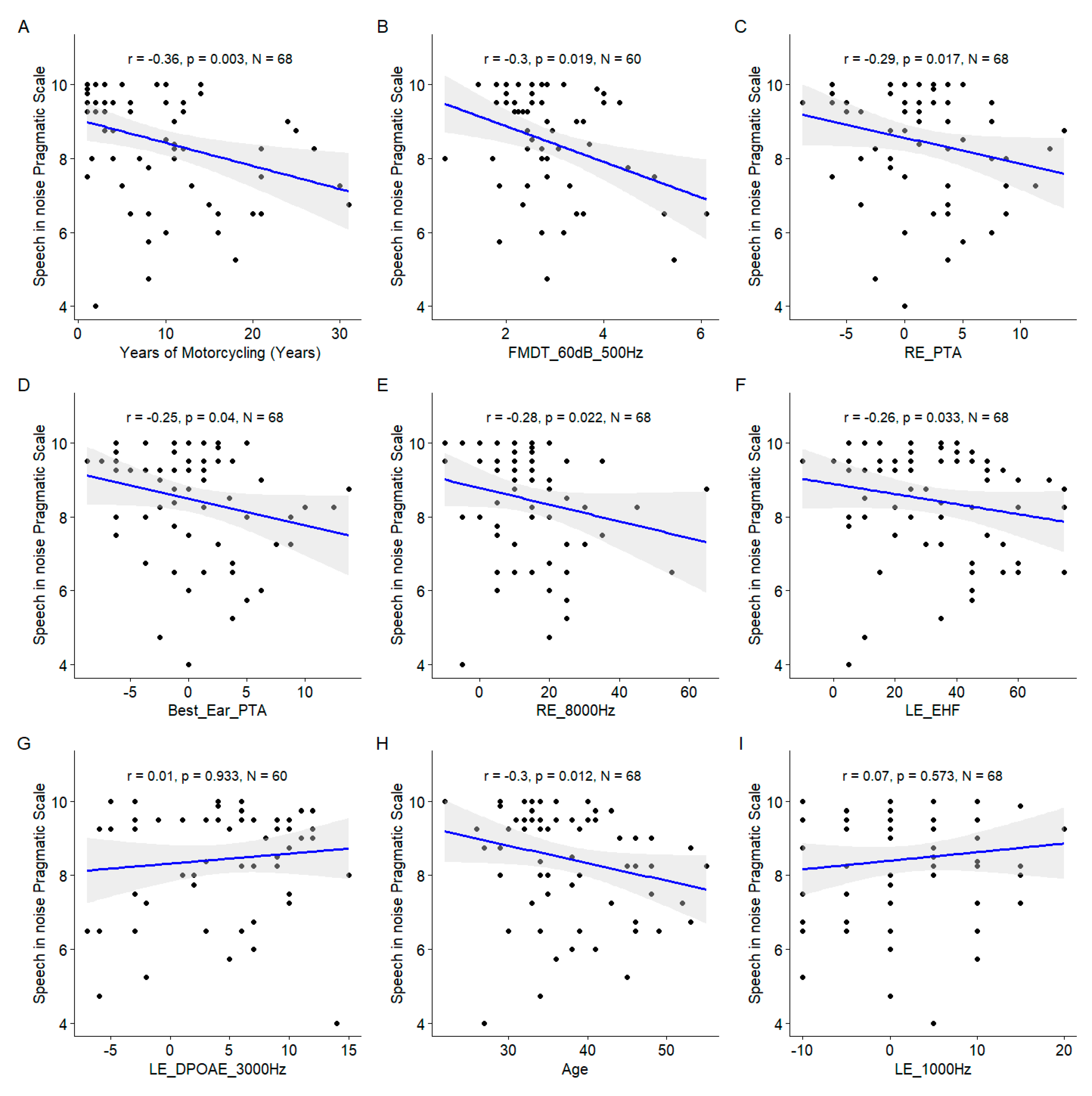
3.4.2. Correlations between predictors and Speech in Noise Pragmatic Scale

3.5. Relationship across the Speech in Noise Tests
3.5.1. Speech audiometries in noise

3.5.2. Speech in Noise Pragmatic Scale and Speech Audiometries in Noise

4. Discussion
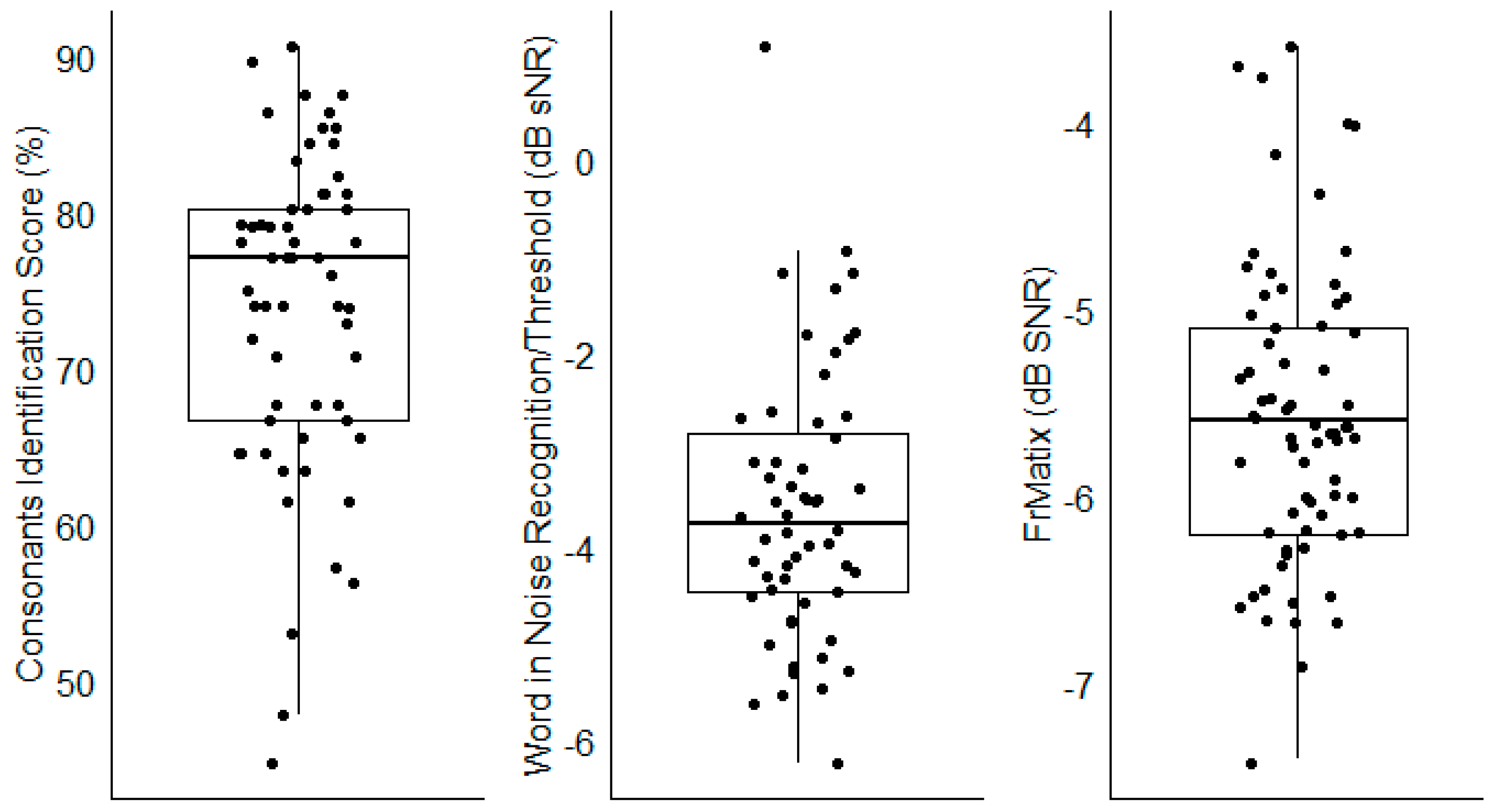
4.1. Comparisons between Speech in Noise Tests
4.2. Speech in Noise Tests Predictors
4.2.1. Audiometric Thresholds
4.2.2. Amplitude and Frequency Modulation Detection
4.2.3. Age
4.2.4. Physiological Measurements: Distortion Products of Otoacoustic Emissions and Electrocochleography
4.3. Clinical Implications
4.4. Limits of the Study
5. Conclusion
Author Contributions
Funding
Institutional Review Board Statement
Informed Consent Statement
Acknowledgments
Conflicts of Interest
Appendix A. Amplitude Modulation and Frequency Modulation Detection Threshold


Electrocochleography


Distorsion Products of OtoAcoustic Emissions

Appendix B. Acoustical Analyses of the Three Speech Corpora
Upper frequency bound comprising 99% of the total power of the spectrum

Ratio of Acoustical power in High vs. Low Frequencies

References
- Moore BCJ. An introduction to the psychology of hearing, 5th ed. San Diego, CA, US: Academic Press; 2003.
- Prendergast G, Guest H, Munro KJ, Kluk K, Léger A, Hall DA, et al. Effects of noise exposure on young adults with normal audiograms I: Electrophysiology. Hear Res 2017;344:68–81. [CrossRef]
- Prendergast G, Millman RE, Guest H, Munro KJ, Kluk K, Dewey RS, et al. Effects of noise exposure on young adults with normal audiograms II: Behavioral measures. Hear Res 2017;356:74–86. [CrossRef]
- Guest H, Dewey RS, Plack CJ, Couth S, Prendergast G, Bakay W, et al. The Noise Exposure Structured Interview (NESI): An Instrument for the Comprehensive Estimation of Lifetime Noise Exposure. Trends Hear 2018;22:2331216518803213. [CrossRef]
- International Bureau for Audiophonology. Audiometric classification of hearing impairments. International Bureau for Audiophonology recommendation 02/1 1997.
- Gatehouse S, Noble W. The Speech, Spatial and Qualities of Hearing Scale (SSQ). Int J Audiol 2004;43:85–99. [CrossRef]
- Moulin A, Pauzie A, Richard C. Validation of a French translation of the Speech, Spatial, and Qualities of Hearing Scale (SSQ) and comparison with other language versions. Int J Audiol 2015;54:889–98. [CrossRef]
- Jansen S, Luts H, Wagener KC, Kollmeier B, Del Rio M, Dauman R, et al. Comparison of three types of French speech-in-noise tests: a multi-center study. Int J Audiol 2012;51:164–73. [CrossRef]
- HörTech gGmbH. Instruction manual “French Matrix Test” FRAMATRIX for Oldenburg Measurement Applications from release 1.5.4.0 2014.
- Akeroyd MA, Guy FH, Harrison DL, Suller SL. A factor analysis of the SSQ (Speech, Spatial, and Qualities of Hearing Scale). Int J Audiol 2014;53:101–14. [CrossRef]
- Kim H, Park J, Choung Y-H, Jang JH, Ko J. Predicting speech discrimination scores from pure-tone thresholds—A machine learning-based approach using data from 12,697 subjects. PLOS ONE 2021;16:e0261433. [CrossRef]
- Lenatti M, Moreno -Sánchez Pedro A., Polo EM, Mollura M, Barbieri R, Paglialonga A. Evaluation of Machine Learning Algorithms and Explainability Techniques to Detect Hearing Loss From a Speech-in-Noise Screening Test. Am J Audiol 2022;31:961–79. [CrossRef]
- Balan JR, Rodrigo H, Saxena U, Mishra SK. Explainable machine learning reveals the relationship between hearing thresholds and speech-in-noise recognition in listeners with normal audiograms. J Acoust Soc Am 2023;154:2278–88. [CrossRef]
- DiNino M, Holt LL, Shinn-Cunningham BG. Cutting Through the Noise: Noise-Induced Cochlear Synaptopathy and Individual Differences in Speech Understanding Among Listeners With Normal Audiograms. Ear Hear 2022;43:9–22. [CrossRef]
- Moulin A, Bernard A, Tordella L, Vergne J, Gisbert A, Martin C, et al. Variability of word discrimination scores in clinical practice and consequences on their sensitivity to hearing loss. Eur Arch Otorhinolaryngol 2017;274:2117–24. [CrossRef]
- Le Prell CG, Brungart DS. Speech-in-Noise Tests and Supra-threshold Auditory Evoked Potentials as Metrics for Noise Damage and Clinical Trial Outcome Measures. Otol Neurotol 2016;37:e295. [CrossRef]
- Moulin A, Richard C. Lexical Influences on Spoken Spondaic Word Recognition in Hearing-Impaired Patients. Front Neurosci 2015;9. [CrossRef]
- Stenbäck V, Marsja E, Ellis R, Rönnberg J. Relationships between behavioural and self-report measures in speech recognition in noise. Int J Audiol 2023;62:101–9. [CrossRef]
- Hällgren M, Larsby B, Arlinger S. A Swedish version of the Hearing In Noise Test (HINT) for measurement of speech recognition: Una versión sueca de la Prueba de Audición en Ruido (HINT) para evaluar el reconocimiento del lenguaje. Int J Audiol 2006;45:227–37. [CrossRef]
- Hagerman B. Sentences for Testing Speech Intelligibility in Noise. Scand Audiol 1982;11:79–87. [CrossRef]
- Liberman MC, Epstein MJ, Cleveland SS, Wang H, Maison SF. Toward a Differential Diagnosis of Hidden Hearing Loss in Humans. PloS One 2016;11:e0162726. [CrossRef]
- Yeend I, Beach EF, Sharma M. Working Memory and Extended High-Frequency Hearing in Adults: Diagnostic Predictors of Speech-in-Noise Perception. Ear Hear 2019;40:458–67. [CrossRef]
- Yeend I, Beach EF, Sharma M, Dillon H. The effects of noise exposure and musical training on suprathreshold auditory processing and speech perception in noise. Hear Res 2017;353:224–36. [CrossRef]
- Lough M, Plack CJ. Extended high-frequency audiometry in research and clinical practice. J Acoust Soc Am 2022;151:1944. [CrossRef]
- Motlagh Zadeh L, Silbert NH, Sternasty K, Swanepoel DW, Hunter LL, Moore DR. Extended high-frequency hearing enhances speech perception in noise. Proc Natl Acad Sci 2019;116:23753–9. [CrossRef]
- Monson BB, Hunter EJ, Lotto AJ, Story BH. The perceptual significance of high-frequency energy in the human voice. Front Psychol 2014;5. [CrossRef]
- Fettiplace R, Nam J-H. Tonotopy in calcium homeostasis and vulnerability of cochlear hair cells. Hear Res 2019;376:11–21. [CrossRef]
- Furman AC, Kujawa SG, Liberman MC. Noise-induced cochlear neuropathy is selective for fibers with low spontaneous rates. J Neurophysiol 2013;110:577–86. [CrossRef]
- Gülseven Güven S, Binay Ç. The Importance of Extended High Frequencies in Hearing Evaluation of Pediatric Patients with Type 1 Diabetes. J Clin Res Pediatr Endocrinol 2023;15:127–37. [CrossRef]
- Cunningham DR, Vise LK, Jones LA. Influence of Cigarette Smoking on Extra-High-Frequency Auditory Thresholds. Ear Hear 1983;4:162.
- Le Prell CG, Hammill TL, Murphy WJ. Noise-induced hearing loss and its prevention: Integration of data from animal models and human clinical trials. J Acoust Soc Am 2019;146:4051–74. [CrossRef]
- Bharadwaj HM, Verhulst S, Shaheen L, Liberman MC, Shinn-Cunningham BG. Cochlear neuropathy and the coding of supra-threshold sound. Front Syst Neurosci 2014;8:26. [CrossRef]
- Parthasarathy A, Kujawa SG. Synaptopathy in the aging cochlea: Characterizing early-neural deficits in auditory temporal envelope processing. J Neurosci 2018;38:7108–19.
- Lorenzi C, Gilbert G, Carn H, Garnier S, Moore BCJ. Speech perception problems of the hearing impaired reflect inability to use temporal fine structure. Proc Natl Acad Sci U S A 2006;103:18866–9. [CrossRef]
- Füllgrabe C, Moore BCJ, Stone MA. Age-group differences in speech identification despite matched audiometrically normal hearing: contributions from auditory temporal processing and cognition. Front Aging Neurosci 2014;6:347. [CrossRef]
- Grose JH, Mamo SK. Processing of temporal fine structure as a function of age. Ear Hear 2010;31:755–60. [CrossRef]
- Wu PZ, Liberman LD, Bennett K, de Gruttola V, O’Malley JT, Liberman MC. Primary Neural Degeneration in the Human Cochlea: Evidence for Hidden Hearing Loss in the Aging Ear. Neuroscience 2019;407:8–20. [CrossRef]
- Paraouty N, Ewert SD, Wallaert N, Lorenzi C. Interactions between amplitude modulation and frequency modulation processing: Effects of age and hearing loss. J Acoust Soc Am 2016;140:121. [CrossRef]
- Arlinger S, Lunner T, Lyxell B, Pichora-Fuller MK. The emergence of cognitive hearing science. Scand J Psychol 2009;50:371–84. [CrossRef]
- Rönnberg J, Signoret C, Andin J, Holmer E. The cognitive hearing science perspective on perceiving, understanding, and remembering language: The ELU model. Front Psychol 2022;13:967260. [CrossRef]
- Klaassen EB, Evers EAT, de Groot RHM, Backes WH, Veltman DJ, Jolles J. Working memory in middle-aged males: Age-related brain activation changes and cognitive fatigue effects. Biol Psychol 2014;96:134–43. [CrossRef]
- Füllgrabe C, Rosen S. On The (Un)importance of Working Memory in Speech-in-Noise Processing for Listeners with Normal Hearing Thresholds. Front Psychol 2016;7:1268. [CrossRef]
- Helfer KS, Merchant GR, Wasiuk PA. Age-Related Changes in Objective and Subjective Speech Perception in Complex Listening Environments. J Speech Lang Hear Res JSLHR 2017;60:3009–18. [CrossRef]
- Bramhall N, Beach EF, Epp B, Le Prell CG, Lopez-Poveda EA, Plack CJ, et al. The search for noise-induced cochlear synaptopathy in humans: Mission impossible? Hear Res 2019;377:88–103. [CrossRef]
- Bramhall N, Ong B, Ko J, Parker M. Speech Perception Ability in Noise is Correlated with Auditory Brainstem Response Wave I Amplitude. J Am Acad Audiol 2015;26:509–17. [CrossRef]
- Johannesen PT, Buzo BC, Lopez-Poveda EA. Evidence for age-related cochlear synaptopathy in humans unconnected to speech-in-noise intelligibility deficits. Hear Res 2019;374:35–48. [CrossRef]
- Giraudet F, Labanca L, Souchal M, Avan P. Decreased Reemerging Auditory Brainstem Responses Under Ipsilateral Broadband Masking as a Marker of Noise-Induced Cochlear Synaptopathy. Ear Hear 2021;42:1062–71. [CrossRef]
- Parker MA. Identifying three otopathologies in humans. Hear Res 2020;398:108079. [CrossRef]
- Gorga MP, Neely ST, Ohlrich B, Hoover B, Redner J, Peters J. From laboratory to clinic: a large scale study of distortion product otoacoustic emissions in ears with normal hearing and ears with hearing loss. Ear Hear 1997;18:440–55. [CrossRef]
- Moore D, Hunter L, Munro K. Benefits of Extended High-Frequency Audiometry for Everyone. Hear J 2017;70:50. [CrossRef]





| Test | Conditions | N | Abbreviation |
|---|---|---|---|
| Consonant Identification | 61 | ||
| Word in Noise Recognition | 56 | ||
| French Matrix Test | 69 | FrMatrix | |
| Age | 70 | Age | |
| History of Hearing Pathology | 70 | History_of_Hearing_Pathology | |
| Years of Motocycling | 70 | Years_of_Motocycling | |
| AMDT | 60 dB SL 4000 Hz | 42 | AMDT_60dB_4000Hz |
| 60 dB SL 500 Hz | 55 | AMDT_60dB_500Hz | |
| 10 dB SL 4000 Hz | 55 | AMDT_10dB_4000Hz | |
| 10 dB SL 500 Hz | 55 | AMDT_10dB_500Hz | |
| FMDT | 60 dB SL 4000 Hz | 22 | FMDT_60dB_4000Hz |
| 60 dB SL 500 Hz | 61 | FMDT_60dB_500Hz | |
| 10 dB SL 4000 Hz | 23 | FMDT_10dB_4000Hz | |
| 10 dB SL 500 Hz | 45 | FMDT_10dB_500Hz | |
| 60 dB SL 4000 Hz Ability | 60 | FMDT_60dB_4000Hz_Ab | |
| 10 dB SL 4000 Hz Ability | 61 | FMDT_10dB_4000Hz_Ab | |
| 10 dB SL 500 Hz Ability | 61 | FMDT_10dB_500Hz_Ab | |
| DPOAE | Left Ear 1000 Hz | 59 | LE_DPOAE_1000Hz |
| Left Ear 1500 Hz | 62 | LE_DPOAE_1500Hz | |
| Left Ear 2000 Hz | 62 | LE_DPOAE_2000Hz | |
| Left Ear 3000 Hz | 62 | LE_DPOAE_3000Hz | |
| Left Ear 4000 Hz | 62 | LE_DPOAE_4000Hz | |
| Left Ear 5000 Hz | 58 | LE_DPOAE_5000Hz | |
| Right Ear 1000 Hz | 65 | RE_DPOAE_1000Hz | |
| Right Ear 1500 Hz | 63 | RE_DPOAE_1500Hz | |
| Right Ear 2000 Hz | 65 | RE_DPOAE_2000Hz | |
| Right Ear 3000 Hz | 65 | RE_DPOAE_3000Hz | |
| Right Ear 4000 Hz | 65 | RE_DPOAE_4000Hz | |
| Right Ear 5000 Hz | 61 | RE_DPOAE_5000Hz | |
| Tonal Audiometry | Left Ear 125 Hz | 70 | LE_125Hz |
| Left Ear 250 Hz | 70 | LE_250Hz | |
| Left Ear 500 Hz | 70 | LE_500Hz | |
| Left Ear 1000 Hz | 70 | LE_1000Hz | |
| Left Ear 2000 Hz | 70 | LE_2000Hz | |
| Left Ear 4000 Hz | 70 | LE_4000Hz | |
| Left Ear 8000 Hz | 70 | LE_8000Hz | |
| Left Ear EHF | 70 | LE_EHF | |
| Left Ear PTA | 70 | LE_PTA | |
| Right Ear 125 Hz | 70 | RE_125Hz | |
| Right Ear 250 Hz | 70 | RE_250Hz | |
| Right Ear 500 Hz | 70 | RE_500Hz | |
| Right Ear 1000 Hz | 70 | RE_1000Hz | |
| Right Ear 2000 Hz | 70 | RE_2000Hz | |
| Right Ear 4000 Hz | 70 | RE_4000Hz | |
| Right Ear 8000 Hz | 70 | RE_8000Hz | |
| Right Ear EHF | 70 | RE_EHF | |
| Right Ear PTA | 70 | RE_PTA | |
| Best Ear PTA | 70 | Best_Ear_PTA | |
| Electrocochleography | Left Ear Wave I 80 dB HL | 37 | LE_WaveI_80dB |
| Left Ear Wave I 90 dB HL | 38 | LE_WaveI_90dB | |
| Right Ear Wave I 80 dB HL | 49 | RE_WaveI_80dB | |
| Right Ear Wave I 90 dB HL | 52 | LE_WaveI_90dB | |
| Left Ear Wave I Slope | 34 | LE_Slope | |
| Right Ear Wave I Slope | 46 | RE_Slope |
Disclaimer/Publisher’s Note: The statements, opinions and data contained in all publications are solely those of the individual author(s) and contributor(s) and not of MDPI and/or the editor(s). MDPI and/or the editor(s) disclaim responsibility for any injury to people or property resulting from any ideas, methods, instructions or products referred to in the content. |
© 2024 by the authors. Licensee MDPI, Basel, Switzerland. This article is an open access article distributed under the terms and conditions of the Creative Commons Attribution (CC BY) license (http://creativecommons.org/licenses/by/4.0/).