Preprint
Article

This version is not peer-reviewed.

The Effectiveness of Pattern Scanning Laser Trabeculoplasty as an Additional Treatment for the Patients of Open-Angle Glaucoma Receiving Full Ocular Hypotensive Medications.

A peer-reviewed article of this preprint also exists.

Submitted:

28 April 2024

Posted:

29 April 2024

You are already at the latest version

Abstract
Purpose: To examine the effectiveness of patterned laser trabeculoplasty (PSLT) as an additional treatment for patients of open-angle glaucoma (OAG) receiving maximized ocular hypotensive medications (OHM). Methods: Forty eyes of 33 patients (average age 72.7±10.7 years) who had not previously undergone open glaucoma surgery or laser trabeculoplasty and were treated with maximized OHM between June 2018 and March 2022 were included. A 360-degree PSLT was conducted and postoperative intraocular pressure (IOP) and survival curves at 1, 3, 6, 9, and 12 months were evaluated. Results: According to the Kaplan-Meier survival analysis, the average survival time was 8.1 months with death defined as postoperative IOP reduction of less than 10% or requiring additional treatment. The average survival time was 4.9 months with death defined as postoperative IOP reduction of less than 20% or requiring additional treatment. In the 31 eyes which received no additional treatment after PSLT, the mean preoperative IOP was 18.5±3.9 mmHg, which reduced to 15.3±4.1 mmHg (p=1.62 x 10-6)), 15.5±3.4 mmHg (p=1.51 x 10-5), 15.7±4.0 mmHg (p=1.75 x 10-5), 14.7±4.38 (p=2.89 x 10-6), and 15.0±4.0 mmHg (p=5.74 x 10-9) at 1, 3, 6, 9 and 12 months after PSLT, respectively. The IOP reduction rate one year after PSLT was 18.7%. Thirteen of the 31 eyes (42%) achieved a 20% reduction in IOP compared to the baseline. Conclusion: Adjunctive treatment with PSLT in OAG patients receiving maximized OHM may be effective over 12-months of follow-up.
Keywords: 
;  ;  

1. Introduction

Recently, various modalities have been developed for treating glaucoma [1], but glaucoma is still one of the most common causes of premature blindness. The only established treatment for glaucoma is to lower intraocular pressure (IOP). Laser trabeculoplasty (LTP) is one of the surgical treatments for glaucoma that is often performed in clinical practice [2,3]. There are several modalities developed as LTP. Wise et al. introduced argon laser trabeculoplasty (ALT) in 1979 [4], and Latina et al. proposed selective laser trabeculoplasty (SLT) in 1995 [5]. Pattern scanning laser trabeculoplasty (PSLT) using the PASCAL® laser developed by TOPCON was proposed in 2006 [6]. PSLT is a treatment method that allows multiple coagulations to be made at once, and the irradiation area can be controlled by computer-based monitoring. A pilot study reported an average IOP reduction rate 6 months after 532 nm wavelength PSLT was 24% [6]. Wong et al. reported that the IOP reduction rate 1 year after PSLT was 11.6% [7] and Mansouri et al. reported that the IOP reduction rate 1 year after PSLT was estimated to be 14% [8]. Although SLT using a Q-switched laser is likely the most commonly performed LTP in the current clinical practice [9], several reports described that the IOP lowering rate of 577 nm wavelength PSLT and SLT was equivalent after 6 and 12 months [10]. However, many of these reports administrated LTP only after the ocular hypotensive medications (OHM) had been washed out, or at a stage where the number of OHM was not maximized. It is a relatively common situation to consider LTP after the number of OHM reaches the maximum in ordinary clinical practices, hence the effects of PSLT in this condition are likely worth evaluating.
Here, we retrospectively investigated the effectiveness of 577 nm wavelength PSLT as an additional treatment for open-angle glaucoma (OAG) patients receiving maximized OHM.

2. Subjects and Methods

This study was approved by the Institutional Review Board at the Osaka Metropolitan University Graduate School of Medicine (No. 2023-116) and was conducted following the Declaration of Helsinki. All cases in this study were Japanese individuals recruited from the Department of Ophthalmology at Osaka Metropolitan University Hospital in Japan. Written informed consent for using ordinary clinical data in the following retrospective studies was obtained from all subjects at their first visit to the hospital and an opt-out for this study was indicated on the department website after approval of the study by the Institutional Review Board at the Osaka Metropolitan University Graduate School of Medicine.
The records of consecutive OAG patients who had not previously undergone any glaucoma surgery or LTP and received maximized OHM for glaucoma between June 2018 and March 2022 were reviewed in this study. The maximized OHM consists of the combinations of 3 or more eye drops including prostaglandin F2 analogs, beta-blockers, carbonic anhydrase inhibitors, α2 adrenergic agonists, and Rho kinase inhibitors. The cases of OAG secondary to uveitis, steroid use, or neovascular glaucoma were excluded. Gonioscopically open angles were a requirement for study inclusion. All IOP measurements were performed using Goldmann applanation tonometry. Visual fields were assessed by a Humphrey field analyzer (HFA) or Goldmann perimetry every 3-6 months, or more frequently if a progression of visual field defect was suspected.
PSLT was performed as an additional treatment without reducing the number of OHM used before the treatment. For PSLT, PASCAL Streamline 577® (wavelength 577 nm) (TOPCON, Tokyo, Japan) was used. The treatment procedure was followed to the company's instruction. Single mirror gonio laser lens (1x Indexing Lens; Ocular Instruments, Bellevue, WA, USA) was used to project and align the laser patterns onto the trabecular meshwork (TM). Laser power was titrated by placing a single laser spot (100 μm diameter) in the inferior quadrant at 10 ms exposure duration. In all cases, a starting power level of 200 mW was chosen and power was reduced or increased until a barely visible lesion (light blanching of TM) was achieved. In a majority of eyes, some degree of pigmentation was visible in the inferior chamber angle (where titration was performed). In the absence of pigmentation, PSLT procedure was performed with 400 mW. After titration, power was maintained but the pulse duration was automatically reduced to 5 ms to produce subvisible lesions. The 360° treatment of TM was administered in 32 steps, where each pattern is composed of 36 spots: three rows of 13 spots each (1152 in total), with zero spacing between the adjacent spots. Apraclonidine eye drops were administered 30 minutes before and after laser treatment to prevent a transient increase in IOP. Postoperatively, 0.1% fluorometholone eye drops were administered as an anti-inflammatory agent, and cases suspected of being steroid responders were given 0.1% bromfenac sodium hydrate eye drops for one week. PSLT was performed once and not repeated over 12 months of follow-up. The IOP was measured monthly, and if a high IOP (>21mmHg) was found, it was measured again within a few weeks. If a continuous increase in IOP and/or a worsened visual field was found, additional surgery (trabeculotomy or trabeculectomy) was performed.
The primary outcome measure was the IOP reduction rate at 12 months postoperatively. Changes in the IOP values, and survival curve at 1, 3, 6, 9, and 12 months postoperatively were also evaluated. To investigate the changes in the IOP after PSLT, cases who underwent additional surgery during the follow-up period were excluded from the assessment.
For statistics, IBM, SPSS ver.24.0 software was used. Changes in the IOP were evaluated using a paired t-test. Survival analysis was assessed using the Kaplan-Meier survival analysis table. A p-value of less than 0.05 was considered to be statistically significant.

3. Results

The baseline characteristics of the participants are shown in Table 1. Forty eyes of 33 patients were included in this study. The average age was 72.7±10.7 years (57-89 years), 19 patients were male and 14 patients were female. The disease types were: 35 eyes had primary open-angle glaucoma (POAG), and 5 eyes had pseudoexfoliation glaucoma (PEG). The average preoperative IOP was 20.1 ± 4.9 mmHg, and the eye drop score (counting 1 for single agents, 2 for combination agents) was 4.1 ± 1.1. The PSLT irradiation conditions were: average number of coagulations was 1297, average laser power was 338 mW, and average irradiation energy was 1.69 mJ. As for postoperative complications, one patient (2.5%) had a transient increase in IOP exceeding 5 mmHg compared to the preoperative level, and no other changes such as anterior iris adhesion were observed in any patient.
At 12 months after PSLT, 23 out of 40 eyes (57.5%) showed a reduction in IOP of 10% or more compared to the baseline, and 13 eyes (32.5%) showed a reduction of 20% or more. Thirty-one out of 40 eyes (77.5%) were able to follow up for one year without any changes in the eye drops or additional treatments such as open glaucoma surgery. The other 9 eyes had increased IOP (3 eyes) or worsened visual field (6 eyes) during the course and underwent additional surgery (trabeculotomy for 1 eye, Express® device insertion for 1 eye, and trabeculectomy for 7 eyes), hence they were excluded from the subsequent analyses.
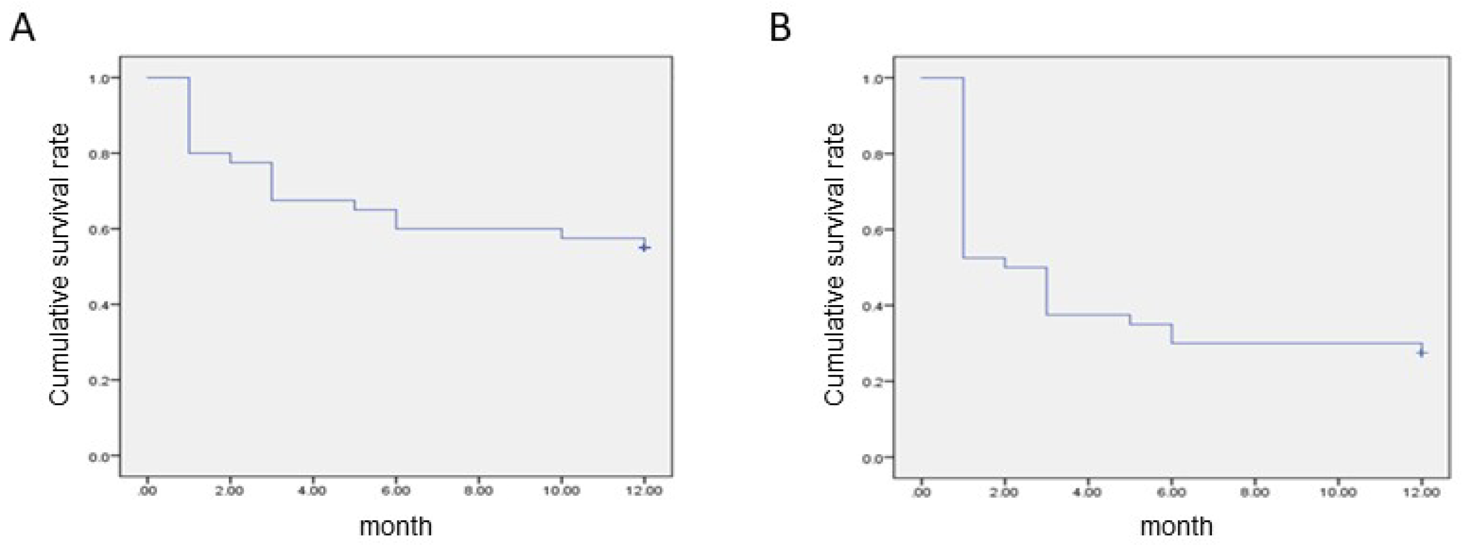
Results of Kaplan Meier survival analysis of 40 eyes are shown in Table 2, Table 3, and Figure 1. If death was defined as the point in time when the rate of decrease in IOP was less than 10% twice in a row, the average survival time over 12 months was 8.1 months (Table 2 and Figure 1A). If death was defined as the point in time when the rate of decrease in IOP was less than 20% on two consecutive occasions, the average survival time over a 12-month period was 4.9 months (Table 3 and Figure 1B).
Figure 2 shows the chronological change in IOP in the 31 eyes which did not require any change of eye drops or additional treatment after PSLT. The average IOP before PSLT was 18.5 ± 3.9 mmHg, and the average IOP and the IOP reduction rate after PSLT was 15.3 ± 4.1 mmHg (p =1.62 x 10-6), 17.3%; 15.5±3.4mmHg (p=1.51 x 10-5), 16.2%; 15.7±4.0mmHg (p=1.75 x 10-5), 15.1%; 14.7±4.38 (p=2.89 x 10-6), 20.5%; and 15.0±4.0mmHg (p=5.74 x 10-9), 18.9%, at 1, 3, 6, 9, 12 months, respectively.

4. Discussions

In the present study, we have demonstrated that PSLT for the OAG cases receiving maximized OHM may have some treatment effects over a 12-month period. Namely, 58% of the eyes showed a 10% or more reduction in IOP after PSLT and 78% of the eyes could avoid additional treatments after PSLT during this period.
A previous report mentioned that the IOP-lowering effect of PSLT was 24% after 6 months [6]. Another report showed that the IOP reduction rate 6 months after PSLT was approximately 19% [8]. They stated that the IOP reduction rate may have been modest due to the lower baseline IOP than the previous report. In this study, the IOP reduction rate after PSLT was approximately 15% at 6 months and approximately 19% at 1 year in the eyes which required no additional treatments. The effect of PSLT on lowering IOP might be limited in the present study compared to the previous reports since we performed PSLT as an additional treatment for OAG patients who were being treated with maximized OHM, which were likely more severe baseline conditions of glaucoma than those in the previous studies using PSLT. A previous report demonstrated that PSLT for uncontrolled ocular hypertension or POAG resulted in the reduction of IOP from 20.3 mmHg to 15.9 mmHg (20.8% reduction) [11], which was consistent with our results. Kontić et al. reported that SLT reduced the mean IOP from 20.5 mmHg to 16.0 mmHg (21.9% reduction) at 12 months post-operatively in OAG patients receiving maximal medical therapy [12], which was almost equivalent to the result of this study. In contrast, 9 eyes out of 40 required additional glaucoma surgery due to an elevation of IOP or a deterioration of visual field defects during the follow-up period. Therefore, only 31 eyes could be assessed for the IOP reduction rate over 12 months. In Kaplan Meier survival analysis, the 12-month survival rate was 0.28 when death was defined as failure to reduce IOP by 20% or more than preoperative levels. Elahi et al. reported that the 1-year survival rate after PSLT was 0.44, which was higher than our study's results [10]. However, in the present study, PSLT was administrated in more advanced stages having a larger number of OHM and more progressed visual field impairment, while in the previous reports, the average mean defect (MD) was about 5 dB in Humphrey field analyzer (HFA) perimetry which indicated a relatively early stage of glaucoma. In this study, the visual field tests were performed with HFA in 21 eyes and with Goldmann perimetry in the remaining 19 eyes. The average MD in 21 eyes examined with HFA was-16.8±8.2 dB before PSLT. Although the visual field in 19 eyes measured with Goldmann perimetry cannot be evaluated using MD values, they all exhibited visual field impairment with the V-4 isopter which corresponds to a III or higher grade according to the Kosaki classification and did not fall under the early stage of glaucoma. Ahuja et al. found that 28% of patients with advanced glaucoma undergoing trabectome surgery required additional intervention compared to only 10% of patients with mild to moderate glaucoma [13]. In the advanced stage of glaucoma, additional open glaucoma surgeries are often required earlier when lowering IOP is not prompt or insufficient, which might affect the survival rate in the present study. In the Kaplan-Meier survival curve, where death is defined as a decrease in IOP of less than 10%, the average survival period was 8.1 months, and the survival rate at 12 months was 0.55.
For patients who are using maximized OHM, open glaucoma surgery may be more effective in lowering IOP and maintaining the visual field [1]. However, in situations where surgery cannot be performed right away for some reason (financial and scheduling issues for the patient, hospital circumstances, and especially during the coronavirus pandemic, there are cases where non-emergent surgery is not possible at all), PSLT is extremely important as an alternative intervention. Another advantage of PSLT is that there are fewer complications. The present results showed that although the effect of PSLT to lower IOP by more than 20% was limited for the OAG patients receiving maximized OHM, it could be expected to reduce IOP by more than 10% in nearly 60% of the cases over 12 months. Hence, PSLT may be considered as a stopgap until the next open surgery in certain cases.
Limitations of this study are the research design of a retrospective nature and the small sample size. A prospective study with a larger sample size warrants the results of the present study. However, PSLT could be considered an additional treatment for patients with advanced glaucoma stages who require many OHM.

References

  1. Jóhannesson G, Stille U, Taube AB, Karlsson M, Kalaboukhova L, Bergström A, Peters D, Lindén C. Guidelines for the management of open-angle glaucoma: National Program Area Eye Diseases, National Working Group Glaucoma. Acta Ophthalmol. 2024 Mar;102(2):135-150. [CrossRef]
  2. Chang TC, Vanner EA, Fujino D, Kelly S, Parrish RK. Factors Associated With Laser Trabeculoplasty Response Duration: Analysis of a Large Clinical Database (IRIS Registry). J Glaucoma. 2021 Oct 1;30(10):902-910. [CrossRef]
  3. Rasmuson E, Bengtsson B, Lindén C, Heijl A, Aspberg J, Andersson-Geimer S, Jóhannesson G. Long-term follow-up of laser trabeculoplasty in multi-treated glaucoma patients. Acta Ophthalmol. 2024 Mar;102(2):179-185. [CrossRef]
  4. Wise, JB. Long-term control of adult open angle glaucoma by argon laser treatment. Ophthalmology. 1981 Mar;88(3):197-202. [CrossRef]
  5. Latina, MA. Selective laser trabeculoplasty-180-degree treatment. J Glaucoma. 2007 Mar;16(2):274-5; author reply 275. [CrossRef]
  6. Turati M, Gil-Carrasco F, Morales A, Quiroz-Mercado H, Andersen D, Marcellino G, Schuele G, Palanker D. Patterned laser trabeculoplasty. Ophthalmic Surg Lasers Imaging. 2010 Sep-Oct;41(5):538-45. [CrossRef]
  7. Wong MOM, Lai IS, Chan PP, Chan NC, Chan AY, Lai GW, Chiu VS, Leung CK. Efficacy and safety of selective laser trabeculoplasty and pattern scanning laser trabeculoplasty: A randomised clinical trial. Br J Ophthalmol. 2021 Apr;105(4):514-520. [CrossRef]
  8. Mansouri K, Shaarawy T. Comparing pattern scanning laser trabeculoplasty to selective laser trabeculoplasty: A randomized controlled trial. Acta Ophthalmol. 2017 Aug;95(5):e361-e365. [CrossRef]
  9. Rolim-de-Moura CR, Paranhos A Jr, Loutfi M, Burton D, Wormald R, Evans JR. Laser trabeculoplasty for open-angle glaucoma and ocular hypertension. Cochrane Database Syst Rev. 2022 Aug 9;8(8):CD003919. [CrossRef]
  10. Elahi S, Rao HL, Paillard A, Mansouri K. Outcomes of pattern scanning laser trabeculoplasty and selective laser trabeculoplasty: Results from the lausanne laser trabeculoplasty registry. Acta Ophthalmol. 2021 Mar;99(2):e154-e159. [CrossRef]
  11. Espinoza G, Castellanos-Castellanos YA, Pedraza-Concha A, Rodríguez-Una I, Acuña MF, Parra JC. Mid-term results of patterned laser trabeculoplasty for uncontrolled ocular hypertension and primary open angle glaucoma. Int J Ophthalmol. 2021 Aug 18;14(8):1199-1204. [CrossRef]
  12. Kontić M, Ristić D, Vukosavljević M. Hypotensive effect of selective laser trabeculoplasty in patients with medically uncontrolled primary open-angle glaucoma. Srp Arh Celok Lek. 2014 Sep-Oct;142(9-10):524-8. [CrossRef]
  13. Ahuja Y, Ma Khin Pyi S, Malihi M, Hodge DO, Sit AJ. Clinical results of ab interno trabeculotomy using the trabectome for open-angle glaucoma: The Mayo Clinic series in Rochester, Minnesota. Am J Ophthalmol. 2013;156(5):927-35 e2. [CrossRef]
Figure 1. Results of Kaplan Meier survival analysis. If death was defined as the point in time when the rate of decrease in intraocular pressure was less than 10% (A) or 20% (B) twice in a row.
Figure 1. Results of Kaplan Meier survival analysis. If death was defined as the point in time when the rate of decrease in intraocular pressure was less than 10% (A) or 20% (B) twice in a row.
Preprints 105105 g001
Figure 2. The chronological change in IOP in the 31 eyes which did not require any change of eye drops or additional treatment after PSLT. * p< 1x10-4, ** p< 1x10-5, *** p< 1x10-8.
Figure 2. The chronological change in IOP in the 31 eyes which did not require any change of eye drops or additional treatment after PSLT. * p< 1x10-4, ** p< 1x10-5, *** p< 1x10-8.
Preprints 105105 g002
Table 1. Baseline characteristics of the patients.
Table 1. Baseline characteristics of the patients.
Sex male 21, female 19
Age (years) 72.7±10.7 (range57-89)
Type of glaucoma POAG 35 eyes, PEG 5 eyes
Lens status Phakic 17 eyes, IOL 23 eyes
IOP (mmHg) 20.1±4.9
Eye drop score 4.1±1.1
POAG: primary open angle glaucoma, PEG: pseudoexfoliation glaucoma, IOL: intraocular lens, IOP: intraocular pressure.
Table 2. The mean survival time (months) when the rate of decrease in IOP was less than 10% on two consecutive occasions.
Table 2. The mean survival time (months) when the rate of decrease in IOP was less than 10% on two consecutive occasions.
95% Confidence Interval
Estimate Standard Error Lower Bound Upper Bound
8.125 0.779 6.599 9.651
Table 3. The mean survival time (months) when the rate of decrease in IOP was less than 20% on two consecutive occasions.
Table 3. The mean survival time (months) when the rate of decrease in IOP was less than 20% on two consecutive occasions.
95% Confidence Interval
Estimate Standard Error Lower Bound Upper Bound
4.925 0.773 3.410 6.440
Disclaimer/Publisher’s Note: The statements, opinions and data contained in all publications are solely those of the individual author(s) and contributor(s) and not of MDPI and/or the editor(s). MDPI and/or the editor(s) disclaim responsibility for any injury to people or property resulting from any ideas, methods, instructions or products referred to in the content.
Copyright: This open access article is published under a Creative Commons CC BY 4.0 license, which permit the free download, distribution, and reuse, provided that the author and preprint are cited in any reuse.
Prerpints.org logo

Preprints.org is a free preprint server supported by MDPI in Basel, Switzerland.

Subscribe

Disclaimer

Terms of Use

Privacy Policy

Privacy Settings

© 2026 MDPI (Basel, Switzerland) unless otherwise stated