Submitted:
27 April 2024
Posted:
29 April 2024
You are already at the latest version
Abstract
Keywords:
1. Introduction
2. Methods
2.1. Experimental Design
2.2. Subjects
2.3. Clinical and Medical Characteristics
2.4. Neurobehavioral Measures at NICU
2.5. Neurodevelopmental Outcomes at 1 and 2 Years of Corrected Age
2.6. Blood mtDNAcn Quantification
2.7. Statistical Analysis
3. Results
3.1. Demographic Characteristics of Preterm Infants
3.2. Mitochondrial DNA Copy Number Varied with Different Age
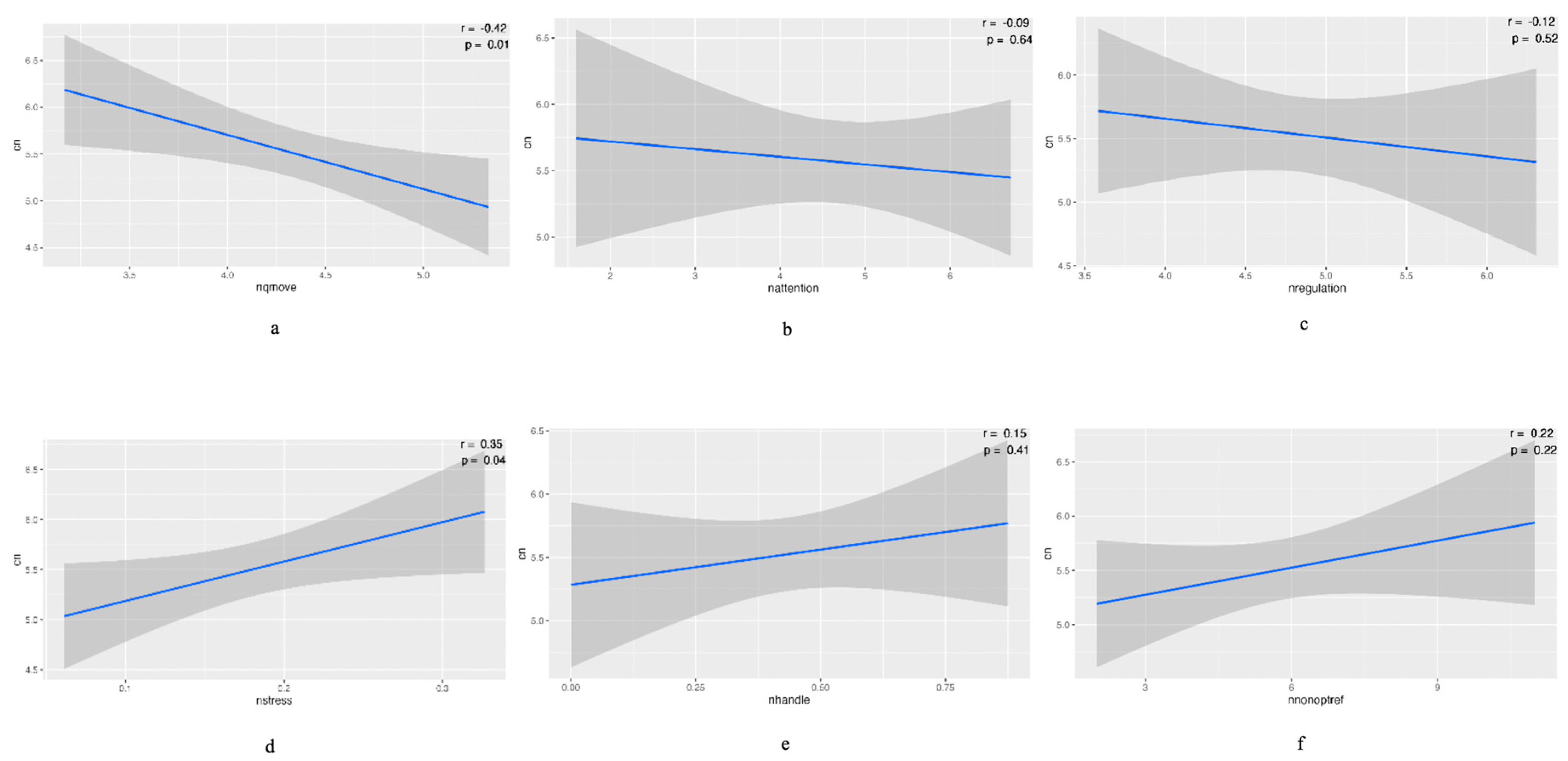
3.3. Association between mtDNAcn and Neurobehavior at 36 to 38 PMA

3.4. Association between mtDNAcn and Neurodevelopment at 1 and 2 Years of Age
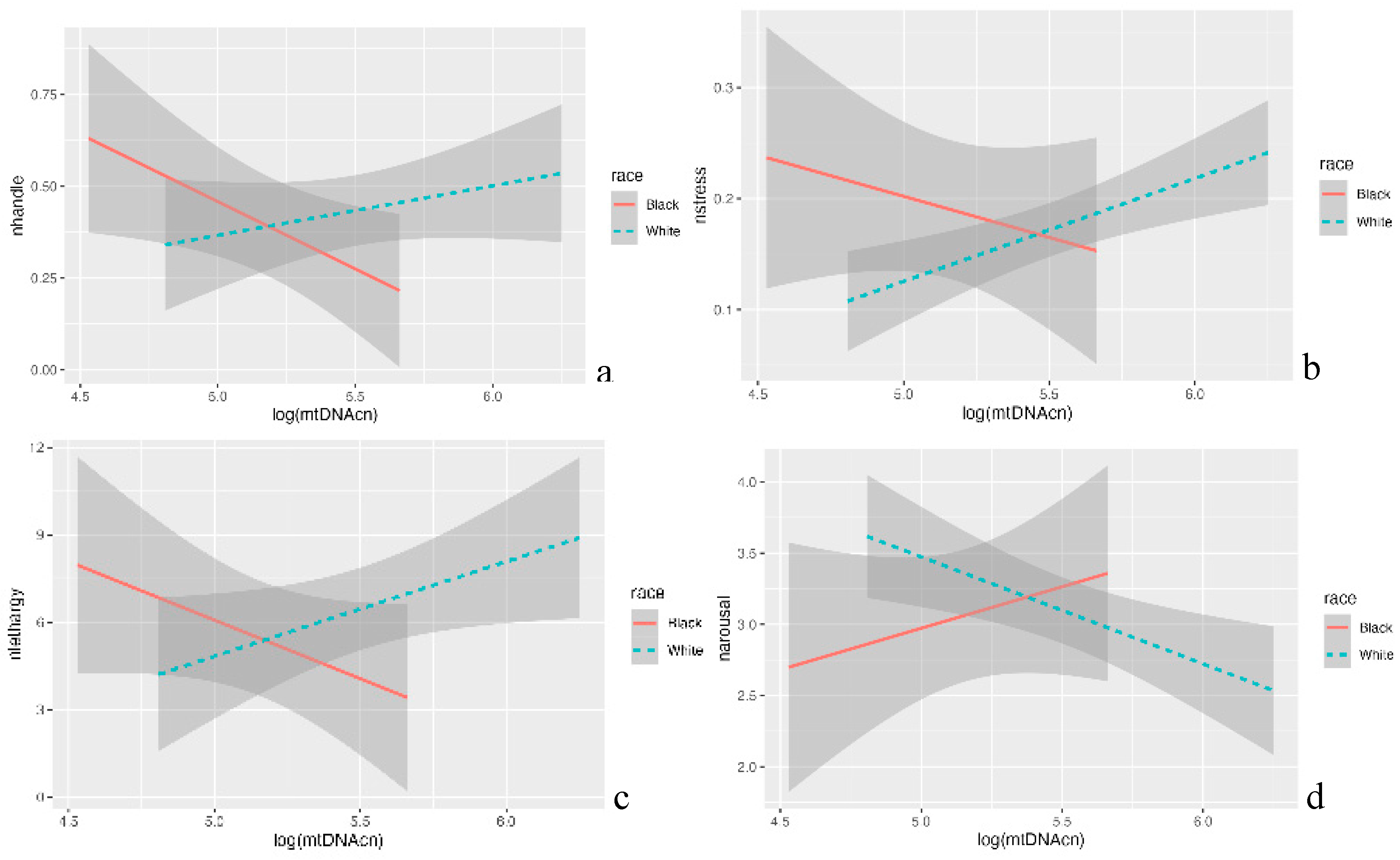
3.5. Racial Differences in the Association between mtDNAcn and Neurodevelopmental Outcomes
4. Discussion
4.1. Conclusion and Limitations
Supplementary Materials
Author Contributions
Funding Resources
Institutional Review Board Statement
Informed Consent Statement
Data Availability Statement
Conflicts of Interest
References
- Habbane, M. , Montoya, J., Rhouda, T., Sbaoui, Y., Radallah, D., & Emperador, S. Human Mitochondrial DNA: Particularities and Diseases. Biomedicines. 2021. 9(10), 1364. [CrossRef]
- Walker, B. R. , & Moraes, C. T. Nuclear-Mitochondrial Interactions. Biomol. 2022. 12(3), 427. [CrossRef]
- Barlow, D. P., & Bartolomei, M. S. Genomic imprinting in mammals. Cold Spring Harb Perspect Biol. 2014. 6(2), a018382. [CrossRef]
- Wai, T., Ao, A., Zhang, X., Cyr, D., Dufort, D., & Shoubridge, E. A. The role of mitochondrial DNA copy number in mammalian fertility. Biol Reprod. 2010, 83(1), 52–62. [CrossRef] [PubMed]
- Memon, A. A. , Zöller, B. , Hedelius, A., Wang, X., Stenman, E., Sundquist, J., & Sundquist, K. Quantification of mitochondrial DNA copy number in suspected cancer patients by a well optimized ddPCR method. Biomol Detect Quantif. 2017, 13, 32–39. [Google Scholar] [CrossRef] [PubMed]
- Moraes CT, Shanske S, Tritschler HJ, Aprille JR, Andreetta F, Bonilla E, Schon EA, DiMauro S, mtDNA depletion with variable tissue expression: a novel genetic abnormality in mitochondrial diseases. Am J Hum Genet. 1991, 48, 492–501.
- Zhang, Z., Yang, D., Zhou, B., Luan, Y., Yao, Q., Liu, Y., Yang, S., Jia, J., Xu, Y., Bie, X., Wang, Y., Li, Z., Li, A., Zheng, H., & He, Y. Decrease of MtDNA copy number affects mitochondrial function and involves in the pathological consequences of ischaemic stroke. J Cell Mol Med. 2022, 26(15), 4157–4168. [CrossRef]
- Picard, M. Blood mitochondrial DNA copy number: What are we counting?. Mitochondrion. 2021;60:1-11. [CrossRef]
- Memon AA, Vats S, Sundquist J, Li Y, Sundquist K. Mitochondrial DNA Copy Number: Linking Diabetes and Cancer. Antioxid Redox Signal. 2022;37(16-18):1168-1190. [CrossRef]
- Klein HU, Trumpff C, Yang HS, et al. Characterization of mitochondrial DNA quantity and quality in the human aged and Alzheimer's disease brain. Mol Neurodegener. 2021;16(1):75. [CrossRef]
- Quan Y, Xin Y, Tian G, Zhou J, Liu X. Mitochondrial ROS-Modulated mtDNA: A Potential Target for Cardiac Aging. Oxid Med Cell Longev. 2020:9423593. [CrossRef]
- Xiao J, Cohen P, Stern MC, Odedina F, Carpten J, Reams R. Mitochondrial biology and prostate cancer ethnic disparity. Carcinogenesis. 2018;39(11):1311-1319. [CrossRef]
- DeBarmore B, Longchamps RJ, Zhang Y, et al. Mitochondrial DNA copy number and diabetes: the Atherosclerosis Risk in Communities (ARIC) study. BMJ Open Diabetes Res Care. 2020;8(1):e001204. [CrossRef]
- Ashar FN, Moes A, Moore AZ, et al. Association of mitochondrial DNA levels with frailty and all-cause mortality. J Mol Med (Berl). 2015;93(2):177-186. [CrossRef]
- Vyas CM, Ogata S, Reynolds CF 3rd, et al. Lifestyle and behavioral factors and mitochondrial DNA copy number in a diverse cohort of mid-life and older adults. PLoS One. 2020;15(8):e0237235. [CrossRef]
- Mendoza-Ortega JA, Reyes-Muñoz E, Nava-Salazar S, et al. Mitochondrial DNA Copy Number Adaptation as a Biological Response Derived from an Earthquake at Intrauterine Stage. Int J Environ Res Public Health. 2021;18(22):11771. [CrossRef]
- Tronick E, Lester BM. Grandchild of the NBAS: the NICU network neurobehavioral scale (NNNS): a review of the research using the NNNS. J Child Adolesc Psychiatr Nurs. 2013;26(3):193-203. [CrossRef]
- Zhao T, Griffith T, Zhang Y, et al. Early-life factors associated with neurobehavioral outcomes in preterm infants during NICU hospitalization. Pediatr Res. 2022;92(6):1695-1704. [CrossRef]
- Montirosso R, Del Prete A, Bellù R, Tronick E, Borgatti R; Neonatal Adequate Care for Quality of Life (NEO-ACQUA) Study Group. Level of NICU quality of developmental care and neurobehavioral performance in very preterm infants. Pediatrics. 2012;129(5):e1129-e1137. [CrossRef]
- Anderson PJ, De Luca CR, Hutchinson E, Roberts G, Doyle LW; Victorian Infant Collaborative Group. Underestimation of developmental delay by the new Bayley-III Scale. Arch Pediatr Adolesc Med. 2010;164(4):352-356. [CrossRef]
- Xia CY, Liu Y, Yang HR, et al. Reference Intervals of Mitochondrial DNA Copy Number in Peripheral Blood for Chinese Minors and Adults. Chin Med J (Engl). 2017;130(20):2435-2440. [CrossRef]
- Giordano C, Iommarini L, Giordano L, et al. Efficient mitochondrial biogenesis drives incomplete penetrance in Leber's hereditary optic neuropathy. Brain. 2014;137(Pt 2):335-353. [CrossRef]
- Tan JBC, Boskovic DS, Angeles DM. The Energy Costs of Prematurity and the Neonatal Intensive Care Unit (NICU) Experience. Antioxidants (Basel). 2018;7(3):37. [CrossRef]
- Lee JW, Park KD, Im JA, Kim MY, Lee DC. Mitochondrial DNA copy number in peripheral blood is associated with cognitive function in apparently healthy elderly women. Clin Chim Acta. 2010;411(7-8):592-596. [CrossRef]
- Kumari R, Suneja A, Mehndiratta M, Guleria K, Malik R. Maternal Serum Vitamin E Levels and its Association with Cord Blood Telomere Length and Mitochondrial DNA Copy Number in Preterm Premature Rupture of Membranes. J Obstet Gynaecol India. 2023;73(1):9-14. [CrossRef]
- Choltus H, Minet-Quinard R, Belville C, et al. Cigarette Smoke Condensate Exposure Induces Receptor for Advanced Glycation End-Products (RAGE)-Dependent Sterile Inflammation in Amniotic Epithelial Cells. Int J Mol Sci. 2021;22(15):8345. [CrossRef]
- Zhang Q, Wang Z, Zhang W, et al. The memory of neuronal mitochondrial stress is inherited transgenerationally via elevated mitochondrial DNA levels. Nat Cell Biol. 2021;23(8):870-880. [CrossRef]
- Menon R, Richardson LS. Preterm prelabor rupture of the membranes: A disease of the fetal membranes. Semin Perinatol. 2017;41(7):409-419. [CrossRef]
- Macedo I, Pereira-da-Silva L, Brito L, Cardoso M. Male sex is an independent risk factor for poor neurodevelopmental outcome at 20 months' corrected age, in human milk-fed very preterm infants: a cohort study. Einstein (Sao Paulo). 2019;17(3):eAO4607. [CrossRef]
- Tottman AC, Bloomfield FH, Cormack BE, Harding JE, Taylor J, Alsweiler JM. Sex-specific relationships between early nutrition and neurodevelopment in preterm infants. Pediatr Res. 2020;87(5):872-878. [CrossRef]
- Wainstock T, Shoham-Vardi I, Glasser S, Anteby E, Lerner-Geva L. Fetal sex modifies effects of prenatal stress exposure and adverse birth outcomes. Stress. 2015;18(1):49-56. [CrossRef]
- Ruano CSM, Miralles F, Méhats C, Vaiman D. The Impact of Oxidative Stress of Environmental Origin on the Onset of Placental Diseases. Antioxidants (Basel). 2022;11(1):106. [CrossRef]
- Benavides A, Metzger A, Tereshchenko A, et al. Sex-specific alterations in preterm brain. Pediatr Res. 2019;85(1):55-62. [CrossRef]



| Variables | Total N (%) |
|---|---|
| Sex | |
| Male | 30 (54.55) |
| Female | 25 (45.45) |
| Race | |
| White | 39 (70.91) |
| Black | 13 (23.64) |
| Other | 3 (5.45) |
| Ethnicity | |
| Hispanic | 15 (27.27) |
| Non-Hispanic | 40 (72.73) |
| Delivery | |
| C-section | 40 (72.73) |
| Vaginal | 15 (27.27) |
| PPROM | |
| Yes | 13 (23.64) |
| No | 42 (76.36) |
| Antibiotic use 3 days prior birth | |
| Yes | 24 (72.73) |
| No | 7 (21.21) |
| Unknown | 2 (6.06) |
| Antibiotic use 3 days post birth | |
| Yes | 6 (18.18) |
| No | 25 (75.76) |
| Unknown | 2 (6.06) |
| Variables | Mean (SD) |
| Birth GA (week) | 27.97 (2.55) |
| Birth weight (g) | 1055.44 (363.74) |
| Birth body length (cm) | 36.03 (3.70) |
| Birth HC (cm) | 25.09 (2.51) |
| SNAPEII | 27.45 (21.06) |
| Hospital stays (day) | 74.09 (38.16) |
| Variables | Coefficient | ||
|---|---|---|---|
| NSTRESS | NEXCITABLITY | NAROUSAL | |
| mtDNAcn | -0.40 | -0.13 | 0.70 |
| White | -0.10 | 0.57 | -0.09 |
| Male | -0.81 | 0.52 | 0.71* |
| PPROM | 0.33* | 0.36* | 0.31* |
| Birth GA | 0.01 | -0.07 | 0.23 |
| Variables | Coefficient | ||
|---|---|---|---|
| Cognitive | Language | Motor | |
| mtDNAcn | -0.42* | -0.30 | -0.31 |
| White | 0.44 | -0.11 | 0.41 |
| Male | -0.84* | -0.48 | -0.83* |
| PPROM | -0.18 | -0.16 | 0.80 |
| Birth GA | 0.17 | 0.25 | 0.17 |
Disclaimer/Publisher’s Note: The statements, opinions and data contained in all publications are solely those of the individual author(s) and contributor(s) and not of MDPI and/or the editor(s). MDPI and/or the editor(s) disclaim responsibility for any injury to people or property resulting from any ideas, methods, instructions or products referred to in the content. |
© 2024 by the authors. Licensee MDPI, Basel, Switzerland. This article is an open access article distributed under the terms and conditions of the Creative Commons Attribution (CC BY) license (http://creativecommons.org/licenses/by/4.0/).