Submitted:
02 May 2024
Posted:
03 May 2024
You are already at the latest version
Abstract
Keywords:
1. Introduction
2. Materials and Methods
2.1. Tree Data Sets
2.1. Data Exploration
Approaches to Individual Tree Volume Prediction
2.1. Indicator Variables Analysis
- are as previously defined,
- are dichotomous variables,
- are parameters to be estimated,
2.1. Total Bole Volume Model Fitting
- Schumacher and Hall’s (1933) equation (SH):
- total stem volume content outside bark (m3)
- normal diameter at 1.30 meters from the ground outside bark (cm)
- total tree height (m)
- natural logarithm
- error term.
- coefficients to be estimated.
- a.
- (CV01) Original equation
- b.
- Weighted linear regression using four different weights:
- (CV02) Weight 1 = 1/ Fitted Values from the original linear regression between the dependent variable “observed volume” (Vol), and the predictor normal diameter squared times total tree height (D2H).
- (CV03) Weight 2 = 1/fitted value resulting from fitting absolute values of original residuals against the fitted values of original combined variable regression.
- (CV04) Weight 3 = 1/fitted value resulting from fitting squared values of original residuals against the fitted values of original combined variable regression.
- (CV05) Weight 4 = 1/ , where the variance of ɛ is assumed to be proportional to [13].
- CV0i = Variant identification code for model [2],
- C = exponent to be assumed or estimated.
- (SH01) De-transformation of the logarithmic conversion (), solved by employing linear regression and correcting for bias. The correction is achieved by adding one-half of the estimated variance from the fitted regression before exponentiation [14]. The resulting expression is:
- = corrected estimate of the stem volume outside bark.
- = mean volume outside bark estimated in log scale.
- =half estimated variance in log scale.
2.1. Statistical Analysis
2.1. Evaluation Criteria
2.1.1. Model Validation and Goodness of Fit Statistics
2.1.1. Ranking of Models
2.1.1. Residual and QQ Plot Graphs
3. Results
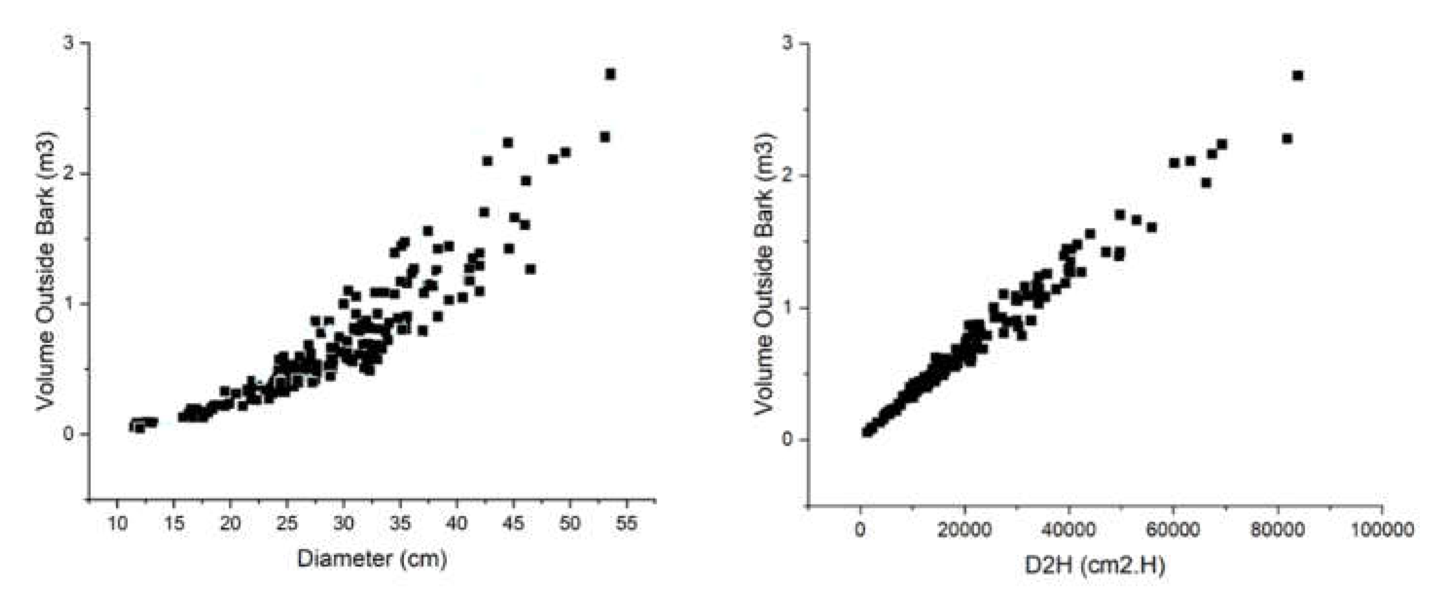
3.1. Data Exploration
3.1. Indicator Variables Analysis (IVA)
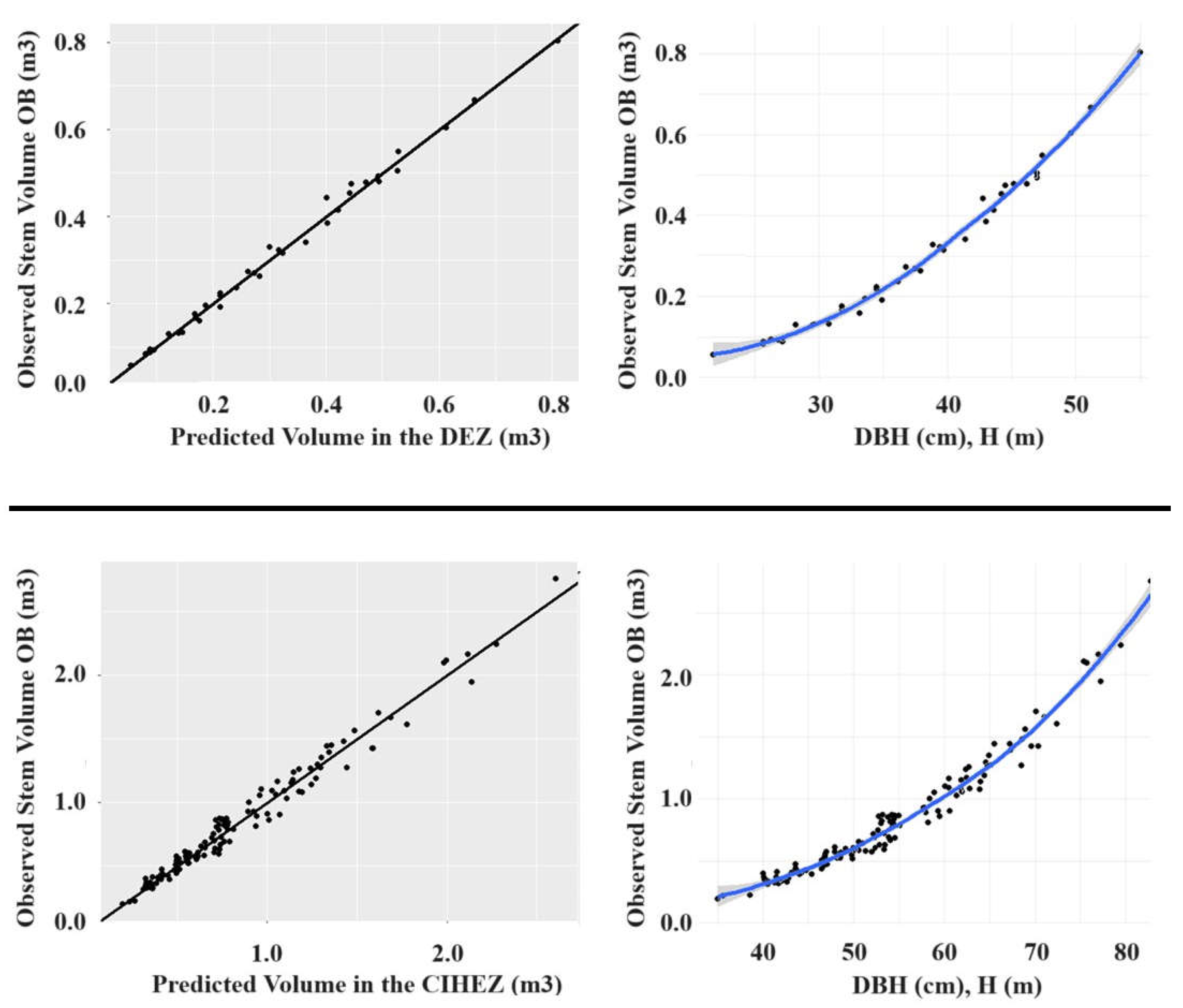
3.1. Total Bole Volume Model Fitting in the DEZ and the Combined IEZ and HEZ Ecological Zone (CIHEZ)
4. Discussion
5. Conclusions
Author Contributions
Funding
Data Availability Statement
Acknowledgments
Conflicts of Interest
References
- Kangas, A.; Pitkänen, T.P.; Mehtätalo, L.; Heikkinen, J. (2023) Mixed linear and non-linear tree volume models with regional parameters to main tree species in Finland, Forestry: An International Journal of Forest Research, 96:2, 188–206, https://doi.org/10.1093/forestry/cpac038. [CrossRef]
- Li, R.; Weiskittel, A.R. (2010) Comparison of model forms for estimating stem taper and volume in the primary conifer species of the North American Acadian Region. Ann. For. Sci. 67:302. https://doi.org/10.1051/forest/2009109. [CrossRef]
- Clutter, J.L.l; Fortson, J.C.; Pienaar, L.V.; Brister, G.H.; Bailey, R.L. (1983) Timber management: a quantitative approach. (First edition) Krieger Publishing Company, Malabar, Florida. 333 p.
- Bates, D.M.; Watts, D.G. (2014) Nonlinear Regression Analysis and its Applications (First ed.). Wiley India Pvt. Ltd., John Wiley & Sons, Inc., New York. 365 p.
- Vibrans, A.C.; Moser, P.; Oliveira, L.Z.; Maçaneiro, J.P. (2016) Generic and specific stem volume models for three subtropical forest types in southern Brazil. Annals of Forest Science. https://doi.org/10.1007/s13595-015-0481-x. [CrossRef]
- MMARN - MINISTERIO DE MEDIO AMBIENTE Y RECURSOS NATURALES (2021). Inventario Nacional Forestal de la República Dominicana. Programa Regional de Reducción de Emisiones de la Deforestación y Degradación de Bosques en Centroamérica y Republica Dominicana (REDD III). Santo Domingo, República Dominicana. 292 pp.
- Schumacher, F.X.; Hall, F.S. (1933) Logarithmic expression of timber-tree volume. Journal of Agricultural Research. 47:9, 719–734.
- Bennett, F.A.; McGee, C.E.; Clutter, J.L. (1959) Yield of old-field slash pine plantations. U.S.D.A. For. Serv., S. E. For. Exp. Stn. Paper No. 107.
- Azevedo, G.B.; Tomiazzi, H.V.; Azevedo, S.; Pereira, L.; Teodoro, R.; Pereira de Souza, T.; Silva, T.; Philipe, B.; Guerra, S. (2020) Multi-volume modeling of Eucalyptus trees using regression and artificial neural networks PLOSONE. 1- 17. https://doi.org/10.1371/journal.pone.0238703. [CrossRef]
- Holdridge, L. (1987) Ecología basada en zonas de vida. First edition. Instituto Interamericano de Cooperación para la Agricultura, San José, Costa Rica. 304 p.Abreu JC, Soares CPB, Leite HG, Binoti DHB and Silva GF (2020) Alternatives to estimate the volume of individual trees in forest formations in the state of Minas Gerais-Brazil. CERNE, 26:3, 393-402. https://doi.org/10.1590/01047760202026032728. [CrossRef]
- Bueno-López, S.W. (2009) Understanding Growth and Yield of Pinus Occidentalis, Sw. in La Sierra, Dominican Republic (Doctor of Philosophy Degree Dissertation). State University of New York College of Environmental Science and Forestry. Syracuse. New York. 256 p.
- Burkhart, H.E.; Tomé, M. (2012). Modeling Forest Trees and Stands. First edition. Springer Science & Business Media. 457 p. https://doi.org/10.1007/978-90-481-3170-9. [CrossRef]
- Picard, N.; Saint-André, L.; Henry, M. (2012) Manual for building tree volume and biomass allometric equations: from field measurement to prediction. (First edition) Food and Agricultural Organization of the United Nations, Rome, and Centre de Coopération Internationale en Recherche Agronomique pour le Développement, Montpellier. 215 pp.
- Flewelling, J.W.; Pienaar, L.V. (1981) Multiplicative regression with lognormal errors. Forest Science 27:3, 281-289.
- RStudio Team (2020) RStudio: Integrated Development for R. RStudio, PBC, Boston, MA URL http://www.rstudio.com/.
- Hu, N. (2003) Development of a new variable-form taper equation to investigate differences in stem form following release in eastern white pine (Pinus strobus L.). (Master of Science Thesis). State University of New York; College of Environmental Science and Forestry, Syracuse, New York. 97p.
- Alvarado-Segura, A.A.; Zamudio-Sánchez, F.J.; De La Cruz-De La Cruz, K,I, (2020) A Procedure For Choosing Tree-Stem Volume Equations Previously Fitted in a Forest. Journal of Sustainable Forestry. 1 – 14. https://doi.org/10.1080/10549811.2020.1711776. [CrossRef]
- Abreu, J.C.; Soares, C.P.B.; Leite, H.G.; Binoti, D.H.B.; Silva, G.F. (2020) Alternatives to estimate the volume of individual trees in forest formations in the state of Minas Gerais-Brazil. CERNE. 26:3, 393-402. https://doi.org/10.1590/01047760202026032728. [CrossRef]
- Castillo-López, A.; Quiñonez-Barraza, G.; Diéguez-Aranda, U.; Corral-Rivas, J.J. (2021) Compatible Taper and Volume Systems Based on Volume Ratio Models for Four Pine Species in Oaxaca Mexico. Forests 12, 145. https://doi.org/10.3390/f12020145. [CrossRef]
- Valerio-Hernández, L.A.; Campos-Vanegas, W.A.; Cruz-Tórrez, L.E.; Pena-Ortiz, J.A.; Vargas-Larreta, B. (2024) Improving Volume and Biomass Equations for Pinus oocarpa in Nicaragua. Forests, 15, 309. https://doi.org/10.3390/f15020309. [CrossRef]
- Sharma, M. (2021) Total and Merchantable Volume Equations for 25 Commercial Tree Species Grown in Canada and the Northeastern United States. Forests, 12, 1270. https://doi.org/10.3390/f12091270. [CrossRef]
- Sharma, M. (2020) Increasing Volumetric Prediction Accuracy: An Essential Prerequisite for End-Product Forecasting in Red Pine. Forests, 11,1050; https://doi.org/10.3390/f11101050. [CrossRef]
- Ercanli, I.; Senyurt, M.; Bolat, F. (2022). A major challenge to machine learning models: compatible predictions with biological realism in forestry: a case study of individual tree volume. In: Proceeding of the “3rd International Conference on Environment and Forest Conservation (ICEFC)”. Kastamonu (Turkey) 21-23 Feb 2022, pp. 39.
- Sahin, A. (2024). Analyzing regression models and multi-layer artificial neural network models for estimating taper and tree volume in Crimean pine forests. iForest 17: 36-44. – doi: 10.3832/ifor4449-017. [CrossRef]
- Sharma, M. (2019) Inside and outside bark volume models for jack pine (Pinus banksiana) and black spruce ( Picea mariana ) plantations in Ontario, Canada. The Forestry Chronicle 95:01, 50-57. https://doi.org/10.5558/tfc2019-009. [CrossRef]




| Variable | Ecological Zone | n | Mean | Std Dev | Minimum | Maximum |
|---|---|---|---|---|---|---|
| Fitting Data Set | ||||||
| Diameter (cm) | DEZ | 37 | 22.13 | 6.57 | 11.50 | 42.00 |
| IEZ | 48 | 32.63 | 8.34 | 16.50 | 53.50 | |
| HEZ | 72 | 31.18 | 5.18 | 21.50 | 46.50 | |
| Height (m) | DEZ | 37 | 16.49 | 2.92 | 10.30 | 24.00 |
| IEZ | 48 | 19.78 | 2.78 | 14.00 | 25.10 | |
| HEZ | 72 | 24.65 | 4.76 | 14.50 | 35.00 | |
| Volume (m3) | DEZ | 37 | 0.34 | 0.22 | 0.06 | 1.10 |
| IEZ | 48 | 0.66 | 0.24 | 0.32 | 1.30 | |
| HEZ | 72 | 0.98 | 0.57 | 0.20 | 2.76 | |
| Validation Data Set | ||||||
| Diameter (cm) | DEZ | 85 | 21.32 | 7.95 | 8.00 | 42.10 |
| IEZ | 90 | 27.26 | 8.20 | 11.00 | 54.20 | |
| HEZ | 75 | 30.06 | 7.87 | 10.60 | 50.10 | |
| Height (m) | DEZ | 85 | 16.33 | 4.46 | 7.30 | 26.10 |
| IEZ | 90 | 19.96 | 4.06 | 10.10 | 27.80 | |
| HEZ | 75 | 20.65 | 3.40 | 9.40 | 27.40 | |
| Volume (m3) | DEZ | 85 | 0.35 | 0.25 | 0.10 | 1.23 |
| IEZ | 90 | 0.55 | 0.35 | 0.12 | 2.22 | |
| HEZ | 75 | 0.64 | 0.36 | 0.11 | 1.81 | |
| Zone Analysis | Intercept | Slope |
|---|---|---|
| HEZ versus DEZ | Different: = 0.0277 | Same: =0.1414 |
| HEZ versus IEZ | Same: = 0.4851 | Same: =0.974 |
| DEZ versus IEZ | Same: = 0.104 | Different: =0.0294 |
| Fit Statistics | Validation Statistics | Ranking | ||||||||||
|---|---|---|---|---|---|---|---|---|---|---|---|---|
| Model | Variant Code | RMSE (Rank) | BIAS (Rank) | SSRR (Rank) | RVE (Rank) | AIC (Rank) | RMSE (Rank) | BIAS (Rank) | SSRR (Rank) | RVE (Rank) | Sum Rank | Overall Rank |
| Model (2): Effect Variable D2H | CV01 | 1.61E-02 | 3.87E-19 | 1.06E-01 | 2.82E-04 | -1.95E+02 | 7.92E-02 | -1.32E-02 | 5.98E+00 | 3.52E-03 | 46 | 6 |
| (5) | (1) | (9) | (9) | (8) | (4) ) |
(5) | (1) | (4) | ||||
| CV02 | 1.62E-02 | 9.96E-19 | 9.66E-02 | 2.80E-04 | -2.07E+02 | 8.11E-02 | -1.28E-02 | 6.41E+00 | 3.63E-03 | 38 | 3 | |
| (6) | (2) | (6) | (5) | (4) | (5) ) |
(3) | (2) | (5) | ||||
| CV03 | 1.62E-02 | -2.41E-04 | 9.67E-02 | 2.80E-04 | -2.06E+02 | 8.21E-02 | -1.37E-02 | 6.42E+00 | 3.71E-03 | 53 | 7 | |
| (7) | (6) | (7) | (6) | (5) | (7) | (6) | (3) | (6) | ||||
| CV04 | 1.63E-02 | -5.93E-04 | 9.57E-02 | 2.81E-04 | -2.12E+02 | 8.31E-02 | -1.38E-02 | 6.59E+00 | 3.77E-03 | 58 | 8 | |
| (9) | (8) | (4) | (8) | (1) | (8) | (7) | (5) | (8) | ||||
| CV05 | 1.63E-02 | -6.83E-04 | 9.62E-02 | 2.81E-04 | -2.11E+02 | 8.32E-02 | -1.42E-02 | 6.51E+00 | 3.77E-03 | 61 | 9 | |
| (8) | (9) | (5) | (7) | (2) | (9) | (8) | (4) | (9) | ||||
| Model (3): Effect Variables D, H | SH01 | 1.48E-02 | 2.70E-04 | 9.55E-02 | 2.49E-04 | -1.08E+02 | 7.36E-02 | -1.30E-02 | 7.20E+00 | 3.19E-03 | 41 | 4 |
| (4) | (7) | (1) | (4) | (9) | (3) | (4) | (6) | (3) | ||||
| SH02 | 1.46E-02 | -1.81E-04 | 9.85E-02 | 2.39E-04 | -2.00E+02 | 7.02E-02 | -9.89E-03 | 7.28E+00 | 2.97E-03 | 31 | 1 | |
| (1) | (5) | (8) | (1) | (6) | (1) | (1) | (7) | (1) | ||||
| SH03 | 1.47E-02 | -6.23E-06 | 9.56E-02 | 2.43E-04 | -2.11E+02 | 8.14E-02 | -1.89E-02 | 7.33E+00 | 3.71E-03 | 44 | 5 | |
| (3) | (3) | (2) | (3) | (3) | (6) | (9) | (8) | (7) | ||||
| SH04 | 1.47E-02 | -2.54E-05 | 9.56E-02 | 2.42E-04 | -1.97E+02 | 7.15E-02 | -1.02E-02 | 7.33E+00 | 3.06E-03 | 33 | 2 | |
| (2) | (4) | (3) | (2) | (7) | (2) | (2) | (9) | (2) | ||||
| Fit Statistics | Validation Statistics | Ranking | |||||||||||
|---|---|---|---|---|---|---|---|---|---|---|---|---|---|
| Model | Variant Code | RMSE (Rank) | BIAS (Rank) | SSRR (Rank) | RVE (Rank) | AIC (Rank) | RMSE (Rank) | BIAS (Rank) | SSRR (Rank) | RVE (Rank) | Sum Rank | Overall Rank | |
| Model (2): Effect Variable D2H | CV01 | 7.85E-02 | 6.11E-18 | 1.06E+00 | 6.31E-03 | -2.67E+02 | 1.01E-01 | -7.29E-02 | 2.22E+00 | 6.70E-03 | 50 | 7 | |
| (5) | (2) | (9) | (9) | (8) | (4) | (8) | (1) | (4) | |||||
| CV02 | 7.87E-02 | -4.01E-18 | 1.01E+00 | 6.19E-03 | -2.99E+02 | 1.03E-01 | -7.06E-02 | 2.39E+00 | 6.84E-03 | 41 | 4 | ||
| (6) | (1) | (7) | (6) | (5) | (5) | (4) | (2) | (5) | |||||
| CV03 | 7.89E-02 | -1.29E-03 | 1.01E+00 | 6.17E-03 | -3.01E+02 | 1.06E-01 | -7.24E-02 | 2.56E+00 | 7.17E-03 | 49 | 6 | ||
| (7) | (7) | (6) | (5) | (3) | (6) | (5) | (3) | (7) | |||||
| CV04 | 8.08E-02 | -5.31E-03 | 1.00E+00 | 6.19E-03 | -3.11E+02 | 1.14E-01 | -7.27E-02 | 3.23E+00 | 7.81E-03 | 59 | 8 | ||
| (9) | (8) | (5) | (7) | (2) | (9) | (6) | (5) | (8) | |||||
| CV05 | 8.07E-02 | -7.43E-03 | 1.02E+00 | 6.21E-03 | -3.00E+02 | 1.14E-01 | -7.43E-02 | 3.10E+00 | 7.85E-03 | 67 | 9 | ||
| (8) | (9) | (8) | (8) | (4) | (8) | (9) | (4) | (9) | |||||
| Model (3): Effect Variables D, H | SH01 | 7.59E-02 | -5.22E-04 | 9.56E-01 | 5.94E-03 | -2.39E+02 | 9.49E-02 | -6.17E-02 | 4.14E+00 | 6.02E-03 | 35 | 2 | |
| (4) | (5) | (1) | (4) | (9) | (2) | (2) | (6) | (2) | |||||
| SH02 | 7.55E-02 | 6.86E-04 | 9.57E-01 | 5.86E-03 | -2.74E+02 | 9.86E-02 | -6.53E-02 | 4.33E+00 | 6.41E-03 | 36 | 3 | ||
| (1) | (6) | (2) | (3) | (7) | (3) | (3) | (8) | (3) | |||||
| SH03 | 7.56E-02 | 2.08E-04 | 9.65E-01 | 5.83E-03 | -3.12E+02 | 9.43E-02 | -6.14E-02 | 4.22E+00 | 5.97E-03 | 23 | 1 | ||
| (2) | (4) | (4) | (2) | (1) | (1) | (1) | (7) | (1) | |||||
| SH04 | 7.56E-02 | -9.23E-05 | 9.65E-01 | 5.81E-03 | -2.98E+02 | 1.08E-01 | -7.27E-02 | 4.75E+00 | 7.43E-03 | 45 | 5 | ||
| (3) | (3) | (3) | (1) | (6) | (7) | (7) | (9) | (6) | |||||
| CV (Model (2)) | S & H (Model (3)) | |||||||||
|---|---|---|---|---|---|---|---|---|---|---|
| Parameters | Statistics | CV01 | CV02 | CV03 | CV04 | CV05 | SH01 | SH02 | SH03 | SH04 |
| Residual Est. Error | 1.66E-02 | 2.79E-02 | 1.25E+00 | 6.07E+01 | 6.87E-05 | 1.48E-02 | 1.52E-02 | 3.16E-05 | 1.47E-02 | |
| Adjusted R2 | 9.92E-01 | 9.93E-01 | 9.92E-01 | 9.92E-01 | 7.60E-01 | 9.93E-01 | 9.93E-01 | 9.93E-01 | 9.93E-01 | |
| B0 | Estimate | 1.59E-02 | 1.35E-02 | 1.34E-02 | 1.25E-02 | 1.29E-02 | 6.14E-05 | 5.81E-05 | 5.88E-05 | 5.84E-05 |
| Lower Bound 95% CI | 5.54E-03 | 6.80E-03 | 6.36E-03 | 7.69E-03 | 7.66E-03 | 4.69E-05 | 4.29E-05 | 4.48E-05 | 5.84E-05 | |
| Upper Bound 95% CI | 2.63E-02 | 2.02E-02 | 2.05E-02 | 1.73E-02 | 1.81E-02 | 8.04E-05 | 7.85E-05 | 7.71E-05 | 5.84E-05 | |
| Pr(>|t|) Bo | 3.66E-03 | 2.43E-04 | 4.72E-04 | 6.80E-06 | 1.49E-05 | 5.59E-39 | 1.02E-07 | 1.00E-08 | 9.99E-09 | |
| B1 | Estimate | 3.44E-05 | 3.46E-05 | 3.47E-05 | 3.48E-05 | 3.48E-05 | 1.82E+00 | 1.78E+00 | 1.82E+00 | 1.81E+00 |
| Lower Bound 95% CI | 3.33E-05 | 3.37E-05 | 3.36E-05 | 3.38E-05 | 3.38E-05 | 1.73E+00 | 1.67E+00 | 1.72E+00 | 1.81E+00 | |
| Upper Bound 95% CI | 3.54E-05 | 3.56E-05 | 3.57E-05 | 3.59E-05 | 3.58E-05 | 3.63E+00 | 1.89E+00 | 1.91E+00 | 1.81E+00 | |
| Pr(>|t|) B1 | 1.44E-38 | 1.51E-39 | 1.11E-38 | 7.22E-39 | 5.88E-40 | 1.52E-30 | 1.07E-27 | 2.04E-30 | 2.97E-30 | |
| B2 | Estimate | 1.02E+00 | 1.08E+00 | 1.04E+00 | 1.04E+00 | |||||
| Lower Bound 95% CI | 8.79E-01 | 9.64E-01 | 8.95E-01 | 1.04E+00 | ||||||
| Upper Bound 95% CI | 2.04E+00 | 1.19E+00 | 1.18E+00 | 1.04E+00 | ||||||
| Pr(>|t|) B2 | 3.88E-16 | 9.02E-20 | 1.75E-16 | 1.35E-16 | ||||||
| C | Estimate | 1.74E+00 | 2.00E+00 | 1.90E+00 | ||||||
| CV (Model (2)) | S & H (Model (3)) | |||||||||
|---|---|---|---|---|---|---|---|---|---|---|
| Parameters | Statistics | CV01 | CV02 | CV03 | CV04 | CV05 | SH01 | SH02 | SH03 | SH04 |
| Residual Est. Error | 5.82E-02 | 4.81E-02 | 4.61E-02 | 3.27E-02 | 3.63E-02 | 6.13E-05 | 5.86E-05 | 5.67E-05 | 5.57E-05 | |
| Adjusted R2 | 3.04E-02 | 2.55E-02 | 2.34E-02 | 1.65E-02 | 1.70E-02 | 4.63E-05 | 4.33E-05 | 4.28E-05 | 5.57E-05 | |
| B0 | Estimate | 8.60E-02 | 7.07E-02 | 6.88E-02 | 4.89E-02 | 5.55E-02 | 8.15E-05 | 7.92E-05 | 7.50E-05 | 5.58E-05 |
| Lower Bound 95% CI | 6.27E-05 | 4.80E-05 | 1.03E-04 | 1.13E-04 | 2.98E-04 | 3.84E-96 | 1.36E-09 | 1.33E-10 | 1.07E-10 | |
| Upper Bound 95% CI | 3.13E-05 | 3.17E-05 | 3.19E-05 | 3.26E-05 | 3.25E-05 | 1.82E+00 | 1.79E+00 | 1.78E+00 | 1.79E+00 | |
| Pr(>|t|) Bo | 3.04E-05 | 3.07E-05 | 3.08E-05 | 3.15E-05 | 3.14E-05 | 1.74E+00 | 1.71E+00 | 1.70E+00 | 1.79E+00 | |
| B1 | Estimate | 3.23E-05 | 3.28E-05 | 3.30E-05 | 3.37E-05 | 3.36E-05 | 3.65E+00 | 9.72E-01 | 1.86E+00 | 1.79E+00 |
| Lower Bound 95% CI | 5.65E-95 | 9.39E-92 | 1.66E-88 | 5.40E-90 | 2.43E-91 | 1.67E-75 | 4.29E-76 | 5.83E-75 | 3.44E-75 | |
| Upper Bound 95% CI | 1.01E+00 | 1.06E+00 | 1.08E+00 | 1.08E+00 | ||||||
| Pr(>|t|) B1 | 9.28E-01 | 1.87E+00 | 9.89E-01 | 1.08E+00 | ||||||
| B2 | Estimate | 2.02E+00 | 1.14E+00 | 1.17E+00 | 1.08E+00 | |||||
| Lower Bound 95% CI | 5.59E-46 | 2.36E-48 | 2.71E-47 | 3.74E-47 | ||||||
| Upper Bound 95% CI | 2.03E+00 | 2.00E+00 | 2.20E+00 | |||||||
| Pr(>|t|) B2 | 7.91E-02 | 8.08E-02 | 1.17E+00 | 1.29E+01 | 6.45E-05 | 7.59E-02 | 7.55E-02 | 6.80E-05 | 7.56E-02 | |
| C | Estimate | 9.73E-01 | 9.69E-01 | 9.65E-01 | 9.67E-01 | 9.68E-01 | 9.73E-01 | 9.73E-01 | 9.74E-01 | 9.74E-01 |
Disclaimer/Publisher’s Note: The statements, opinions and data contained in all publications are solely those of the individual author(s) and contributor(s) and not of MDPI and/or the editor(s). MDPI and/or the editor(s) disclaim responsibility for any injury to people or property resulting from any ideas, methods, instructions or products referred to in the content. |
© 2024 by the authors. Licensee MDPI, Basel, Switzerland. This article is an open access article distributed under the terms and conditions of the Creative Commons Attribution (CC BY) license (http://creativecommons.org/licenses/by/4.0/).