Submitted:
24 April 2024
Posted:
25 April 2024
You are already at the latest version
Abstract
Keywords:
1. Introduction
2. Materials and Methods
2.1. Fabrication of PPPDs on Si Substrates
2.2. Morphological Characterization
2.3. Optical Characterizations
3. Theoretic Simulation of the Proposed Structure and Parameter Optimization
3.1. Description of the Geometry of the Structure
3.2. Parameters Estimation from Dispersion Curves
3.3. Theoretical Methods Description
3.4. Theoretical Framework for Parameters Optimization Problem
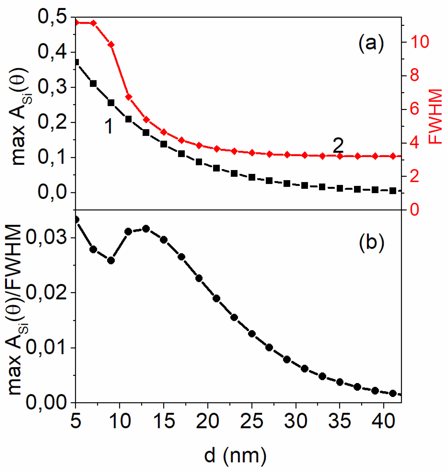
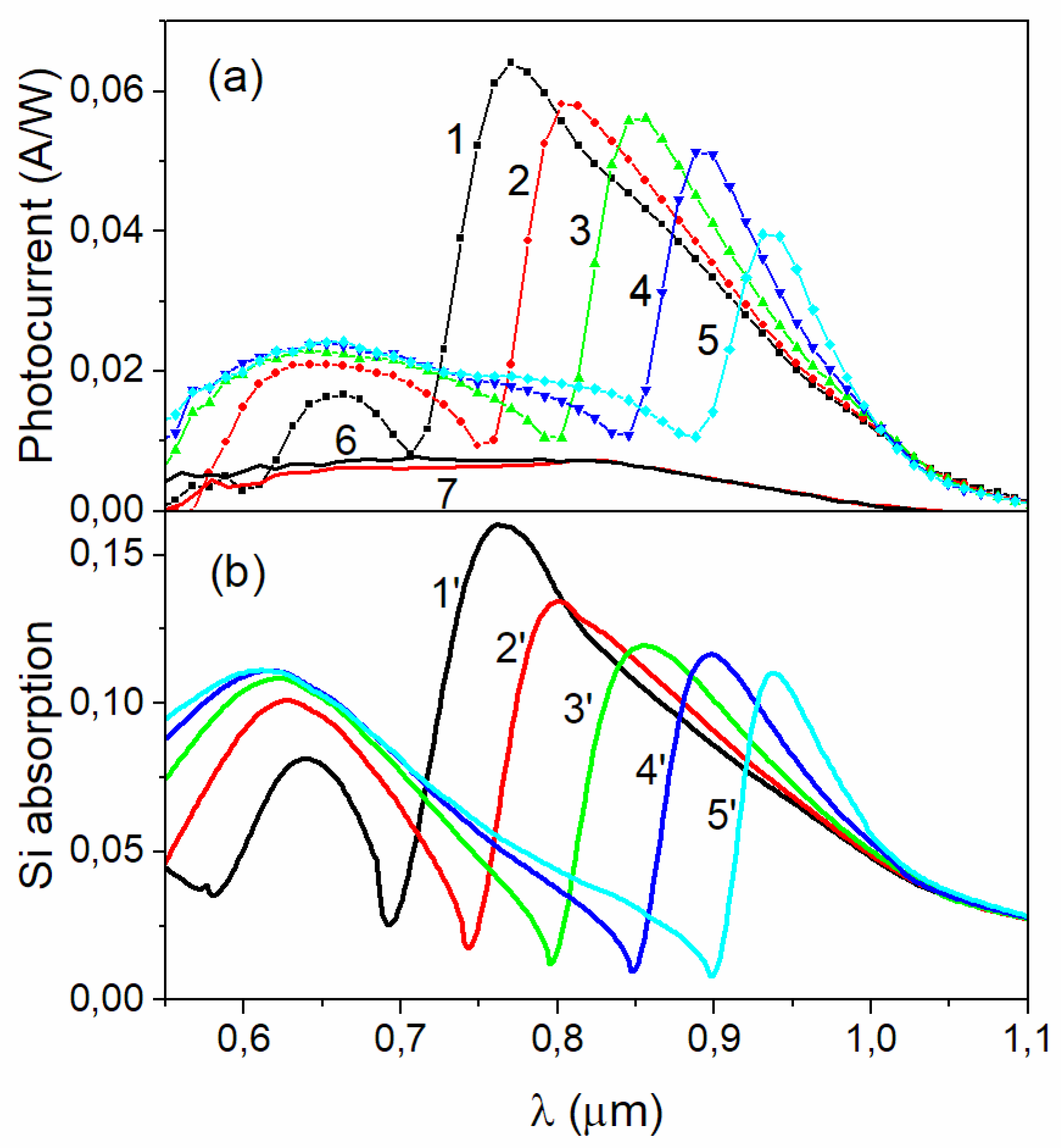
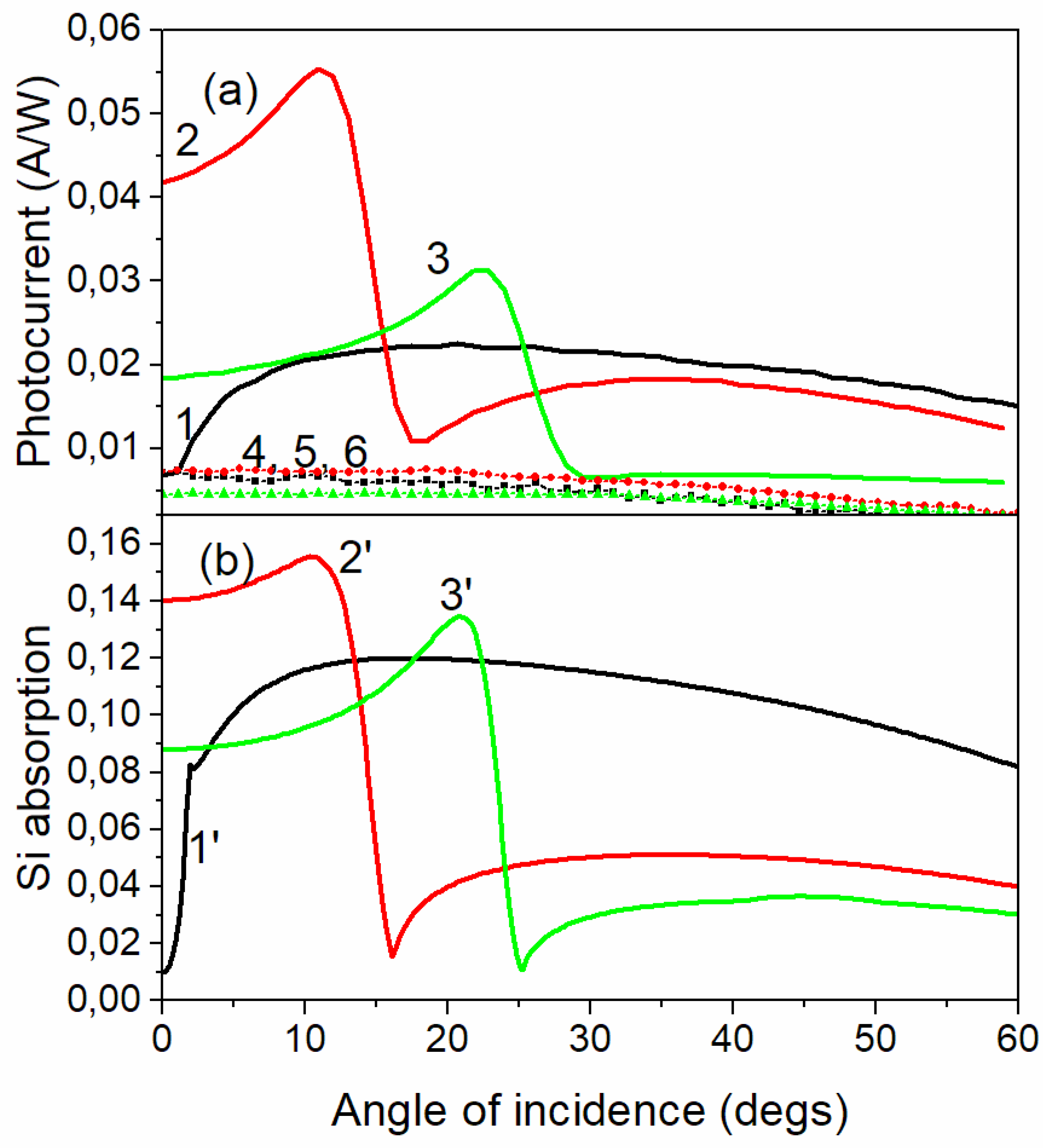
3. Results and Discussion
4. Conclusions
Author Contributions
Funding
Informed Consent Statement
Data Availability Statement
Acknowledgments
Conflicts of Interest
References
- Gramotnev, D.K.; Bozhevolnyi, S.I. Plasmonics beyond the diffraction limit. Nature photonics 2010, 4, 83-91. [CrossRef]
- Homola, J. Surface plasmon resonance sensors for detection of chemical and biological species. Chemical reviews 2008, 108, 462-493. [CrossRef]
- Sipe, J.; Becher, J. Surface-plasmon-assisted photoemission. JOSA 1981, 71, 1286-1288. [CrossRef]
- Tamm, I.; Dawson, P.; Sellai, A.; Pate, M.; Grey, R.; Hill, G. Analysis of surface plasmon polariton enhancement in photodetection by Al—GaAs Schottky diodes. Solid-state electronics 1993, 36, 1417-1427. [CrossRef]
- Guo, J.; Wu, Z.; Li, Y.; Zhao, Y. Design of plasmonic photodetector with high absorptance and nano-scale active regions. Optics Express 2016, 24, 18229-18243. [CrossRef]
- Wu, M.; Xu, N.; Wang, E.; Gen, S.; Zhu, H.; Liu, C.; Cao, J. Nanogratings fabricated by wet etching assisted femtosecond laser modification of silicon for surface plasmon resonance sensing. Applied Surface Science 2022, 603, 154446. [CrossRef]
- Mamykin, S.; Gnilitskyi, I.; Dusheyko, M.; DeVol, T.; Bliznyuk, V. Femtosecond laser nano-structuring for surface plasmon resonance-based detection of uranium. Applied Surface Science 2022, 576, 151831. [CrossRef]
- Gnilitskyi, I.; Mamykin, S.V.; Lanara, C.; Hevko, I.; Dusheyko, M.; Bellucci, S.; Stratakis, E. Laser nanostructuring for diffraction grating based surface plasmon-resonance sensors. Nanomaterials 2021, 11, 591. [CrossRef]
- Brueck, S.; Diadiuk, V.; Jones, T.; Lenth, W. Enhanced quantum efficiency internal photoemission detectors by grating coupling to surface plasma waves. Applied Physics Letters 1985, 46, 915-917. [CrossRef]
- Gosciniak, J.; Atar, F.B.; Corbett, B.; Rasras, M. Plasmonic Schottky photodetector with metal stripe embedded into semiconductor and with a CMOS-compatible titanium nitride. Scientific reports 2019, 9, 6048. [CrossRef]
- Sharma, A.K.; Pandey, A.K. Au grating on SiC substrate: simulation of high performance plasmonic Schottky barrier photodetector in visible and NIR regions. Journal of Physics D: Applied Physics 2020, 53, 175103. [CrossRef]
- Saito, Y.; Yamamoto, Y.; Kan, T.; Tsukagoshi, T.; Noda, K.; Shimoyama, I. Electrical detection SPR sensor with grating coupled backside illumination. Optics Express 2019, 27, 17763-17770. [CrossRef]
- Glass, A.; Liao, P.; Johnson, A.; Humphrey, L.; Lemons, R.; Olson, D.; Stern, M. Periodically structured amorphous silicon detectors with improved picosecond responsivity. Applied Physics Letters 1984, 44, 77-79. [CrossRef]
- Berthold, K.; Beinstingl, W.; Berger, R.; Gornik, E. Surface plasmon enhanced quantum efficiency of metal-insulator-semiconductor junctions in the visible. Applied Physics Letters 1986, 48, 526-528. [CrossRef]
- Brongersma, M.L. Plasmonic photodetectors, photovoltaics, and hot-electron devices. Proceedings of the IEEE 2016, 104, 2349-2361.
- Berini, P. Surface plasmon photodetectors and their applications. Laser & Photonics Reviews 2014, 8, 197-220. [CrossRef]
- Huang, J.A.; Luo, L.B. Low-dimensional plasmonic photodetectors: recent progress and future opportunities. Advanced Optical Materials 2018, 6, 1701282. [CrossRef]
- Jestl, M.; Köck, A.; Beinstingl, W.; Gornik, E. Polarization-and wavelength-selective photodetectors. JOSA A 1988, 5, 1581-1584. [CrossRef]
- Dmitruk, N.; Mayeva, O.; Mamykin, S.; Yastrubchak, O.; Klopfleisch, M. Characterization and application of multilayer diffraction gratings as optochemical sensors. Sensors and Actuators A: Physical 2001, 88, 52-57. [CrossRef]
- Dmitruk, N.; Borkovskaya, O.Y.; Mayeva, O.; Fursenko, O. Polarization-sensitive photocurrents of metal-semiconductor structures with flat and microrelief interfaces. Microelectronics journal 1996, 27, 37-42. [CrossRef]
- Korovin, A.V.; Dmitruk, N.L.; Mamykin, S.V.; Myn’ko, V.I.; Sosnova, M.V. Enhanced dielectric environment sensitivity of surface plasmon-polariton in the surface-barrier heterostructures based on corrugated thin metal films with quasi-anticorrelated interfaces. Nanoscale Research Letters 2017, 12, 1-7. [CrossRef]
- Gnilitskyi, I.; Mamykin, S.; Dusheyko, M.; Borodinova, T.; Maksimchuk, N.; Orazi, L. Diffraction Gratings Prepared by HR-LIPSS for New Surface Plasmon-Polariton Photodetectors & Sensors. In Proceedings of the Frontiers in Optics, 2016; p. JW4A. 88.
- Dmitruk, N.; Klopfleisch, M.; Mayeva, O.; Mamykin, S.; Venger, E.; Yastrubchak, O. Multilayer diffraction gratings Al/GaAs as polaritonic photodetectors. physica status solidi (a) 2001, 184, 165-174. [CrossRef]
- Moharam, M.; Gaylord, T.K. Rigorous coupled-wave analysis of planar-grating diffraction. JOSA 1981, 71, 811-818. [CrossRef]
- Moharam, M.; Pommet, D.A.; Grann, E.B.; Gaylord, T.K. Stable implementation of the rigorous coupled-wave analysis for surface-relief gratings: enhanced transmittance matrix approach. JOSA A 1995, 12, 1077-1086. [CrossRef]
- Palik, E.D. Handbook of optical constants of solids; Academic press: 1998; Volume 3.
- Dan’ko, V.; Dmitruk, M.; Indutnyi, I.; Mamykin, S.; Myn’ko, V.; Shepeliavyi, P.; Lukaniuk, M.; Lytvyn, P. Au gratings fabricated by interference lithography for experimental study of localized and propagating surface plasmons. Nanoscale Research Letters 2017, 12, 1-6. [CrossRef]
- Lalanne, P.; Morris, G.M. Highly improved convergence of the coupled-wave method for TM polarization. JOSA A 1996, 13, 779-784. [CrossRef]
- Indutnyi, I.Z.; Mynko, V.I.; Sopinskyy, M.V.; Dan’ko, V.A.; Lytvyn, P.M. Investigation of the surface plasmon-polaritons excitation efficiency on aluminum gratings taking into account diffracted radiation. Optoelectronics and semiconductor techniques 2021, 71-82.










Disclaimer/Publisher’s Note: The statements, opinions and data contained in all publications are solely those of the individual author(s) and contributor(s) and not of MDPI and/or the editor(s). MDPI and/or the editor(s) disclaim responsibility for any injury to people or property resulting from any ideas, methods, instructions or products referred to in the content. |
© 2024 by the authors. Licensee MDPI, Basel, Switzerland. This article is an open access article distributed under the terms and conditions of the Creative Commons Attribution (CC BY) license (http://creativecommons.org/licenses/by/4.0/).