Submitted:
22 April 2024
Posted:
23 April 2024
You are already at the latest version
Abstract
Keywords:
1. Introduction
2. Oxetane Biomolecules Produced by Microorganisms
3. Oxetane Biomolecules Derived from Fungi and Marine Sources
4. Oxetane Biomolecules Derived from Plants


5. Dioxetane Biomolecules Derived from Natural Sources
5.1. Stable and Unstable 1,2-Dioxetanes of Natural Products
5.1.1. Cholesterol Oxidation by Singlet Molecular Oxygen
5.1.2. The Autoxidation of Cholesterol
5.1.3. Oxidation of Cholesterol with Singlet Oxygen
5.1.4. Oxidation of 6,7-Dehydrocarnosic Acid
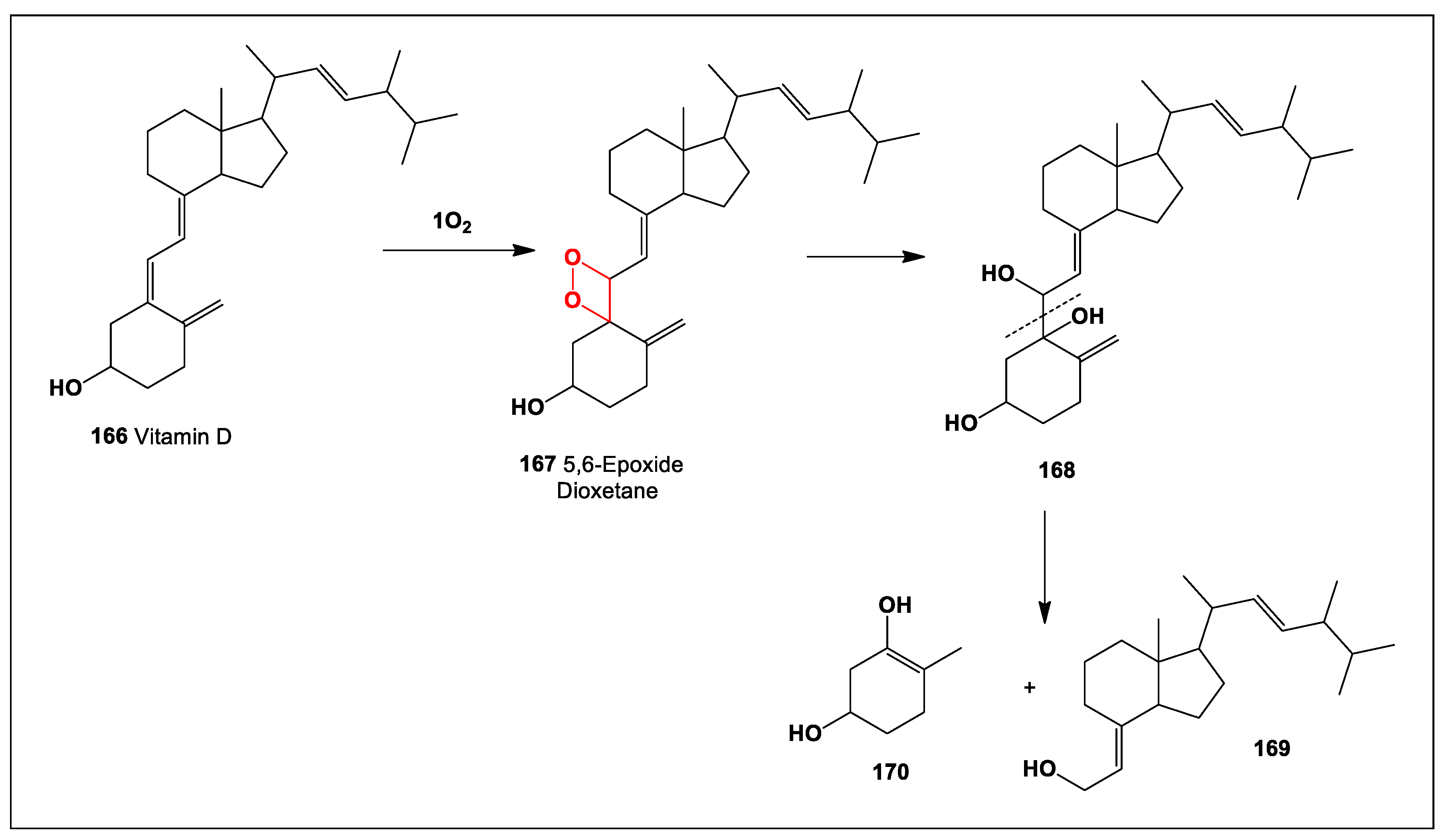
5.1.5. Oxidation of Vitamin D
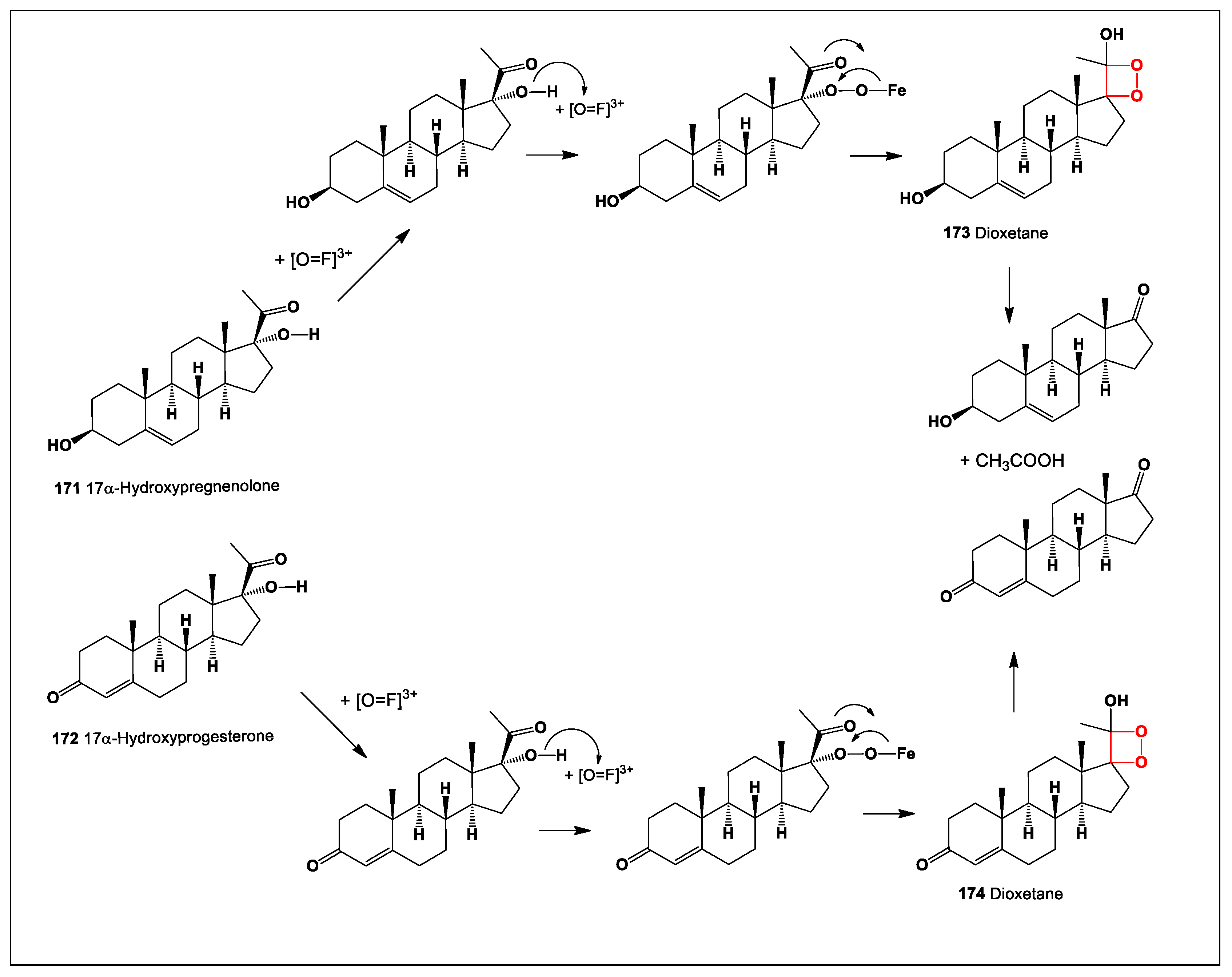
5.1.6. Reaction of 17α-Hydroperoxy Steroids with P450 17A Enzymes
5.1.7. Formation of Vitamin K 2,3-Epoxide from Vitamin KH2
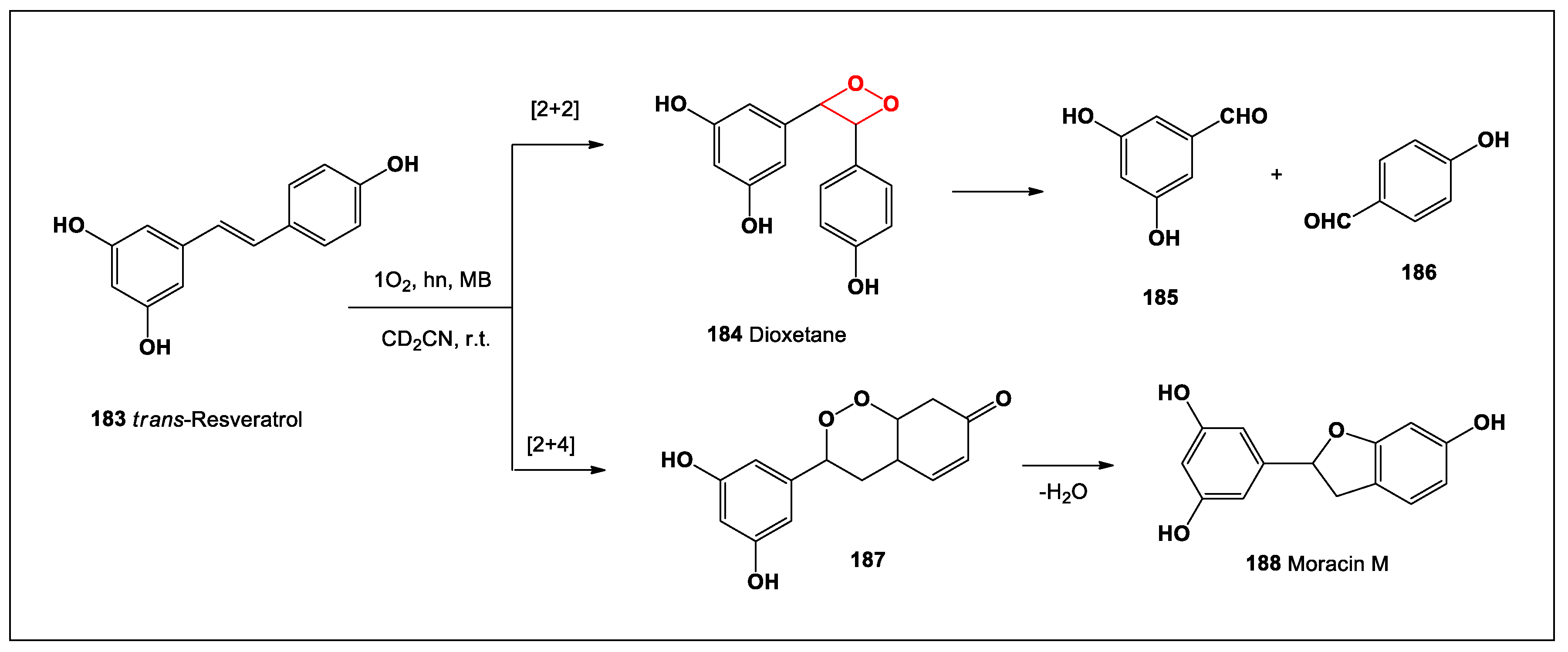
5.1.8. Synthesis of a Phosphodiesterase-4 Inhibitor Called Moracin M
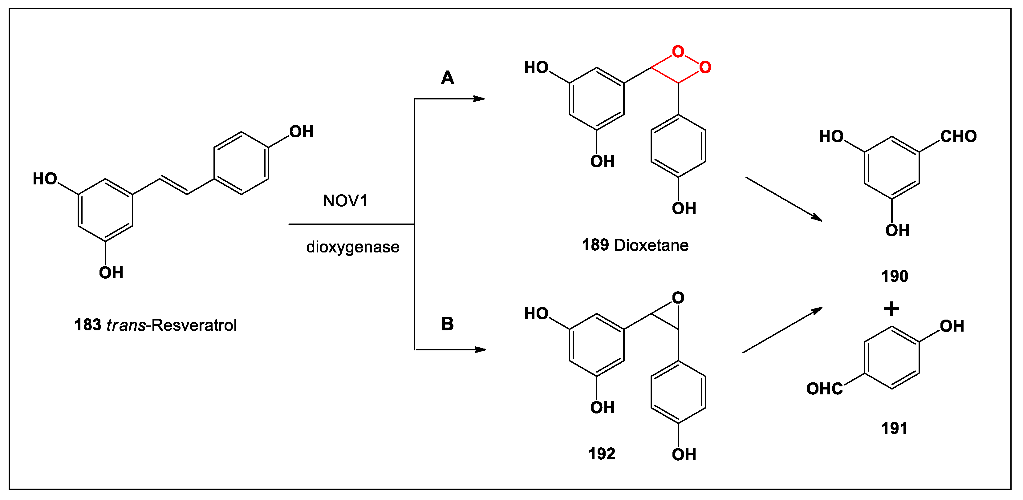
5.1.9. Oxidation of Resveratrol Catalyzed by Dioxygenase NOV1
5.1.10. Oxidation of Natural Unsaturated Products by Dioxygenases
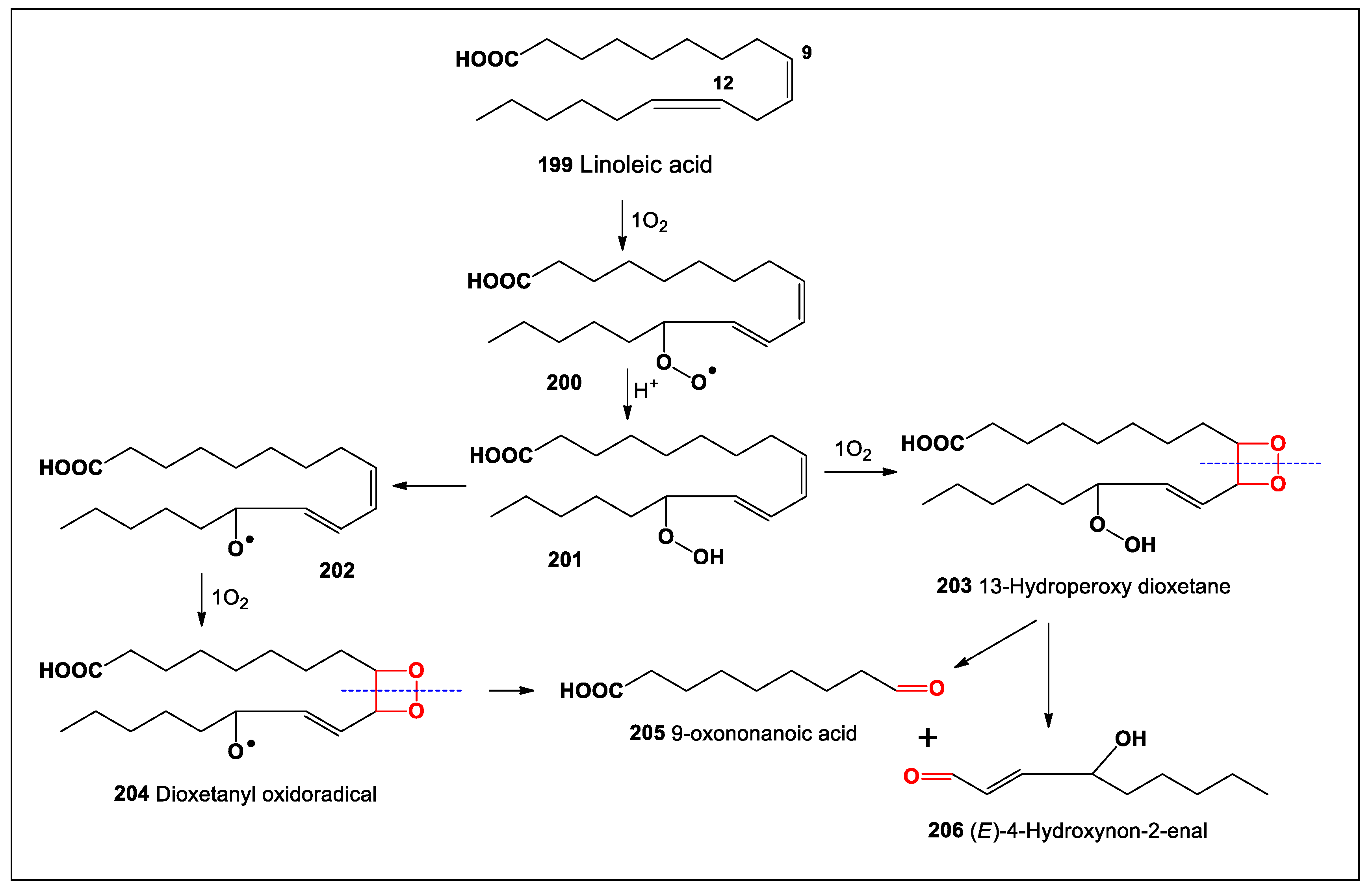
5.1.11. Oxidation of Unsaturated Fatty Acids with Formation of Dioxetanes
5.1.12. Oxidation of Arachidonic Acid with Formation of Dioxetane Unit
5.1.13. Formation of Dioxetanilated Phosphatidic Acids and Triacylglycerols

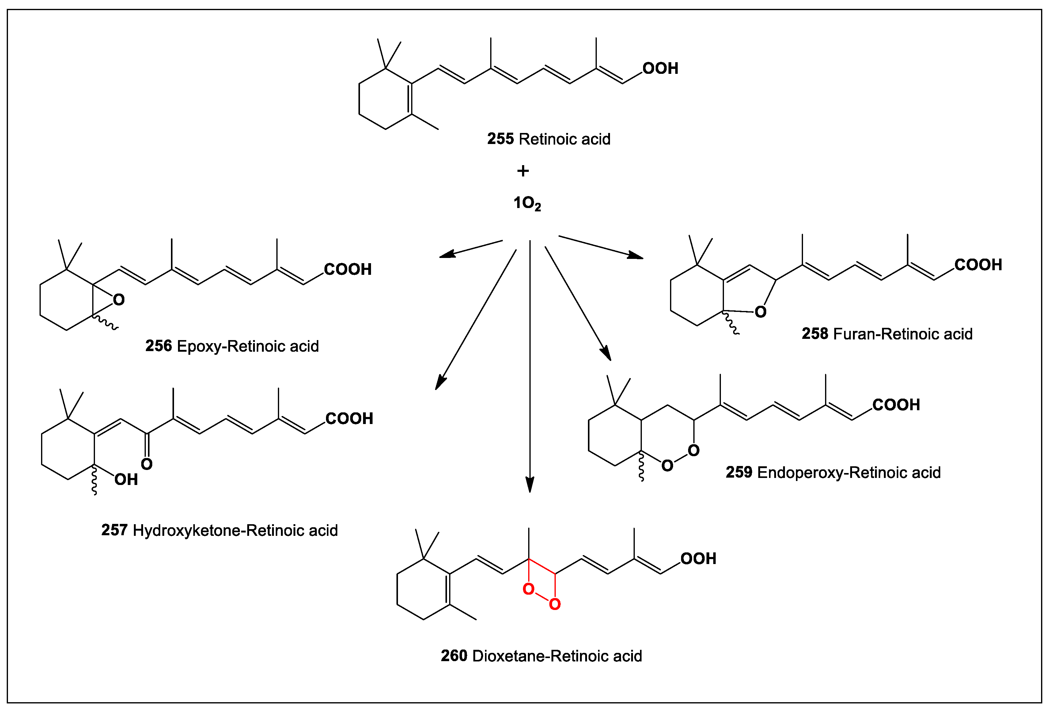
5.1.14. Oxidation of Carotenoids and Similar Compounds
Astaxanthin Oxidation Reaction
β-Carotene Oxidation Reaction
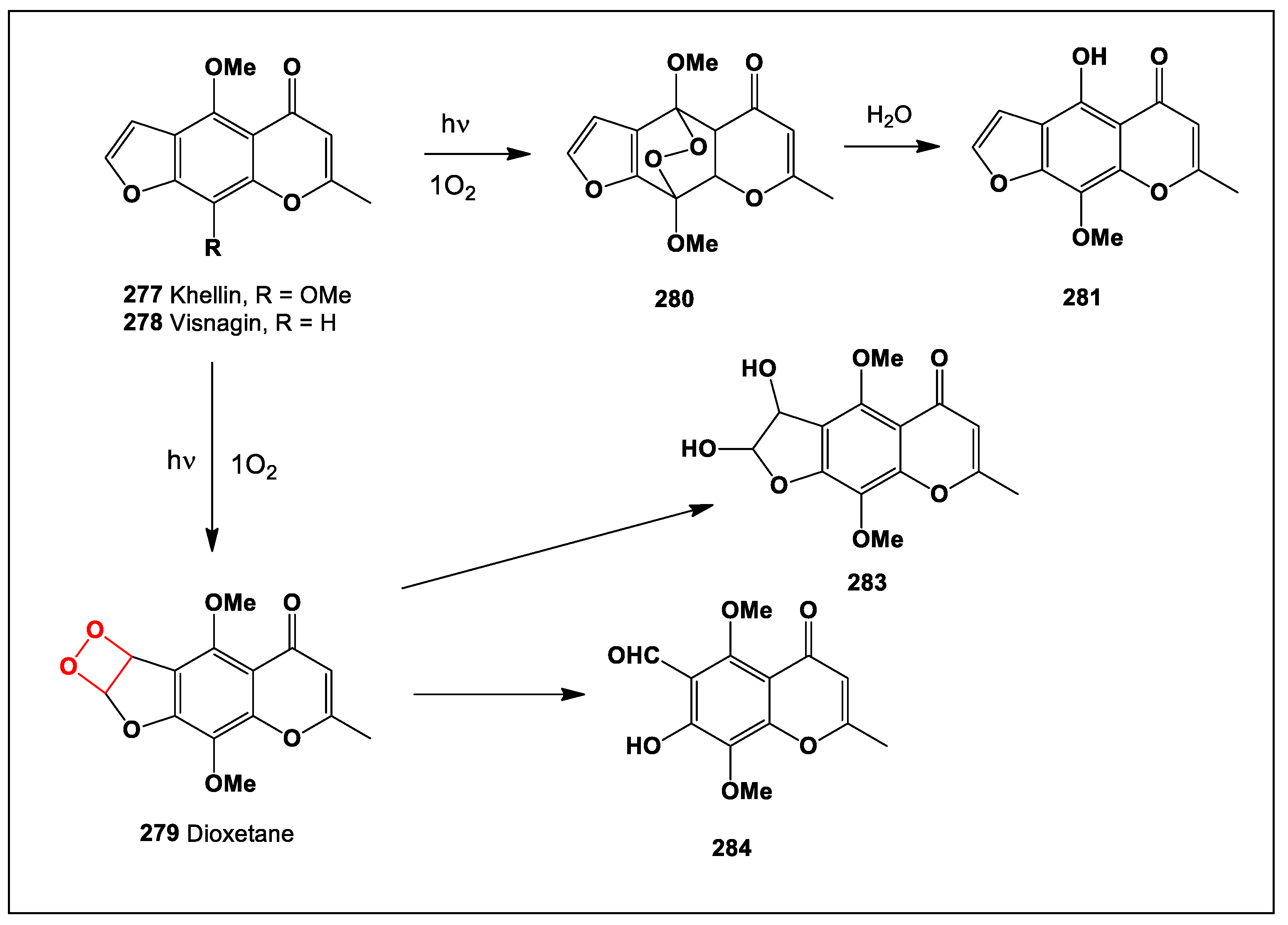
5.1.15. Synthesis and Biological Activities of Chromones
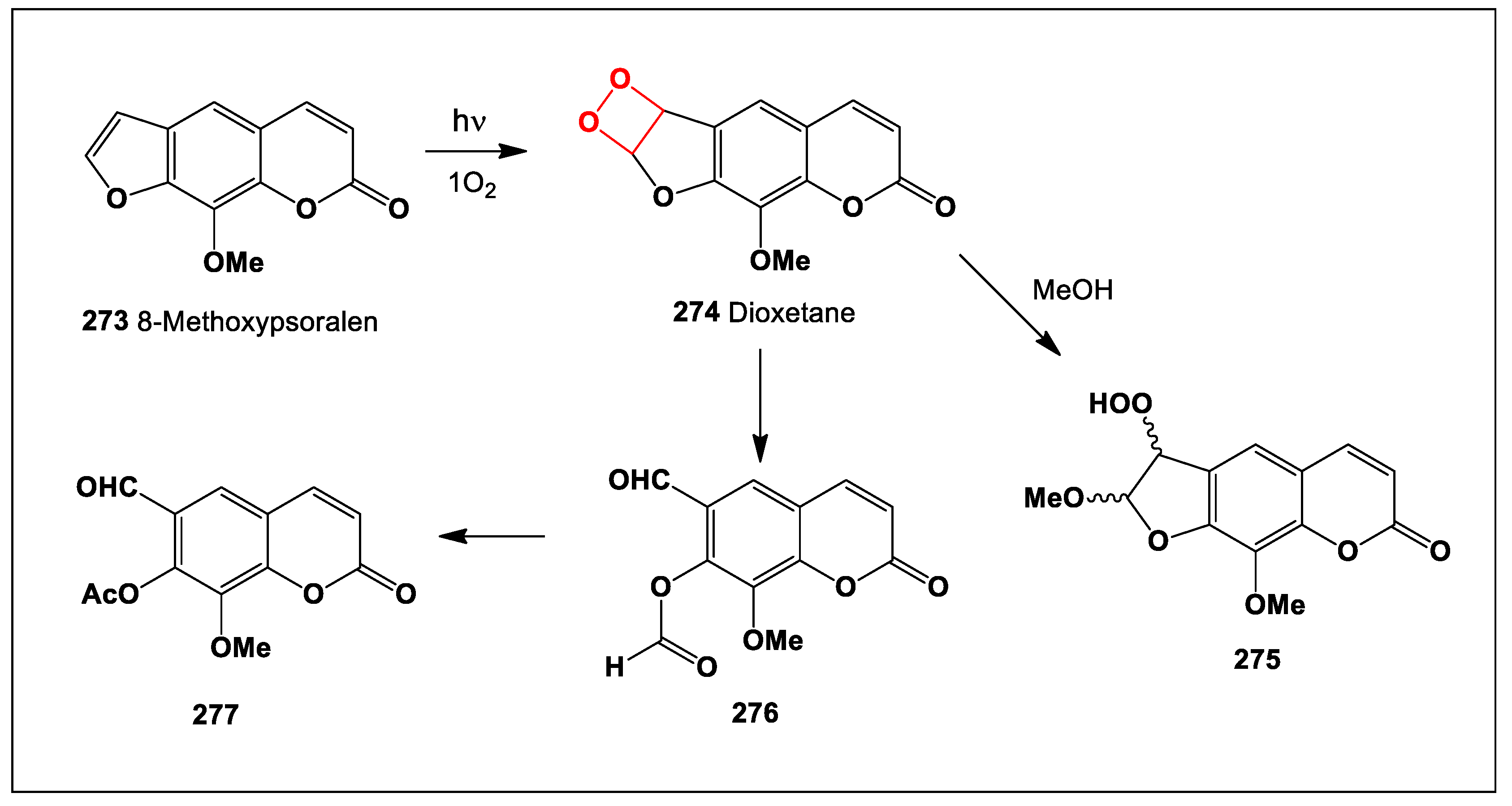
5.1.16. The Photooxidation of Psoralen
5.1.17. Oxidation of Quercetin
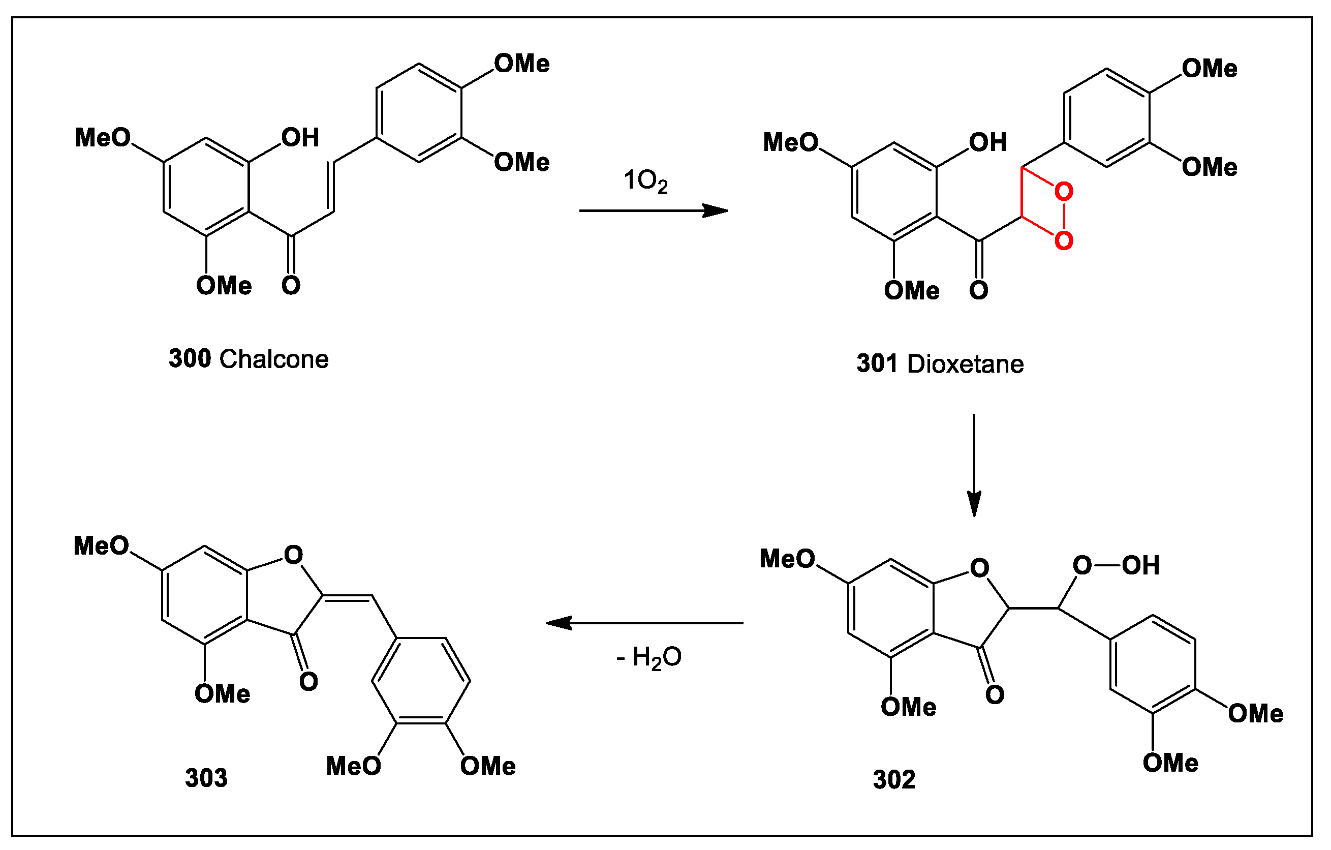
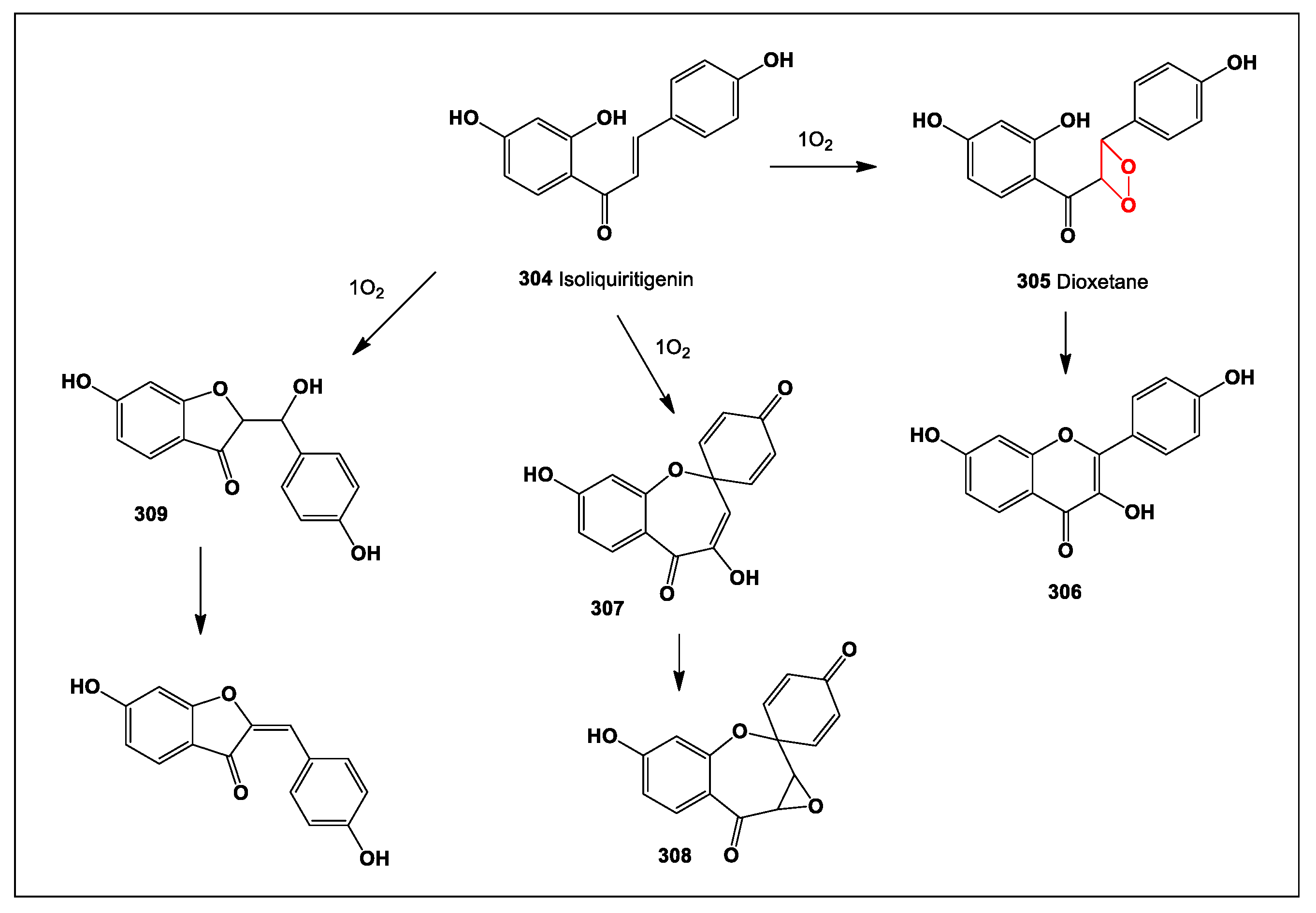
5.1.18. Oxidation of Chalcones Derivatives by Peroxidase
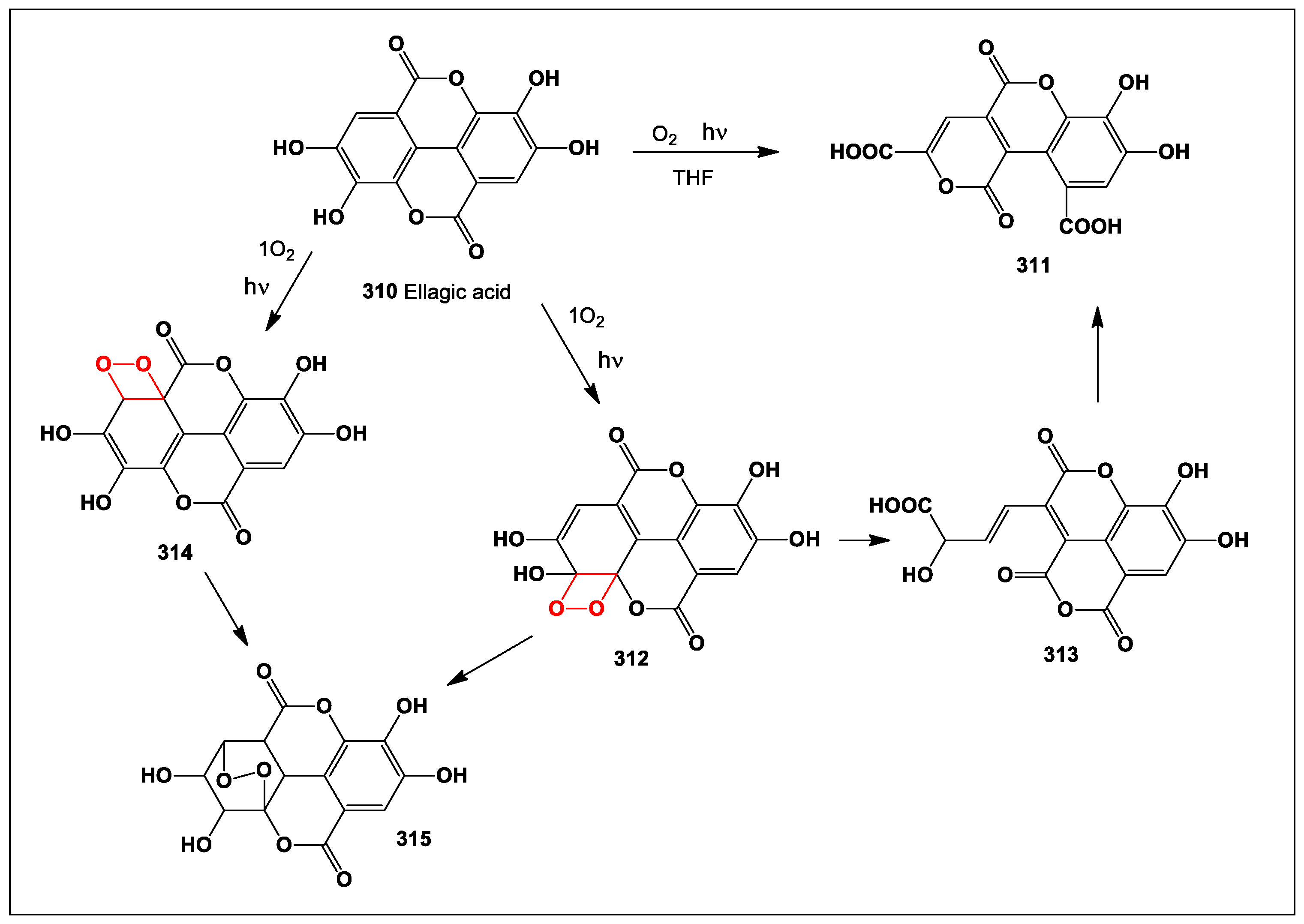
5.1.19. Photooxidation Products of Ellagic Acid
6. Conclusion
Funding
Institutional Review Board Statement
Informed Consent Statement
Data Availability Statement
Conflicts of Interest
References
- Buckingham, J. Dictionary of Natural Products. Chapman & Hall; CRC Press, 1993; p. 8584. [Google Scholar]
- Dunitz, J.D.; Schomaker, V. The molecular structure of cyclobutane. J. Chem. Phys. 1952, 20, 1703–1707. [Google Scholar] [CrossRef]
- Cotton, F.A.; Frenz, B.A. Conformations of cyclobutane. Tetrahedron 1974, 30, 1587–1594. [Google Scholar] [CrossRef]
- Dembitsky, V.M. Bioactive cyclobutane-containing alkaloids. J. Nat. Med. (Tokyo) 2008, 62, 1–33. [Google Scholar] [CrossRef]
- Dembitsky, V.M. Naturally occurring bioactive cyclobutane-containing (CBC) alkaloids in fungi, fungal endophytes, and plants. Phytomedicine 2014, 21, 1559–1581. [Google Scholar] [CrossRef] [PubMed]
- Sergeiko, A.; Poroikov, V.V.; Hanuš, L.O.; Dembitsky, V.M. Cyclobutane-containing alkaloids: origin, synthesis, and biological activities. Open Med. Chem. J. 2008, 2, 26–37. [Google Scholar] [CrossRef] [PubMed]
- Hui, C.; Liu, Y.; Jiang, M.; Wu, P. Cyclobutane-containing scaffolds in bioactive small molecules. Trend. Chem. 2022, 4, P677–P681. [Google Scholar] [CrossRef]
- Jetten, M.S.M.; Sliekers, O.; Kuypers, M. Anaerobic ammonium oxidation by marine and freshwater planctomycete-like bacteria. Appl. Microbiol. Biotechnol. 2003, 63, 107–114. [Google Scholar] [CrossRef]
- Van Niftrik, L. Cell biology of unique anammox bacteria that contain an energy conserving prokaryotic organelle. Antonie van Leeuwenhoek 2013, 104, 489–497. [Google Scholar] [CrossRef] [PubMed]
- Vil, V.; Terent’ev, A.O.; Al Quntar, A.A.A.; Gloriozova, T.A.; Savidov, N.; Dembitsky, V.M. Oxetane-containing metabolites: origin, structures, and biological activities. Appl. Microbiol. Biotechnol. 2019, 103, 2449–2467. [Google Scholar] [CrossRef]
- Bull, J.A.; Croft, R.A.; Davis, O.A.; Doran, R.; Morgan, K.F. Oxetanes: recent advances in synthesis, reactivity, and medicinal chemistry. Chem. Rev. 2016, 116, 12150–12233. [Google Scholar] [CrossRef]
- Rojas, J.J.; Bull, J.A. Oxetanes in drug discovery campaigns. J. Med. Chem. 2023, 66, 12697–12709. [Google Scholar] [CrossRef] [PubMed]
- Adam, W. The chemistry of 1,2-dioxetanes. Adv. Heterocycl. Chem. 1977, 21, 437–481. [Google Scholar] [CrossRef]
- Bastos, E.L.; Farahani, P.; Bechara, E.J.H.; Baader, W.J. Four-membered cyclic peroxides: Carriers of chemical energy. J. Phys. Org. Chem. 2017, 30, e3725. [Google Scholar] [CrossRef]
- Tamez-Fernández, J.F.; Melchor-Martínez, E.M.; Ibarra-Rivera, T.R. Plant-derived endoperoxides: structure, occurrence, and bioactivity. Phytochem. Rev. 2020, 19, 827–864. [Google Scholar] [CrossRef]
- Dembitsky, V.M.; Vil, V.A. Medicinal chemistry of stable and unstable 1,2-dioxetanes: Origin, formation, and biological activities. Sci. Synth. Knowled. Update. 2019, 3, 333. [Google Scholar]
- Matsumoto, M. Advanced chemistry of dioxetane-based chemiluminescent substrates originating from bioluminescence. J. Photochem. Photobiol. Photochem. Rev. 2004, 5C, 27–53. [Google Scholar] [CrossRef]
- Haris, U.; Kagalwala, H.N.; Kim, Y.L.; Lippert, A.R. Seeking illumination: The path to chemiluminescent 1,2-dioxetanes for quantitative measurements and in vivo imaging. Acc. Chem. Res. 2021, 54, 2844–2857. [Google Scholar] [CrossRef] [PubMed]
- Wang, Y.; Bian, Y.; Chen, X.; Su, D. Chemiluminescent probes based on 1, 2-dioxetane structures for bioimaging. Chem. An Asian J. 2022, 17, e202200018. [Google Scholar] [CrossRef] [PubMed]
- Wen, Y.; Mo, H.; Tan, B.; Lu, X.; Wang, B.; Liu, N. Progress in synthesis and properties of oxetane–based energetic polymers. Eur. Polymer J. 2023, 194, 112161. [Google Scholar] [CrossRef]
- Fu, Z.; Xu, J. Synthesis of oxetanes. Prog. Chem. 2021, 33, 895–906. [Google Scholar]
- Huang, G.; Hucek, D.; Cierpicki, T.; Grembecka, J. Applications of oxetanes in drug discovery and medicinal chemistry. Eur. J. Med. Chem. 2023, 261, 115802. [Google Scholar] [CrossRef] [PubMed]
- Sachdeva, H.; Khaturia, S.; Saquib, M. Oxygen- and sulphur-containing heterocyclic compounds as potential anticancer agents. Appl. Biochem. Biotechnol. 2022, 194, 6438–6467. [Google Scholar] [CrossRef] [PubMed]
- Yuan, J.X.; Zeng, Y.; Zou, C.; Zhao, P.J. Four new β-lactones from the endophytic Streptomyces sp. T1B1. Phytochemistry Lett. 2013, 6, 625–628. [Google Scholar] [CrossRef]
- Greenspan, M.D.; Yudkovitz, J.B.; Lo, C.Y.L. Inhibition of hydroxymethylglutaryl-coenzyme A synthase by L-659,699. Proc. Nat. Acad. Sci. USA 1987, 84, 7488–7492. [Google Scholar] [CrossRef]
- Tomoda, H.; Ohbayashi, N.; Morikawa, Y. Binding site for fungal β-lactone hymeglusin on cytosolic 3- hydroxy-3-methylglutaryl coenzyme A synthase. Biochim Biophys Acta 2004, 1636, 22–28. [Google Scholar] [CrossRef] [PubMed]
- Nonaka, Y.; Ohtaki, H.; Ohtsuka, E.; Kocha, T.; Fukuda, T.; Takeuchi, T. Effects of ebelactone B, a lipase inhibitor, on intestinal fat absorption in the rat. J. Enzym. Inhibit. 1995, 10, 57–63. [Google Scholar] [CrossRef] [PubMed]
- Ostrowska, H.; Kalinowska, J.; Chabielska, E.; Stankiewicz, A.; Kruszewski, K.; Buczko, W. Ebelactone B, an inhibitor of extracellular cathepsin A-type enzyme, suppresses platelet aggregation ex vivo in renovascular hypertensive rats. J. Cardiovasc. Pharm. 2005, 45, 348–353. [Google Scholar] [CrossRef] [PubMed]
- Omura, S.; Murata, M.; Imamura, N.; Iwai, Y.; Tanaka, H.; Furusaki, A.; Matsumoto, H. Oxetin, a new antimetabolite from an actinomycete. Fermentation, isolation, structure and biological activity. J. Antibiot. (Tokyo) 1984, 37, 1324–1332. [Google Scholar] [CrossRef] [PubMed]
- Evidente, A.; Iacobellisa, N.S.; Scopa, A.; Surico, G. Isolation of β-phenyllactic acid related compounds from Pseudomonas syringae. Phytochemistry 1990, 29, 1491–1497. [Google Scholar] [CrossRef]
- Loh, J.; Carlson, R.W.; York, W.S.; Stacey, G. Bradyoxetin, a unique chemical signal involved in symbiotic gene regulation. Proc. Natl. Acad. Sci. USA 2002, 99, 14446–14451. [Google Scholar] [CrossRef]
- Mondol, M.A.M.; Tareq, F.S.; Kim, J.H.; Lee, M.A.; Lee, H.S.; Lee, Y.J.; Lee, J.S.; Shin, H.J. Cyclic ether-containing macrolactins, antimicrobial 24-membered isomeric macrolactones from a marine Bacillus sp. J. Nat. Prod. 2011, 74, 2582–2587. [Google Scholar] [CrossRef] [PubMed]
- Murakami, S.; Harada, S.; Kojima, F.; Kinoshita, N.; Takahashi, Y.; Hamada, M.; Takeuchi, T.; Aoyagi, T. Belactins A and B, new serine carboxypeptidase inhibitors produced by Actinomycete. I. Taxonomy, production, isolation and biological actmties. J. Enzyme Inhibition 1995, 9, 263–275. [Google Scholar] [CrossRef] [PubMed]
- Murakami, S.; Takahashi, Y.; Naganawa, H.; Takeuchi, T.; Aoyagi, T. Belactins A and B, new serine carboxypeptidase inhibitors produced by Actinomycete. II. Physico-chemical properties, structure determinations and enzymatic inhibitory activities compared with other β-lactone containing inhibitors. J. Enzyme Inhib. 1995, 9, 277–284. [Google Scholar] [CrossRef] [PubMed]
- Asai, A.; Hasegawa, A.; Ochiai, K.; Yamashit, Y. Belactosin A, a novel antitumor antibiotic acting on cyclin/CDK mediated cell cycle regulation, produced by Streptomyces sp. J. Antibiot. 2000, 53, 81–83. [Google Scholar] [CrossRef] [PubMed]
- Grafe, U.; Fleck, W.F.; Mbllmann, U.; Schade, W.; Tonew, E.; Wiesner, J. Diffusomycin, A new macrocyclic polyene lactame antibiotic from Streptomyces albus inhibiting bacterial growth only partly. Int. Symp. Chem. Nat. Prod. PA 1988, 167, 245. [Google Scholar]
- Mori, T.; Takahashi, K.; Kashiwabara, M.; Uemura, D.; Katayama, C. Structure of oxazolomycin, a novel β-lactone antibiotic. Tetrahedron Lett. 1985, 26, 1073–1076. [Google Scholar] [CrossRef]
- Tonew, E.; Tonew, M.; Gräfe, U.; Zöpel, P. On the antiviral activity of diffusomycin (oxazolomycin). Acta Virologica 1992, 36, 166–172. [Google Scholar] [PubMed]
- Mutoh, M.; Nakada, N.; Matsukuma, S. Panclicins, novel pancreatic lipase inhibitors I. Taxonomy, fermentation, isolation and biological activity. J. Antibiot. 1994, 47, 1369–1375. [Google Scholar] [CrossRef] [PubMed]
- Kitahara, M.; Asano, M.; Naganawa, H.; Maeda, K.; Hamada, M.; Aoyagi, T.; Umezawa, H.; Iitaka, Y.; Nakamura, H. Valilactone, an inhibitor of esterase, produced by actinomycetes. J. Antibiot. (Tokyo) 1987, 40, 1647–1650. [Google Scholar] [CrossRef]
- Penn, J.; Biddle, J.R.; Mantle, P.G.; Bilton, J.N.; Sheppard, R.N. Pennigritrem, a naturally-occurring penitrem A analogue with novel cyclisation in the diterpenoid moiety. J. Chem. Soc., Perkin Trans. 1 1992, 1, 23–26. [Google Scholar] [CrossRef]
- Le, T.C.; Yang, I.; Yoon, Y.J.; Nam, S.J.; Fenical, W. Ansalactams B–D illustrate further biosynthetic plasticity within the ansamycin pathway. Org. Lett. 2016, 18, 2256–2259. [Google Scholar] [CrossRef] [PubMed]
- Hirota, A.; Ando, Y.; Monma, S.; Hirota, H. FCRR-toxin, a novel phytotoxin from Fusarium oxysporum f. sp. radicis-lycopersici. Biosci. Biotech. Biochem. 1994, 58, 1931–1932. [Google Scholar] [CrossRef]
- Rachid, S.; Huo, L.; Herrmann, J.; Stadler, M.; Köpcke, B.; Bitzer, J.; Müller, R. Mining the cinnabaramide biosynthetic pathway to generate novel proteasome inhibitors. Chembiochem 2011, 12, 922–931. [Google Scholar] [CrossRef] [PubMed]
- Coxon, D.T.; Price, K.R.; Stothers, J.B.; Stoessl, A. Cyclodehydroisolubimin: A new tricyclic sesquiterpene from potato tubers inoculated with Phytophthora infestans. J. Chem. Soc., Chem. Commun. 1979, 1, 348–349. [Google Scholar] [CrossRef]
- Manam, R.R.; Macherla, V.R.; Tsueng, G.; Dring, C.W.; Weiss, J.; Neuteboom, S.T.C.; Lam, K.S.; Potts, B.C. Antiprotealide is a natural product. J. Nat. Prod. 2009, 72, 295–297. [Google Scholar] [CrossRef] [PubMed]
- Li, G.H.; Li, L.; Duan, M.; Zhang, K.Q. The chemical constituents of the fungus Stereum sp. Chem. Biodivers. 2006, 3, 210–216. [Google Scholar] [CrossRef] [PubMed]
- Centko, R.M.; Ramón-García, S.; Taylor, T.; Patrick, B.O.; Thompson, C.J.; Miao, V.P.; Andersen, R.J. Ramariolides A–D, antimycobacterial butenolides isolated from the mushroom Ramaria cystidiophora. J. Nat. Prod. 2012, 75, 2178–2182. [Google Scholar] [CrossRef] [PubMed]
- Jiang, M.Y.; Wang, F.; Yang, X.L.; Fang, L.Z.; Dong, Z.J.; Zhu, H.J.; Liu, J.K. Derivatives of vibralactone from cultures of the Basidiomycete Boreostereum vibrans. Chem. Pharm. Bull. 2008, 56, 1286–1288. [Google Scholar] [CrossRef] [PubMed]
- Duan, K.T.; Li, Z.H.; Yu, X.; Yuan, Q.X.; Wang, W.X.; Li, J.; Ping, H.; Feng, C.T.; Liu, J.K. Vibralactone derivatives containing γ,δ,ε-lactone cores from cultures of the basidiomycete Boreostereum vibrans. Fitoterapia 2018, 128, 7–11. [Google Scholar] [CrossRef]
- Zhang, W.; Xu, L.; Yang, L.; Huang, Y.; Li, S.; Shen, Y. Phomopsidone A, a novel depsidone metabolite from the mangrove endophytic fungus Phomopsis sp. A123. Fitoterapia 2014, 96, 146–151. [Google Scholar] [CrossRef]
- Subban, S.; Singh, S.; Subramani, R.; Johnpaul, M.; Chelliah, J. Fungal 7-epi-10-deacetyltaxol produced by an endophytic Pestalotiopsis microspora induces apoptosis in human hepatocellular carcinoma cell line (HepG2). BMC Complem. Alternat. Med. 2017, 17, 504–516. [Google Scholar] [CrossRef] [PubMed]
- Kurata, K.; Suzuki, T.; Suzuki, M.; Kurosawa, E. Laureacetal C, an unusual secochamigrane sesquiterpene from the red alga Laurencia nipponica Yamada. Chem. Lett. 1983, 12, 29–32. [Google Scholar] [CrossRef]
- Ji, N.Y.; Wang, B.G. Nonhalogenated organic molecules from Laurencia algae. Phytochem. Rev. 2014, 13, 653–670. [Google Scholar] [CrossRef]
- Cheng, S.Y.; Wang, S.K.; Wen, Z.H.; Dai, C.F.; Duh, C.Y. Three new eudesmanoids from the Formosan soft coral Nephthea erecta. J. Asian Nat. Prod. Res. 2009, 11, 967–973. [Google Scholar] [CrossRef] [PubMed]
- Irie, T.; Izawa, M.; Kurosawa, E. Laureatin and isolaureatin, constituents of Laurencia nipponica Yamada. Tetrahedron 1970, 26, 851–870. [Google Scholar] [CrossRef]
- Da Machado, F.L.S.; Kaiser, C.R.; Costa, S.S.; Gestinari, L.M.; Soares, A.R. Biological activity of the secondary metabolite from marine algae of the genus Laurencia. Rev. Bras. Pharm. 2010, 20, 441–452. [Google Scholar] [CrossRef]
- De Rosa, S.; De Stefano, S.; Scarpelli, P.; Zavodnik, N. Terpenes from the red alga Sphaerococcus coronopifolius of the North Adriatic Sea. Phytochemisrry 1988, 27, 1875–1878. [Google Scholar] [CrossRef]
- Pullaiah, K.C.; Surapaneni, R.K.; Rao, C.B.; Albizati, K.F. Dictyoxetane, a novel diterpene from the brown alga Dictyota dichotoma from the Indian Ocean. J. Org. Chem. 1985, 50, 3665–3666. [Google Scholar] [CrossRef]
- Mayol, L.; Piccialli, V.; Sica, D. Spongiolactone, an unusual β-lactone diterpene isovalerate based on a new rearranged spongiane skeleton from Spongionella gracilis. Tetrahedron Lett. 1987, 28, 3601–3604. [Google Scholar] [CrossRef]
- Dai, J.; Fishback, J.A.; Zhou, Y.D.; Nagle, D.G. Sodwanone and yardenone triterpenes from a South African species of the marine sponge Axinella inhibit hypoxia-inducible factor-1 (HIF-1) activation in both breast and prostate tumor cells. J. Nat. Prod. 2006, 69, 1715–1720. [Google Scholar] [CrossRef]
- Dookran, D.; Maharaj, D.; Mootoo, B.S.; Ramsewak, R.; Tinto, W.F. Briarane and asbestinane diterpenes from Briareum asbestinum. Tetrahedron 1994, 50, 1983–1992. [Google Scholar] [CrossRef]
- Okada, K.; Enomoto, S.; Morimoto, K.; Kazuno, T. The isolation of a new bile sterol, 3α,7α, 12α-trihydroxy-24,27-epoxycoprostance, from Sting-ray bile. J. Biochem. (Tokyo) 1962, 51, 441–442. [Google Scholar] [CrossRef] [PubMed]
- Selvamani, S.; Balamurugan, S. Phytochemical screening and GC-MS analysis of acetone leaf extract of Acalypha indica (Linn.). Int. J. Res. Stud. Biosci. 2015, 3, 229–232. [Google Scholar]
- Morris, B.D.; Smyth, R.R.; Foster, S.P.; Hoffmann, M.P.; Roelofs, W.L. Vittatalactone, a β-Lactone from the Striped Cucumber Beetle, Acalymma vittatum. J. Nat. Prod. 2005, 68, 26–30. [Google Scholar] [CrossRef] [PubMed]
- Ko, H.H.; Yang, S.Z.; Lin, C.N. Artocarpol F, a phenolic compound with a novel skeleton, isolated from Artocarpus rigida. Tetrahedron Lett. 2001, 42, 5269–5270. [Google Scholar] [CrossRef]
- Wang, J.S.; Zhang, Y.; Wang, X.-B.; Kong, L.-Y. Aphanalides A–H, ring A- secolimonoids from the fruits of Aphanamixis polystachya. Tetrahedron 2012, 68, 3963–3971. [Google Scholar] [CrossRef]
- Jeong, S.Y.; Jun do, Y.; Kim, Y.H.; Min, B.S.; Min, B.K.; Woo, M.H. Monoterpenoids from the aerial parts of Aruncus dioicus var. kamtschaticus and their antioxidant and cytotoxic activities. Bioorg. Med. Chem. Lett. 2011, 21, 3252–3256. [Google Scholar] [CrossRef] [PubMed]
- Nadia, S.; Azeana, S.; Liew, S.; Litaudon, M.; Issam, A.M.; Wahab, H.A.; Awang, K. Pahangine A and B, two new oxetane containing neolignans from the barks of Beilschmiedia glabra Kosterm (Lauraceae). Phytochemistry Lett. 2018, 25, 22–26. [Google Scholar] [CrossRef]
- Anjaneyulu, A.S.; Rao, V.L. Ceriopsins F and G, diterpenoids from Ceriops decandra. Phytochemistry 2003, 62, 1207–1211. [Google Scholar] [CrossRef]
- Bao, S.; Deng, Z.; Fu, H.; Proksch, P.; Lin, W. Diterpenes and disulfides from the marine mangrove plant Bruguiera sexangula var. rhynchopetala. Helv. Chim. Acta 2005, 88, 2757–2763. [Google Scholar] [CrossRef]
- Massanet, G.M.; Collado, I.G.; Macías, F.A.; Bohlmann, F.; Jakupovic, J. Structural determination of clementein, a new guaianolide isolated from Centaurea clementei. Tetrahedron Lett. 1983, 24, 1641–1642. [Google Scholar] [CrossRef]
- Collado, I.G.; Macias, F.A.; Massanet, G.M.; Molinillo, J.M.G.; Rodriguez-Luis, F. Terpene synthesis. 1. Chemical transformation of deacylsubexpinnatin into the natural oxetane lactone subexpinnatin C. J. Org. Chem. 1987, 52, 3323–3326. [Google Scholar] [CrossRef]
- Smith, L.W.; Culvenor, C.C.J. Grantianine and grantaline, alkaloids of Crotalaria virgulata subsp. grantiana. Phytochemistry 1984, 23, 473–474. [Google Scholar] [CrossRef]
- Wright, M.; Byrd, J.; Gao, Y.; Stubblefield, J.; Park, H.; Dunlap, N. Isolation and structural clarification of triterpenes from Cyclocarya paliurus: Cyclocaric acid A and B. Planta Med. 2014, 80, PD19. [Google Scholar] [CrossRef]
- Bohlmann, F.; Dhar, A.K.; Jakupovic, J.; King, R.M.; Robinson, H. Two sesquiterpene lactones with an additional propiolactone ring from Disynaphia halimifolia. Phytochemistry 1981, 20, 1077–1080. [Google Scholar] [CrossRef]
- De Gutierrez, A.N.; Bardon, A.; Catalan, C.A.N.; Gedris, T.B.; Herz, W. Sesquiterpene lactones and other constituents of Disynaphia multicrenulata from Argentina. Biochem. Syst. Ecol. 2001, 29, 633–647. [Google Scholar] [CrossRef] [PubMed]
- Chiu, H.L.; Wu, J.H.; Tung, Y.T.; Lee, T.H.; Chien, S.C.; Kuo, Y.H. Triterpenoids and aromatics from Derris laxiflora. J. Nat. Prod. 2008, 71, 1829–1832. [Google Scholar] [CrossRef] [PubMed]
- Mahmoud, A.A.; Ahmed, A.A.; Iinuma, M.; Tanaka, T. Further monoterpene 5-methyl-coumarins and an acetophenone derivative from Ethulia conyzoides. Phytochemistry 1998, 48, 543–546. [Google Scholar] [CrossRef]
- Yamada, K.; Takada, S.; Nakamura, S.; Hirata, Y. The structures of anisatin and neoanisatin: Toxic sesquiterpenes from Illicium anisatum L. Tetrahedron 1968, 24, 199–229. [Google Scholar] [CrossRef]
- Huang, J.M.; Yokoyama, R.; Yang, C.S.; Fukuyama, Y. Merrilactone A, a novel neurotrophic sesquiterpene dilactone from Illicium merrillianum. Tetrahedron Lett. 2000, 41, 6111–6114. [Google Scholar] [CrossRef]
- Zhao, W.; Pu, J.X.; Du, X. Chemical constituents from the aerial parts of Isodon coetsa and their cytotoxicity. Arch. Pharm. Res. 2011, 34, 2007–2014. [Google Scholar] [CrossRef] [PubMed]
- Han, Q.; Zhang, J.; Lu, Y.; Wu, Y.; Zheng, Q.; Sun, H. A novel cytotoxic oxetane ent-kauranoid from Isodon japonicus. Planta Med. 2004, 70, 581–584. [Google Scholar] [CrossRef] [PubMed]
- Bohlmann, F.; Zdero, C.; King, R.M.; Robinson, H. Germacranolides, a guaianolide with a β-lactone ring and further constituents from Grazielia species. Phytochemistry 1981, 20, 1069–1075. [Google Scholar] [CrossRef]
- Shiu, L.L.; Chen, W.C.; Kuo, Y.H. Five New cis-Himachalane-Type Sesquiterpenes from the Heartwood of Juniperus chinensis var. tsukusiensis. Chem. Pharm. Bull. 1999, 47, 557–560. [Google Scholar] [CrossRef]
- Jabeen, B.; Riaz, N.; Saleem, M.; Naveed, M.A.; Ahmed, M.; Tahir, M.N.; Pescitellic, G.; Ashraf, M.; Ejaz, S.A.; Ahmed, I.; Jabbar, A. Isolation and characterization of limonoids from Kigelia africana. Z. Naturforsch. 2013, 68B, 1041–1048. [Google Scholar] [CrossRef]
- Gao, K.; Ma, D.W.; Cheng, Y.; Tian, X.R.; Lu, Y.Y.; Du, X.Y.; Tang, H.F.; Chen, J.Z. Three new dimers and two monomers of phenolic amides from the fruits of Lycium barbarum and their antioxidant activities. J. Agric. Food Chem. 2015, 63, 1067–1075. [Google Scholar] [CrossRef] [PubMed]
- Zhu, P.F.; Dai, Z.; Wang, B.; Wei, X.; Yu, H.F.; Yan, Z.R. The anticancer activities phenolic amides from the stem of Lycium barbarum. Nat. Prod. Bioprospect. 2017, 7, 421–431. [Google Scholar] [CrossRef] [PubMed]
- Liu, J.Q.; Peng, X.R.; Li, X.Y.; Li, T.Z.; Zhang, W.M.; Shi, L. Norfriedelins A-C with acetylcholinesterase inhibitory activity from acerola tree (Malpighia emarginata). Org. Lett. 2013, 15, 1580–1583. [Google Scholar] [CrossRef]
- Li, C.; Lee, D.; Graf, T.N.; Phifer, S.S.; Nakanishi, Y.; Burgess, J.P. A hexacyclic ent-trachylobane diterpenoid possessing an oxetane ring from Mitrephora glabra. Org. Lett. 2005, 7, 5709–5712. [Google Scholar] [CrossRef]
- Xie, W.D.; Zhang, Q.; Li, P.L.; Ji, Z.J. Two triterpenoids and other constituents from Petasites tricholobus. Phytochemistry 2005, 66, 2340–2345. [Google Scholar] [CrossRef]
- Elliger, C.A.; Benson, M.; Haddon, W.F.; Lundin, R.E. Petuniasterones. Part 2. Novel ergostane-type steroids from Petunia hybridavilm (Solanaceae). J. Chem. Soc. Perkin Trans 1 1989, 1, 143–149. [Google Scholar] [CrossRef]
- Elliger, C.A.; Benson, M.; Haddon, W.F.; Lundin, R.E.; Waiss, A.C., Jr.; Wong, R.Y. Three new types of ergostanoids with unusual functionalities were isolated from leaves and stems of Petunia hybrids. J. Chem. Soc. Perkin Trans 1 1988, 1, 711–717. [Google Scholar] [CrossRef]
- Fukuyama, Y.; Nakaoka, M.; Yamamoto, T.; Takahashi, H.; Minami, H. Degraded and oxetane-bearing limonoids from the roots of Melia azedarach. Chem. Pharm. Bull. (Tokyo) 2006, 54, 1219–1222. [Google Scholar] [CrossRef] [PubMed]
- Uyeo, S.; Irie, H.; Harada, H. The structure of stenine, a new alkaloid occurring in Stemona tuberosa. Chem. Pharm. Bull. 1967, 15, 768–770. [Google Scholar] [CrossRef] [PubMed]
- Shen, Y.C.; Hsu, S.M.; Lin, Y.S.; Cheng, K.C.; Chien, C.T.; Chou, C.H.; Cheng, Y.B. New bicyclic taxane diterpenoids from Taxus sumatrana. Chem. Pharm. Bull. 2005, 53, 808–810. [Google Scholar] [CrossRef] [PubMed]
- Shen, Y.C.; Wang, S.S.; Chien, C.T.; Khalil, A.T. Tasumatrols U−Z, taxane diterpene esters from Taxus sumatrana. J. Nat. Prod. 2008, 71, 576–800. [Google Scholar] [CrossRef] [PubMed]
- Wani, M.C.; Taylor, H.L.; Wall, M.E.; Coggon, P.; McPhail, A.T. Plant antitumor agents. VI. Isolation and structure of taxol, a novel antileukemic and antitumor agent from Taxus brevifolia. J. Am. Chem. Soc. 1971, 93, 2325–2327. [Google Scholar] [CrossRef] [PubMed]
- Jones, R.J.; Hawkins, R.E.; Eatock, M.M.; Ferry, D.R.; Eskens, F.A.; Wilke, H.; Evans, T.R. A phase II open-label study of DHA-paclitaxel (Taxoprexin) by 2-h intravenous infusion in previously untreated patients with locally advanced or metastatic gastric or oesophageal adenocarcinoma. Cancer Chemother. Pharm. 2008, 61, 435–441. [Google Scholar] [CrossRef] [PubMed]
- Zhang, Z.; Jia, Z. Taxanes from Taxus chinensis. Phytochemistry 1991, 30, 2345–2348. [Google Scholar] [CrossRef]
- Vander, D.G.; Velde, D.G.; Georg, G.I.; Gollapudi, S.R.; Jampani, H.B. Wallifoliol, a taxol congener with a novel carbon skeleton, from Himalayan Taxus wallichiana. J. Nat. Prod. 1994, 57, 862–867. [Google Scholar] [CrossRef]
- Shen, Y.C.; Wang, S.S.; Pan, Y.L.; Lo, K.L.; Chakraborty, R. New taxane diterpenoids from the leaves and twigs of Taxus sumatrana. J. Nat. Prod. 2002, 65, 1848–1852. [Google Scholar] [CrossRef] [PubMed]
- Georgopoulou, K.; Smirlis, D.; Bisti, S.; Xingi, E.; Skaltsounis, L.; Soteriadou, K. In vitro activity of 10-deacetylbaccatin III against Leishmania donovani promastigotes and intracellular amastigotes. Planta Med. 2007, 73, 1081–1088. [Google Scholar] [CrossRef] [PubMed]
- Eguren, L.; Perales, A.; Fayos, J.; Rodriguez, B.; Savona, G.; Piozzi, F. New neoclerodane diterpenoid containing an oxetane ring isolated from Teucrium chamaedrys. X-ray structure determination. J. Org. Chem. 1982, 47, 4157–4160. [Google Scholar] [CrossRef]
- De La Torre, M.C.; Pascual, C.; Franco, B.R.; Savona, P.G.; Perales, A. Neo-clerodane diterpenoids from Teucrium salviastrum. Phytochemistry 1986, 25, 1397–1403. [Google Scholar] [CrossRef]
- Tian, H.Y.; Ruan, L.J.; Yu, T.; Zheng, Q.F.; Chen, N.H.; Wu, R.B.; Zhang, X.Q. Bufospirostenin A and Bufogargarizin C, Steroids with Rearranged Skeletons from the Toad Bufo bufo gargarizans. J. Nat. Prod. 2017, 80, 1182–1186. [Google Scholar] [CrossRef] [PubMed]
- Abdel-Azim, N.S.; Hammouda, F.M.; Hunkler, D.; Rimpler, H. Re-investigation of the cardenolide glycosides from Gomphocarpus sinaicus. Phytochemistry 1996, 42, 523–529. [Google Scholar] [CrossRef]
- Wang, J.P.; Shu, Y.; Liu, S.X.; Hu, J.T.; Sun, C.T.; Zhou, H.; Gan, D.; Cai, X.Y. Expanstines A–D: four unusual isoprenoid epoxycyclohexenones generated by Penicillium expansum YJ-15 fermentation and photopromotion. Org. Chem. Front. 2019, 6, 3839–3846. [Google Scholar] [CrossRef]
- Hoang, L.S.; Tran, M.H.; Min, B.S. Isolation of a new homomonoterpene from Madhuca pasquieri and effect of isolated compounds on NO production. Nat. Prod. Commun. 2016, 11, 729–732. [Google Scholar] [CrossRef] [PubMed]
- Chen, H.D.; Yang, S.P.; He, X.F.; Ai, J.; Liu, Z.K.; Liu, H.B.; Geng, M.Y.; Yue, J.M. Trigochinins A−C: three new daphnane-type diterpenes from Trigonostemon chinensis. Org. Lett. 2010, 12, 1168–1171. [Google Scholar] [CrossRef]
- Cheng, Y.Y.; Chen, H.; He, H.; Zhang, Y.; Li, S.F.; Tang, G.H.; Guo, L.L.; Yang, W. Anti-HIV active daphnane diterpenoids from Trigonostemon thyrsoideum. Phytochemistry 2013, 96, 360–369. [Google Scholar] [CrossRef]
- Xu, J.B.; Yue, J.M. Recent studies on the chemical constituents of Trigonostemon plants. Org. Chem. Front. 2014, 1, 1225–1252. [Google Scholar] [CrossRef]
- Ni, L.; Ma, J.; Li, C.J.; Li, L.; Guo, J.M.; Yuan, S.P.; Hou, Q. Novel rearranged and highly oxygenated abietane diterpenoids from the leaves of Tripterygium wilfordii. Tetrahedron Lett. 2015, 56, 1239–1243. [Google Scholar] [CrossRef]
- Zhang, L.; Luo, R.H.; Wang, F.; Jiang, M.Y.; Dong, Z.J.; Yang, L.M. Highly functionalized daphnane diterpenoids from Trigonostemon thyrsoideum. Org. Lett. 2010, 12, 152–155. [Google Scholar] [CrossRef] [PubMed]
- Malakov, P.Y.; Papanov, G.Y.; Mollov, N.M. Montanin-D, a new furanoid diterpene of clerodane type from Teucrium montanum L. Z. Naturforsch. 1978, 33B, 1142–1144. [Google Scholar] [CrossRef]
- Bombardelli, E.; Bonati, A.; Danieli, B.; Gabetta, B.; Martinelli, E.M.; Mustich, G. The structure of quimbeline, a new bisindole alkaloid from Voacanga chalotiana. Experientia 1975, 31, 139–140. [Google Scholar] [CrossRef]
- Guo, S.; Tang, Y.P.; Duan, J.A.; Su, S.L.; Ding, A.W. Two new terpenoids from fruits of Ziziphus jujuba. Chinese Chem. Lett. 2009, 20, 197–200. [Google Scholar] [CrossRef]
- Vikram, A.; Prithiviraj, B.; Kushalappa, A.C. Use of volatile metabolite profiles to discriminate fungal diseases of Cortland and Empire apples. J. Plant Pathol. 2002, 86, 215–225. [Google Scholar]
- Hamberg, M.; Svensson, J.; Samuelsson, B. Thromboxanes: a new group of biologically active compounds derived from prostaglandin endoperoxides. Proc. Natl. Acad. Sci. USA 1975, 72, 2994–2998. [Google Scholar] [CrossRef] [PubMed]
- Gryglewski, R.J.; Dembínska-Kieć, A.; Korbut, R. A possible role of thromboxane A2 (TXA2) and prostacyclin (PGI2) in circulation. Acta Biol. Med. Ger. 1978, 37, 715–723. [Google Scholar]
- D'Armas, H.; Bermudez, D.; Caserta, A. Bioactividad de algunos octocorales de aguas Venezolanas. Saber, Universidad de Oriente, Venezuela 2004, 16, 19–25. [Google Scholar]
- Misico, R.I.; Nicotra, V.E.; Oberti, J.C.; Barboza, G.; Gil, R.R.; Burton, G. Withanolides and related steroids. In Progress in the Chemistry of Organic Natural Products Vol. 94. Fortschritte der Chemie organischer Naturstoffe / Progress in the Chemistry of Organic Natural Products; Kinghorn, A., Falk, H., Kobayashi, J., Eds.; Springer: Vienna, 2011; Volume 94. [Google Scholar] [CrossRef]
- Giner, J.L.; Faraldos, J.A. Facile orthoester formation in a model compound of the taxol oxetane: Are biologically active epoxy esters, orthoesters, and oxetanyl esters latent electrophiles? Helv. Chim. Acta 2003, 86, 3613. [Google Scholar] [CrossRef]
- An, F.L.; Yin, Y.; Luo, J.; Kong, L.Y. Highly oxygenous trichilin-type limonoids from Trichilia sinensis. Chinese J. Nat. Med. 2019, 17, 912–917. [Google Scholar] [CrossRef] [PubMed]
- Kong, L.Y. Terpenoids from the fruits of Aphanamixis grandifolia. Planta Med. 2013, 79, OP27. [Google Scholar] [CrossRef]
- Zhang, P.; Cui, Z.; Wei, S.; Li, Y.; Yin, Y.; Wang, X. Diverse limonoids from barks of Toona ciliata var. yunnanensis and their biological activities. Ind. Crops Prod. 2020, 148, 112275. [Google Scholar] [CrossRef]
- Tsamo, A.T.; Pagna, J.I.M.; Nangmo, P.K.; Mkounga, P.; Laatsch, H.; Nkengfack, A.E. Rubescins F–H, new vilasinin-type limonoids from the leaves of Trichilia rubescens (Meliaceae). Z. Naturforsch. 2019, 74, 175–182. [Google Scholar] [CrossRef]
- Hong, Z.L.; Xiong, J.; Wu, S.B.; Zhu, J.J.; Hong, J.L.; Zhao, Y.; Xia, G.; Hu, J.F. Tetracyclic triterpenoids and terpenylated coumarins from the bark of Ailanthus altissima (Tree of Heave). Phytochemistry 2013, 86, 159–167. [Google Scholar] [CrossRef] [PubMed]
- Li, H.M.; Liu, D.; Dai, W.F.; Chen, X.Q.; Li, R.T. A new protostane-type triterpenoid from Alisma plantago-aquatica subsp. orientale (Sam.) Sam. Nat. Prod. Res. 2019, 33, 3083–3088. [Google Scholar] [CrossRef] [PubMed]
- Hoshita, T. Stero-bile acids and bile sterols. XLVI. Isolation of a new bile sterol, 3a,7a,12a-trihydroxy-26, 27-epoxycholestane from Carp Bile. J. Biochem. 1962, 52, 125–130. [Google Scholar] [PubMed]
- Foote, C.S.; Clennan, E.L. Properties and reactions of singlet dioxygen. In Active Oxygen in Chemistry; Structure Energetics and Reactivity in Chemistry Series; Foote, C.S., Valentine, J.S., Greenberg, A., Liebman, J.F., Eds.; Springer: Dordrecht, 1995; Volume 2. [Google Scholar] [CrossRef]
- Krügener, S.; Schaper, C.; Krings, U.; Berger, R.G. Pleurotus species convert monoterpenes to furanoterpenoids through, 4-endoperoxides. Bioresour. Technol. 2009, 100, 2855–2860. [Google Scholar] [CrossRef]
- Lopes, N.S.; Yoshitake, A.M.; Silva, A.F.; Oliveira Jr, V.X.; Silva, L.S.; Pinheiro, A.A.S.; Ciscato, L.F.M.L. Antimalarial effect of 3-methoxy-1,2-dioxetanes on the erythrocytic cycle of Plasmodium falciparum. Chem. Biol. Drug Design 2015, 86, 1373–1377. [Google Scholar] [CrossRef]
- Romo, J.; Romo de Vivar, A. The pseudoguaianolides. Fortschr. Chem. Org. Naturst. 1967, 25, 90–130. [Google Scholar] [CrossRef] [PubMed]
- Huang, J.N.; Zou, Q.; Chena, J.; Xu, S.H.; Luo, D.; Zhang, F.G. Phenols and diketopiperazines isolated from Antarctic-derived fungi, Penicillium citreonigrum SP-6. Phytochemistry Lett. 2018, 27, 114–118. [Google Scholar] [CrossRef]
- Tiew, P.; Takayama, H.; Kitajima, M.; Aimi, N.; Kokpola, U.; Chavasiri, W. A novel neolignan, mansoxetane, and two new sesquiterpenes, mansonones R and S, from Mansonia gagei. Tetrahedron Lett. 2003, 44, 6759–6761. [Google Scholar] [CrossRef]
- Tiew, P. Bioactive compounds from Mansonia gagei Drumm. Thesis (Ph.D.), Chulalongkorn University, 2002. [Google Scholar]
- Wen, P.; Haining, L.V.; Jiang, Y.; Tu, P. Anti-inflammatory isoflavones and isoflavanones from the roots of Pongamia pinnata (L.) Pierre. Bioorg. Med. Chem. Lett. 2018, 28, 1050–1055. [Google Scholar] [CrossRef] [PubMed]
- Liu, Q.-F.; Chen, W.-L.; Tang, J.; Zhao, W.-M. Novel bis(bibenzyl) and (propylphenyl)bibenzyl derivatives from Dendrobium nobile. Helv. Chim. Acta 2007, 90, 1745–1750. [Google Scholar] [CrossRef]
- Yang, M.; Zhang, Y.; Chen, L.; Chen, Y. A new (propylphenyl)bibenzyl derivative from Dendrobium williamsonii. Nat. Prod. Res. 2018, 32, 1699–1705. [Google Scholar] [CrossRef] [PubMed]
- Lee, T.H.; Lu, C.K.; Kuo, Y.H.; Loe, J.M.; Lee, C.K. Unexpected novel pheophytin peroxides from the leaves of Biden pilosa. Helv. Chim. Acta 2008, 91, 79–84. [Google Scholar] [CrossRef]
- Li, H.; Li, L.; Zheng, Q.; Kuroda, C.; Wang, Q. Phaeophytin analogues from Ligularia knorringiana. Molecules 2012, 17, 5219–5224. [Google Scholar] [CrossRef]
- Immunomodulatory effects of hypocrellin A on MHC-restricted antigen processing. Immune Netw 2011, 11, 412–415. [CrossRef]
- Chen, W.S.; Chen, Y.T.; Wan, X.Y.; Friedrichs, E.; Puff, H. Structure of hypocrellin and its photooxidation product peroxyhypocrellin. Liebigs Ann. Chem. 1981, 10, 880–885. [Google Scholar]
- Schade, D.S.; Shey, L.; Eaton, R.F. Cholesterol review: A metabolically important molecule. Endocrine Practice 2020, 26, 1514–1523. [Google Scholar] [CrossRef] [PubMed]
- Zhang, R.; Han, Y.; McClements, D.J.; Xu, D.; Chen, S. Production, characterization, delivery, and cholesterol-lowering mechanism of phytosterols: A review. J. Agric. Food Chem. 2022, 70, 2483–2494. [Google Scholar] [CrossRef] [PubMed]
- Fester, L.; Rune, G.M. Sex neurosteroids: Hormones made by the brain for the brain. Neuroscience Letters 2021, 753, 135849. [Google Scholar] [CrossRef]
- Warren, T.; McAllister, R.; Morgan, A.; Rai, T.S.; McGilligan, V. The interdependency and co-regulation of the vitamin D and cholesterol metabolism. Cells 2021, 10, 2007. [Google Scholar] [CrossRef] [PubMed]
- Chiang, J.Y.L.; Ferrell, J.M. Up to date on cholesterol 7 alpha-hydroxylase (CYP7A1) in bile acid synthesis. Liver Res. 2020, 4, 47–63. [Google Scholar] [CrossRef] [PubMed]
- Di Mascio, P.; Catalani, L.H.; Bechara, E.J.H. Are dioxetanes chemiluminescent intermediates in lipoperoxidation? Free Radic. Biol. Med. 1992, 12, 471–478. [Google Scholar] [CrossRef] [PubMed]
- Uemi, M.; Ronsein, G.E.; Miyamoto, S.; Medeiros, M.H.G.; Di Mascio, P. Generation of cholesterol carboxyaldehyde by the reaction of singlet molecular oxygen [O2 (1Δg)] as well as ozone with cholesterol. Chem. Res. Toxicol. 2009, 22, 875–884. [Google Scholar] [CrossRef] [PubMed]
- Murphy, R.C.; Johnson, K.M. Cholesterol, reactive oxygen species, and the formation of biologically active mediators. J. Biol. Chem. 2008, 283, 15521–15525. [Google Scholar] [CrossRef] [PubMed]
- Yin, H.; Xu, L.; Porter, N.A. Free radical lipid peroxidation: mechanisms and analysis. Chem. Rev. 2011, 111, 5944–5972. [Google Scholar] [CrossRef]
- Onyango, A.N. Endogenous generation of singlet oxygen and ozone in human and animal tissues: mechanisms, biological significance, and influence of dietary components. Oxid. Med. Cell Longev. 2016, 216, 2398573. [Google Scholar] [CrossRef]
- Iuliano, L. Pathways of cholesterol oxidation via non-enzymatic mechanisms. Chem. Phys. Lipids 2011, 164, 457–468. [Google Scholar] [CrossRef] [PubMed]
- Christie, W. Sterols 2. Oxysterols and other cholesterol derivatives. AOCS Lipid Libr. 2014, 1, 1–9. [Google Scholar]
- Vila, A.; Levchenko, V.V.; Korytowski, W.; Girotti, A.W. Sterol carrier protein-2-facilitated intermembrane transfer of cholesterol- and phospholipid-derived hydroperoxides. Biochemistry 2004, 43, 12592–12605. [Google Scholar] [CrossRef] [PubMed]
- Korytowski, W.; Girotti, W. Singlet oxygen adducts of cholesterol: photogeneration and reductive turnover in membrane systems. Photochem. Photobiol. 1999, 70, 484–489. [Google Scholar] [CrossRef] [PubMed]
- Girotti, A.W. Lipid hydroperoxide generation, turnover, and effector action in biological systems. J. Lipid Res. 1998, 39, 1529–1542. [Google Scholar] [CrossRef]
- Beckwith, A.; Davies, A.G.; Davison, I.G.E.; Maccoll, A.; Mruzek, M.H. The mechanisms of the rearrangements of allylic hydroperoxides: 5α-hydroperoxy-3β-hydroxycholest-6-ene and 7α-hydroperoxy-3β-hydroxycholest-5-ene. J. Chem. Soc., Perkin Trans. 1989, 2, 815–824. [Google Scholar] [CrossRef]
- Xu, L.; Porter, N. Free radical oxidation of cholesterol and its precursors: Implications in cholesterol biosynthesis disorders. Free Radic. Res. 2015, 49, 835–849. [Google Scholar] [CrossRef]
- Pavić, V.; Jakovljević, M.; Molnar, M.; Jokić, S. Extraction of carnosic acid and carnosol from sage (Salvia officinalis L.) leaves by supercritical fluid extraction and their antioxidant and antibacterial activity. Plants 2019, 8, 16. [Google Scholar] [CrossRef] [PubMed]
- Reuter, J.; Jocher, A.; Hornstein, S.; Mönting, J.; Schempp, C. Sage extract rich in phenolic diterpenes inhibits ultraviolet-induced erythema in vivo. Planta Medica 2007, 73, 1190–1191. [Google Scholar] [CrossRef]
- Aruoma, O.I.; Halliwell, B.; Aeschbach, R.; Löligers, J. Antioxidant and prooxidant properties of active rosemary constituents: carnosol and carnosic acid. Xenobiotica 1992, 22, 257–268. [Google Scholar] [CrossRef]
- Schwarz, K.; Ternes, W. Antioxidative constituents of Rosmarinus officinalis and Salvia officinalis. Zeit. Lebensm. Untersuch. Forsch. 1992, 195, 99–103. [Google Scholar] [CrossRef]
- Ninomiya, K.; Matsuda, H.; Shimoda, H. Carnosic acid, a new class of lipid absorption inhibitor from sage. Bioorg. Medicinal Chem. Lett. 2004, 14, 1943–1946. [Google Scholar] [CrossRef] [PubMed]
- Park, J.A.; Kim, S.; Lee, S.Y. Beneficial effects of carnosic acid on dieldrin-induced dopaminergic neuronal cell death. Neuroreport 2008, 19, 1301–1304. [Google Scholar] [CrossRef]
- Liu, W.; Wu, T.C.; Hong, D.M.; Hu, Y.; Fan, T. Carnosic acid enhances the anti-lung cancer effect of cisplatin by inhibiting myeloid-derived suppressor cells. Chin. J. Nat. Med. 2018, 16, 907–915. [Google Scholar] [CrossRef]
- Petiwala, S.M.; Johnson, J.J. Diterpenes from rosemary (Rosmarinus officinalis): Defining their potential for anti-cancer activity. Cancer Lett. 2015, 367, 93–102. [Google Scholar] [CrossRef]
- De Oliveira, M.R. Carnosic acid as a promising agent in protecting mitochondria of brain cells. Mol. Neurobiol. 2018, 55, 6687–6699. [Google Scholar] [CrossRef] [PubMed]
- Manoharan, S.; Balakrishnan, S.; Vinothkumar, V.; Silvan, S. Anti-clastogenic potential of carnosic acid against 7, 12-dimethylbenz (a) anthracene (DMBA)-induced clastogenesis. Pharmacol. Rep. 2010, 62, 1170–1177. [Google Scholar] [CrossRef] [PubMed]
- Kuzmenko, I.; Morozova, R.P.; Nikolenko, I.A.; Donchenko, G.V.; Richheimer, S.L.; Bailey, D.T. Chemiluminescence determination of the in vivo and in vitro antioxidant activity of RoseOx® and carnosic acid. J. Photochem. Photobiol. 1999, 48B, 63–67. [Google Scholar] [CrossRef]
- Loussouarn, M.; Krieger-Liszkay, A.; Svilar, L.; Bily, A.; Birtić, S.; Havaux, M. Carnosic acid and carnosol, two major antioxidants of Rosemary, act through different mechanisms. Plant Physiol. 2017, 175, 1381–1394. [Google Scholar] [CrossRef]
- Masuda, T.; Inaba, Y.; Maekawa, T.; Takeda, Y.; Tamura, H.; Yamaguchi, H. Recovery mechanism of the antioxidant activity from carnosic acid quinone, an oxidized sage and rosemary antioxidant. J. Agric. Food Chem. 2002, 50, 5863–5869. [Google Scholar] [CrossRef]
- Gonzalez, A.; Rodriguez, C.; Luis, J. Oxidation reactions of carnosic acid derivatives. J. Chem. Res. 1988, 1, 114–115. [Google Scholar]
- Hasegawa, H. Vitamin D determination using high-performance liquid chromatography with internal standard—-redox mode electrochemical detection and its application to medical nutritional products. J. Chrom. 1992, 605, 215–220. [Google Scholar] [CrossRef]
- King, J.M.; Min, D.B. Riboflavin photosensitized singlet oxygen oxidation of vitamin D. J. Food Sci. 1998, 63, 31–34. [Google Scholar] [CrossRef]
- Li, T.L.; Min, D.B. Stability and photochemistry of vitamin D2 in model systems. J. Food Sci. 1998, 63, 413–417. [Google Scholar] [CrossRef]
- Li, T.L.; King, J.M.; Min, D.B. Quenching mechanisms and kinetics of carotenoids in riboflavin photosensitized singlet oxygen oxidation of vitamin D2. J. Food Biochem. 2000, 24, 477–492. [Google Scholar] [CrossRef]
- Guengerich, F.P. Common and uncommon cytochrome P450 reactions related to metabolism and chemical toxicity. Chem. Res. Toxicol. 2001, 14, 611–650. [Google Scholar] [CrossRef]
- Isin, E.M.; Guengerich, F.P. Complex reactions catalyzed by cytochrome P450 enzymes. Biochim. Biophys. Acta 2007, 1770, 314–329. [Google Scholar] [CrossRef] [PubMed]
- Rendic, S.; Guengerich, F.P. Survey of human oxidoreductases and cytochrome P450 enzymes involved in the metabolism of xenobiotic and natural chemicals. Chem. Res. Toxicol. 2015, 28, 38–42. [Google Scholar] [CrossRef] [PubMed]
- Miller, W.L.; Auchus, R.J. The molecular biology, biochemistry, and physiology of human steroidogenesis and its disorders. Endocr. Rev. 2011, 32, 81–151. [Google Scholar] [CrossRef]
- Yoshimoto, F.K.; Gonzalez, E.; Auchus, R.J.; Guengerich, F.P. Mechanism of 17α,20-lyase and new hydroxylation reactions of human cytochrome P450 17A1 18O labeling and oxygen surrogate evidence for a role a perferryl oxygen. J. Biol. Chem. 2016, 291, 17143–17164. [Google Scholar] [CrossRef]
- Singh, H.; Kumar, R.; Mazumder, A.S.; Mazumder, R.; Abdullah, M.M. Insights into interactions of human cytochrome P450 17A1: A review. Curr. Drug Metabol. 2022, 23, 172–187. [Google Scholar] [CrossRef] [PubMed]
- Bell, R.G.; Stark, P. Inhibition of prothrombin synthesis and epoxidation of vitamin K1 by anticoagulants in vitro. Biochem. Biophys. Res. Commun. 1976, 72, 619–625. [Google Scholar] [CrossRef] [PubMed]
- Dowd, P.; Ham, S.W.; Naganathan, S.; Hershline, R. The mechanism of action of vitamin K. Annu. Rev. Nutr. 1995, 15, 419–440. [Google Scholar] [CrossRef] [PubMed]
- Daines, A.M.; Payne, R.J.; Humphries, M.E.; Abell, A.D. The Synthesis of Naturally Occurring Vitamin K and Vitamin K. Analogues. Curr. Org. Chem. 2003, 7, 1–15. [Google Scholar] [CrossRef]
- Basnet, P.; Kadota, S.; Terashima, S.; Shimizu, M.; Namba, T. Two new 2-arylbenzofuran derivatives from hypoglycemic activity-bearing fractions of Morus insignis. Chem. Pharm. Bull. (Tokyo) 1993, 41, 1238–1243. [Google Scholar] [CrossRef] [PubMed]
- Lee, S.H.; Choi, S.Y.; Kim, H.; Hwang, J.S.; Lee, B.G.; Gao, J.J.; Kim, S.Y. Mulberroside F isolated from the leaves of Morus alba inhibits melanin biosynthesis. Biol. Pharm. Bull. 2002, 25, 1045–1048. [Google Scholar] [CrossRef] [PubMed]
- Wang, L.; Yang, Y.; Liu, C.; Chen, R.Y. Three new compounds from Morus nigra L. J. Asian Nat. Prod. Res. 2010, 12, 431–437. [Google Scholar] [CrossRef] [PubMed]
- Celaje, J.A.; Zhang, D.; Guerrero, A.M.; Selke, M. Chemistry of trans-resveratrol with singlet oxygen: [2+2] addition, [4+2] addition, and formation of the phytoalexin moracin M. Org. Lett. 2011, 13, 4846–4849. [Google Scholar] [CrossRef] [PubMed]
- Bai, J.; Hou, Q.; Zhu, W.; Liu, Y. Mechanical insights into the oxidative cleavage of resveratrol catalyzed by dioxygenase NOV1 from Novosphingobium aromaticivorans: confirmation of dioxygenase mechanism by QM/MM calculations. Catalysis Sci. Technol. 2018, 12, 10. [Google Scholar] [CrossRef]
- Daruwalla, A.; Kiser, P.D. Structural and mechanistic aspects of carotenoid cleavage dioxygenases (CCDs). Biochim. Biophys. Acta 2020, 1865, 158590. [Google Scholar] [CrossRef]
- Losman, J.A.; Koivunen, P.; Kaelin, W.G. 2-Oxoglutarate-dependent dioxygenases in cancer. Nat. Rev. Cancer 2020, 20, 710–726. [Google Scholar] [CrossRef] [PubMed]
- Imagawa, T.; Kasai, S.; Matsui, K.; Nakamura, T. Detrimental effects of methyl hydroperoxy-epoxy-octadecenoate on mitochondrial respiration: detoxication by rat liver mitochondria. J. Biochem. (Tokyo) 1983, 94, 87–96. [Google Scholar] [CrossRef] [PubMed]
- Imagawa, T.; Kasai, S.; Matsui, K.; Nakamura, T. Methyl hydroperoxy-epoxy-octadecenoate as an autoxidation product of methyl linoleate: a new inhibitor-uncoupler of mitochondrial respiration. J. Biochem. (Tokyo) 1982, 92, 1109–1121. [Google Scholar] [CrossRef] [PubMed]
- Schreiber, J.; Mason, R.P.; Eling, T. Carbon-centered free radical intermediates in the hematin- and ram seminal vesicle-catalyzed decomposition of fatty acid hydroperoxides. Arch. Biochem. Biophys. 1986, 251, 17–24. [Google Scholar] [CrossRef]
- Pryor, W.A.; Porter, N.A. Suggested mechanisms for the production of 4-hydroxy-2-nonenal from the autoxidation of polyunsaturated fatty acids. Free Rad. Biol. Med. 1990, 8, 541–543. [Google Scholar] [CrossRef]
- Wilcox, A.L.; Marnett, L.J. Polyunsaturated fatty acid alkoxyl radicals exist as carbon-dentered epoxyallylic radicals: A key step in hydroperoxide-amplified lipid peroxidation. Chem. Res. Toxicol. 1993, 6, 413–416. [Google Scholar] [CrossRef]
- Loidl-Stahlhofen, A.; Hannemann, K.; Spiteller, G. Generation of a-hydroxyaldehydic compounds in the course of lipid peroxidation. Biochim. Biophys. Acta 1994, 1213, 140–148. [Google Scholar] [CrossRef] [PubMed]
- Timmins, G.S.; dos Santos, R.E.; Whitwood, A.C.; Catalani, L.H.; Di Mascio, P.; Gilbert, B.C.; Bechara, E.J.H. Lipid peroxidation-dependent chemiluminescence from the cyclization of alkylperoxy radicals to dioxetane radical intermediates. Chem. Res. Toxicol. 1997, 10, 1090–1096. [Google Scholar] [CrossRef]
- Pratt, D.A.; Tallman, K.A.; Porter, N.A. Free radical oxidation of polyunsaturated lipids: New mechanistic insights and the development of peroxyl radical clocks. Acc. Chem. Res. 2011, 44, 458–467. [Google Scholar] [CrossRef]
- Hu, C.; Wang, M.; Han, X. Shotgun lipidomics in substantiating lipid peroxidation in redox biology: Methods and applications. Redox Biol. 2017, 12, 946–955. [Google Scholar] [CrossRef]
- Valacchi, G.; Pecorelli, A.; Cervellati, C.; Hayek, J. 4-hydroxynonenal protein adducts: Key mediator in Rett syndrome oxinflammation. Free Radic. Biol. Med. 2017, 111, 270–280. [Google Scholar] [CrossRef] [PubMed]
- Wang, W.; Yang, H.; Johnson, D.; Gensler, C.; Decker, E.; Zhang, G. Chemistry and biology of ω-3 PUFA peroxidation-derived compounds. Prostaglandins Other Lipid Mediat. 2017, 132, 84–91. [Google Scholar] [CrossRef]
- Ghnimi, S.; Budilarto, E.; Kamal-Eldin, A. The New Paradigm for Lipid Oxidation and Insights to Microencapsulation of Omega-3 Fatty Acids. Comprehen. Rev. Food Sci. Food Safety 2017, 16, 1206–1218. [Google Scholar] [CrossRef] [PubMed]
- Sottero, B.; Rossin, D.; Poli, G.; Biasi, F. Lipid oxidation products in the pathogenesis of inflammation-related gut diseases. Curr. Med. Chem. 2018, 25, 1311–1326. [Google Scholar] [CrossRef]
- Xiao, M.; Zhong, H.; Xia, L.; Tao, Y.; Yin, H. Pathophysiology of mitochondrial lipid oxidation: Role of 4-hydroxynonenal (4-HNE) and other bioactive lipids in mitochondria. Free Radic. Biol. Med. 2017, 111, 316–327. [Google Scholar] [CrossRef] [PubMed]
- Barrera, G.; Pizzimenti, S.; Ciamporcero, E.S.; Daga, M.; Ullio, C.; Arcaro, A.; Cetrangolo, G.P.; Ferretti, C.; Dianzani, C.; Lepore, A.; Gentile, F. Role of 4-hydroxynonenal-protein adducts in human diseases. Antioxid Redox Signal. 2015, 22, 1681–1702. [Google Scholar] [CrossRef]
- Esterbauer, H.; Schaur, R.J.; Zollner, H. Chemistry and biochemistry of 4-hydroxynonenal, malonaldehyde and related aldehydes. Free Radic. Biol. Med. 1991, 11, 81–128. [Google Scholar] [CrossRef]
- Esterbauer, H.; Zollner, H.; Schaur, R.J. Aldehydes formed by lipid peroxidation: mechanisms of formation, occurrence, and determination. In Membrane Lipid Oxidation; CRC Press: Boca Raton, 1990. [Google Scholar]
- Salsinha, A.S.; Pimentel, L.L.; Fontes, A.L.; Gomes, A.M.; Rodríguez-Alcalá, L.M. Microbial production of conjugated linoleic acid and conjugated linolenic acid relies on a multienzymatic system. Microbiol. Mol. Biol. Rev. 2018, 82, e00019-18. [Google Scholar] [CrossRef] [PubMed]
- Mohammadi-Sartang, M.; Sohrabi, Z.; Esmaeilinezhad, Z.; Aqaeinezhad, R.S.M.; Jalilpiran, Y. Effect of conjugated linoleic acid on leptin level: A systematic review and meta-analysis of randomized controlled trials. Horm. Metab. Res. 2018, 50, 106–116. [Google Scholar] [CrossRef]
- Palmquist, D.L.; Jenkins, T.C. A 100-year review: Fat feeding of dairy cows. J. Dairy Sci. 2017, 100, 10061–10077. [Google Scholar] [CrossRef]
- Yang, B.; Gao, H.; Stanton, C.; Ross, R.P.; Zhang, H.; Chen, Y.Q.; Chen, H.; Chen, W. Bacterial conjugated linoleic acid production and their applications. Prog. Lipid Res. 2017, 68, 26–36. [Google Scholar] [CrossRef] [PubMed]
- Yuan, G.F.; Chen, X.E.; Li, D. Conjugated linolenic acids and their bioactivities: a review. Food Funct. 2014, 5, 1360–1368. [Google Scholar] [CrossRef] [PubMed]
- Jandacek, R.J. Linoleic acid: A nutritional quandary. Healthcare 2017, 5, 25. [Google Scholar] [CrossRef] [PubMed]
- Niki, E. Lipid oxidation in the skin. Free Radic. Res. 2015, 49, 827–834. [Google Scholar] [CrossRef]
- Akyol, S.; Ginis, Z.; Armutcu, F.; Ozturk, G.; Yigitoglu, M.R.; Akyol, O. The potential usage of caffeic acid phenethyl ester (CAPE) against chemotherapy-induced and radiotherapy-induced toxicity. Cell Biochem. Funct. 2012, 30, 438–443. [Google Scholar] [CrossRef] [PubMed]
- Das, U.N. Arachidonic acid and other unsaturated fatty acids and some of their metabolites function as endogenous antimicrobial molecules: A review. J. Adv. Res. 2018, 11, 57–66. [Google Scholar] [CrossRef]
- Jenkins, T.C.; Harvatine, K.J. Lipid feeding and milk fat depression. Vet. Clin. North Am. Food Anim. Pract. 2014, 30, 623–642. [Google Scholar] [CrossRef] [PubMed]
- Tsubura, A.; Lai, Y.C.; Kuwata, M.; Uehara, N.; Yoshizawa, K. Anticancer effects of garlic and garlic-derived compounds for breast cancer control. Anticancer Agents Med. Chem. 2011, 11, 249–253. [Google Scholar] [CrossRef] [PubMed]
- Friedman, E.B.; Chun, J.; Schnabel, F.; Schwartz, S.; Law, S.; Billig, J. Screening prior to breast cancer diagnosis: The more things change, the more they stay the same. Int. J. Breast Cancer 2013, 201, 327567. [Google Scholar] [CrossRef]
- Lee, K.W.; Lee, H.J.; Cho, H.Y.; Kim, Y.J. Role of the conjugated linoleic acid in the prevention of cancer. Crit. Rev. Food Sci. Nutr. 2005, 45, 135–144. [Google Scholar] [CrossRef]
- Tanaka, T.; Hosokawa, M.; Yasui, Y.; Ishigamori, R.; Miyashita, K. Cancer chemopreventive ability of conjugated linolenic acids. Int. J. Mol. Sci. 2011, 12, 7495–7509. [Google Scholar] [CrossRef] [PubMed]
- Mohammadi, F.; Dikpati, A.; Bertrand, N.; Rudkowska, I. Encapsulation of conjugated linoleic acid and ruminant trans fatty acids to study the prevention of metabolic syndrome—a review. Nutr. Rev. 2024, 82, 262–276. [Google Scholar] [CrossRef] [PubMed]
- Frankel, E.N. Volatile lipid oxidation products. Prog. Lipid Res. 1983, 22, 1–33. [Google Scholar] [CrossRef] [PubMed]
- Gardner, H.W. Decomposition of linoleic acid hydroperoxides. Enzymic reactions compared with nonenzymic. J. Agric. Food Chem. 1975, 23, 129–136. [Google Scholar] [CrossRef] [PubMed]
- de León I, P.; Hamberg, M.; Castresana, C. Oxylipins in moss development and defense. Front. Plant Sci. 2015, 6, 483. [Google Scholar] [CrossRef] [PubMed]
- Miura, Y. The biological significance of ω-oxidation of fatty acids. Proc. Jpn. Acad. Ser. B, Phys. Biol. Sci. 2013, 89, 370–382. [Google Scholar] [CrossRef] [PubMed]
- Vangaveti, V.N.; Jansen, H.; Kennedy, R.L.; Malabu, U.H. Hydroxyoctadecadienoic acids: Oxidised derivatives of linoleic acid and their role in inflammation associated with metabolic syndrome and cancer. Eur. J. Pharmacol. 2016, 785, 70–76. [Google Scholar] [CrossRef] [PubMed]
- Kaur, K.; Salomon, R.G.; O'Neil, J.; Hoff, H.F. Carboxyalkyl pyrroles in human plasma and oxidized low density lipoproteins. Chem. Res. Toxicol. 1997, 10, 1387–1396. [Google Scholar] [CrossRef] [PubMed]
- Tallima, H. Clarification of arachidonic acid metabolic pathway intricacies. ACS Omega 2021, 6, 15559–15563. [Google Scholar] [CrossRef]
- Trostchansky, A.; Wood, I.; Rubbo, H. Regulation of arachidonic acid oxidation and metabolism by lipid electrophiles. Prostagland. Other Lipid Mediat. 2021, 152, 106482. [Google Scholar] [CrossRef]
- Wang, B.; Wu, L.; Chen, J. Metabolism pathways of arachidonic acids: mechanisms and potential therapeutic targets. Sig. Transduct. Target. Ther. 2021, 6, 94. [Google Scholar] [CrossRef] [PubMed]
- Mueller, M.J. Radically novel prostaglandins in animals and plants: the isoprostanes. Chem. Biol. 1998, S1, R323–R333. [Google Scholar] [CrossRef] [PubMed]
- Martin, S.A.; Brash, A.R.; Murphy, R.C. The discovery and early structural studies of arachidonic acid. J. Lipid Res. 2016, 57, 1126–1132. [Google Scholar] [CrossRef] [PubMed]
- Tallima, H.; El Ridi, R. Arachidonic acid: Physiological roles and potential health benefits – A review. J. Adv. Res. 2018, 11, 33–41. [Google Scholar] [CrossRef]
- Li, B.; Gao, W.; Zhang, W.; Li, B.; Yang, C.; Jiang, X.; Tian, Y.; Liang, H. Metabolomics analysis reveals an effect of homocysteine on arachidonic acid and linoleic acid metabolism pathway. Mol. Med. Rep. 2018, 17, 6261–6268. [Google Scholar] [CrossRef]
- Sana, M.M.; Shana, R.M.; Hafez, A.S.F. A review on algae and plants as potential source of arachidonic acid. J. Adv. Res. 2018, 11, 3–13. [Google Scholar] [CrossRef]
- Dembitsky, V.M.; Srebnik, M. Natural halogenated fatty acids: their analogues and derivatives. Prog. Lipid Res. 2002, 41, 315–367. [Google Scholar] [CrossRef] [PubMed]
- Dembitsky, V.M.; Levitsky, D.O. Arsenolipids. Prog. Lipid Res. 2004, 43, 403–448. [Google Scholar] [CrossRef]
- Dembitsky, V.M.; Pechenkina-Shubina, E.E.; Rozentsvet, O.A. Glycolipids and fatty acids of some seaweeds and marine grasses from the Black Sea. Phytochemistry 1991, 30, 2279–2283. [Google Scholar] [CrossRef]
- Dembitsky, V.M.; Rozentsvet, O.A.; Pechenkina, E.E. Glycolipids, phospholipids and fatty acids of brown algae species. Phytochemistry 1990, 29, 3417–3421. [Google Scholar] [CrossRef]
- Dembitsky, V.M. Chemistry and biodiversity of the biologically active natural glycosides. Chem. Biodiver. 2004, 1(5), 673–781. [Google Scholar] [CrossRef]
- Wells, M.L.; Potin, P.; Craigie, J.S.; Raven, J.A.; Merchant, S.S.; Helliwell, K.E.; Smith, A.G.; Camire, M.E.; Brawley, S.H. Algae as nutritional and functional food sources: revisiting our understanding. J. Appl. Phycol. 2017, 29, 949–982. [Google Scholar] [CrossRef] [PubMed]
- Khotimchenko, S.V.; Vaskovsky, V.E.; Titlyanova, T.V. Fatty acids of marine algae from the Pacific coast of North California. Bot. Marina 2002, 45, 17–22. [Google Scholar] [CrossRef]
- Monroig, O.; Tocher, D.R.; Navarro, J.C. Biosynthesis of polyunsaturated fatty acids in marine invertebrates: Recent advances in molecular mechanisms. Mar Drugs 2013, 11, 3998–4018. [Google Scholar] [CrossRef] [PubMed]
- Pereira, H.; Barreira, L.; Figueiredo, F.; Custódio, L.; Vizetto-Duarte, C.; Polo, C.; Rešek, E.; Engelen, A.; Varela, J. Polyunsaturated fatty acids of marine macroalgae: Potential for nutritional and pharmaceutical applications. Mar. Drugs 2012, 10, 1920–1935. [Google Scholar] [CrossRef] [PubMed]
- Dembitsky, V.M. Astonishing diversity of natural surfactants: 1. Glycosides of fatty acids and alcohols. Lipids 2004, 39, 933–953. [Google Scholar] [CrossRef] [PubMed]
- Tocher, D.R. Fatty acid requirements in ontogeny of marine and freshwater fish. Aquacul. Res. 2010, 41, 717–732. [Google Scholar] [CrossRef]
- Huang, T.H.; Wang, P.W.; Yang, S.C.; Chou, W.L.; Fang, J.Y. Cosmetic and therapeutic applications of fish oil's fatty acids on the skin. Mar Drugs. 2018, 16, 256. [Google Scholar] [CrossRef] [PubMed]
- Lien, E.L.; Richard, C.; Hoffman, D.R. DHA and ARA addition to infant formula: Current status and future research directions. Prostaglandins Leukot Essent Fatty Acids. 2018, 128, 26–40. [Google Scholar] [CrossRef]
- Peebles, R.S., Jr. Prostaglandins in asthma and allergic diseases. Pharmacol. Ther. 2019, 193, 1–19. [Google Scholar] [CrossRef]
- Das, U.N. Arachidonic acid and other unsaturated fatty acids and some of their metabolites function as endogenous antimicrobial molecules: A review. J. Adv. Res. 2018, 11, 57–66. [Google Scholar] [CrossRef] [PubMed]
- Kuehl, F.A., Jr.; Humes, J.L.; Beveridge, G.C.; Van Arman, C.G.; Egan, R.W. Biologically active derivatives of fatty acids: prostaglandins, thromboxanes, and endoperoxides. Inflammation 1977, 2, 285–294. [Google Scholar] [CrossRef] [PubMed]
- Wang, L.; Luo, G.; Zhang, L.F.; Geng, H.X. Neuroprotective effects of epoxyeicosatrienoic acids. Prostaglandins Other Lipid Mediat. 2018, 138, 9–14. [Google Scholar] [CrossRef] [PubMed]
- Roberts, L.J., II; Milne, G.L. Isoprostanes. J. Lipid Res. 2009, Suppl. 2, S219–S223. [Google Scholar] [CrossRef]
- Rokach, J.; Khanapure, S.P.; Hwang, S.W.; Adiyama, M.; Lawson, J.A.; FitzGerald, G.A. The Isoprostanes: A perspective. Prostaglandins 1997, 54, 823–851. [Google Scholar] [CrossRef] [PubMed]
- Funk, C.D. Prostaglandins and leukotrienes: advances in eicosanoid biology. Science 2001, 294, 1871–1875. [Google Scholar] [CrossRef] [PubMed]
- Sun, X.; Li, Q. Prostaglandin EP2 receptor: Novel therapeutic target for human cancers (Review). Int. J. Mol. Med. 2018, 42, 1203–1214. [Google Scholar] [CrossRef] [PubMed]
- Yin, H.; Havrilla, C.H.; Gao, L.; Morrow, J.D.; Porter, N.A. Mechanisms for the formation of isoprostane endoperoxides from arachidonic acid. J. Biol. Chem. 2003, 278, 16720–16725. [Google Scholar] [CrossRef] [PubMed]
- Cheng, Y.; Austin, S.C.; Rocca, B.; Koller, J.; Coffman, T.M. Role of prostacyclin in the cardiovascular response to thromboxane A2. Science 2002, 296, 539–541. [Google Scholar] [CrossRef]
- Pratico, D.; Lawson, J.A.; Rokach, J.; FitzGerald, G.A. The isoprostanes in biology and medicine. Trends Endocrinol. Metabt. 2001, 12, 243–247. [Google Scholar] [CrossRef]
- Porter, N.A. Reactions of endoperoxides. In Free Radicals in Biology; Pryor, W.A., Ed.; Academic Press: New York, 1980; Volume IV, pp. 261–295. [Google Scholar]
- Roberts, L.J., 2nd; Brame, C.J.; Chen, Y.; Morrow, J.D. Novel eicosanoids. Isoprostanes and related compounds. Methods Mol. Biol. 1999, 120, 257–285. [Google Scholar] [CrossRef]
- Davì, G.; Santilli, F.; Vazzana, N. Thromboxane receptors antagonists and/or synthase inhibitors. Handb. Exp. Pharmacol. 2012, 210, 261–286. [Google Scholar] [CrossRef]
- Morrow, J.D.; Harris, T.M.; Roberts, L.J., Jr. Noncyclooxygenase oxidative formation of a series of novel prostaglandins: analytical ramifications for measurement of eicosanoids. Anal. Biochem. 1990, 184, 1–10. [Google Scholar] [CrossRef] [PubMed]
- Morrow, J.D.; Hill, E.; Burk, R.F.; Nammour, T.M.; Badr, K.F.; Roberts, L.J., Jr. A series of prostaglandin F2-like compounds are produced in vivo in humans by a non-cyclooxygenase, free radical-catalyzed mechanism. Proc. Natl. Acad. Sci. USA 1990, 87, 9383–9387. [Google Scholar] [CrossRef] [PubMed]
- Yin, H.; Havrilla, C.M.; Morrow, J.D.; Porter, N.A. Formation of isoprostane bicyclic endoperoxides from the autoxidation of cholesteryl arachidonate. J. Am. Chem. Soc. 2002, 124, 7745–7754. [Google Scholar] [CrossRef] [PubMed]
- Morrow, J.D.; Roberts, L.J., Jr. Mass spectrometric quantification of F2-isoprostanes in biological fluids and tissues as measure of oxidant stress. Methods Enzymol. 1999, 300, 3–12. [Google Scholar] [CrossRef] [PubMed]
- Fam, S.S.; Morrow, J.D. The isoprostanes: Unique products of arachidonic acid oxidation-A review. Curr. Med. Chem. 2003, 10, 1723–1740. [Google Scholar] [CrossRef] [PubMed]
- Lawson, J.A.; Rokach, J.; Fitz Gerald, G.A. Isoprostanes: formation, analysis and use as indices of lipid peroxidation in vivo. J. Biol. Chem. 1999, 274, 24441–24444. [Google Scholar] [CrossRef]
- Yin, H.; Xu, L.; Porter, N.A. Free radical lipid peroxidation: mechanisms and analysis. Chem. Rev. 2011, 111, 5944–5972. [Google Scholar] [CrossRef]
- Hirasawa, K.; Murakami, M.; Sato, Y. Jpn. Kokai Tokkyo Koho, Japanese Patent JP 63014788 A2 19880121 Showa, 1988, 8 pp.
- Hirasawa, K.; Murakami, M.; Sato, Y. Jpn. Kokai Tokkyo Koho, Japanese Patent JP 63014720 A2 19880121 Showa, 1988, 3 pp.
- Miyamoto, S.; Dupas, C.; Murota, K.; Terao, J. Phospholipid hydroperoxides are detoxified by phospholipase A2 and GSH peroxidase in rat gastric mucosa. Lipids 2003, 38, 641–649. [Google Scholar] [CrossRef]
- Spiteller, G. Are changes of the cell membrane structure causally involved in the aging process? Ann. N. Y. Acad. Sci. 2002, 959, 30–44. [Google Scholar] [CrossRef]
- Di Mascio, P.; Martinez, G.R.; Miyamoto, S.; Ronsein, G.E.; Medeiros, M.H.G.; Cadet, J. Singlet molecular oxygen: Düsseldorf – São Paulo, the Brazilian connection. Arch. Biochem. Biophys. 2016, 595, 161–175. [Google Scholar] [CrossRef]
- Edge, R.; McGarvey, D.J.; Truscott, T.G. The carotenoids as anti-oxidants — a review. J. Photochem. Photobiol. 1997, 41B, 189–200. [Google Scholar] [CrossRef] [PubMed]
- Rao, A.V.; Rao, L.G. Carotenoids and human health. Pharmacol. Res. 2017, 55, 207–216. [Google Scholar] [CrossRef] [PubMed]
- Britton, G. Structure and properties of carotenoids in relation to function. FASEB J. 1995, 9, 1551–1558. [Google Scholar] [CrossRef]
- Tarakhovskaya, E.R.; Maslov, Y.I.; Shishova, M.F. Phytohormones in algae. Russ. J. Plant Physiol. 2007, 54, 163–170. [Google Scholar] [CrossRef]
- Mukherjee, A.; Gaurav, A.K.; Singh, S.; Yadav, S.; Bhowmick, S.; Abeysinghe, S.; Prakash Verma, J. The bioactive potential of phytohormones: A review. Biotechnol. Rep. 2022, 35, e00748. [Google Scholar] [CrossRef] [PubMed]
- Han, X.; Zeng, H.; Bartocci, P.; Fantozzi, F.; Yan, Y. Phytohormones and effects on growth and metabolites of microalgae: A review. Fermentation 2018, 4, 25. [Google Scholar] [CrossRef]
- Clark, K.B.; Howard, J.A.; Oyler, A.J. Retinoic acid oxidation at high oxygen pressures: Evidence for spin-forbidden direct addition of triplet molecular oxygen. J. Am. Chem. Soc. 1997, 119, 9560–9561. [Google Scholar] [CrossRef]
- Oyler, J.; Motto, M.G.; Naldi, R.E.; Facchine, K.L.; Hamburg, P.F.; Burinsky, D.J.; Dunphy, R.; Cotter, M.L. Characterizationf of autoxidation products of retinoic acid. Tetrahedron 1989, 45, 7679–7694. [Google Scholar] [CrossRef]
- Napoli, J.L. Vitamin A (retinoids). In Encyclopedia of Biological Chemistry; Lennarz, W.J., Lane, M.D., Eds.; Elsevier: Oxford, 2004; Volume 4, pp. 354–359. [Google Scholar]
- Tsujimoto, K.; Hozoji, H.; Ohashi, M.; Watanabe, M.; Hattori, H. Wavelength-dependent peroxide formation upon irradiation of all-trans retinal in an aerated solution. Chem. Lett. 1984, 1673–1676. [Google Scholar] [CrossRef]
- Baron, M.H.; Coulange, M.J.; Coupry, C.; Baron, D.; Favrot, J.; Abo-Aly, M.M. All-trans retinal photoisomerization and photooxidation from UV laser radiation. Vibrational assignments of all-trans 5,8-peroxyretinal. Photochem. Photobiol. 1989, 49, 736–751. [Google Scholar] [CrossRef]
- Crank, G.; Pardijanto, M.S. J. Photochem. Photobiol. A 1995, 8, 93–100. [CrossRef]
- Mousseron-Canet, M. Photochemical transformation of vitamin A. Methods Enzymol. 1971, 18, 591–615. [Google Scholar] [CrossRef]
- Hu, X.; White, K.M.; Jacobsen, N.E.; Mangelsdorf, D.J.; Canfield, L.M. Inhibition of growth and cholesterol synthesis in breast cancer cells by oxidation products of β-carotene. J. Nutr. Biochem. 1998, 9, 567–574. [Google Scholar] [CrossRef]
- Stachowiak, B.; Szulc, P. Astaxanthin for the food industry. Molecules 2021, 26, 2666. [Google Scholar] [CrossRef] [PubMed]
- Faraone, I.; Sinisgalli, C.; Ostuni, A.; Armentano, M.F.; Carmosino, M.; Milella, L.; Russo, D. Astaxanthin anticancer effects are mediated through multiple molecular mechanisms: A systematic review. Pharmacol. Res. 2020, 155, 104689. [Google Scholar] [CrossRef] [PubMed]
- Aneesh, P.A.; Ajeeshkumar, K.K.; Lekshmi, R.K.; Anandan, R.; Ravishankar, C.N.; Mathew, S. Bioactivities of astaxanthin from natural sources, augmenting its biomedical potential: A review. Trends Food Sci. Technol. 2022, 125, 81–90. [Google Scholar] [CrossRef]
- Maoka, T. Oxidation products of astaxanthin: An overview. In Global Perspectives on Astaxanthin From Industrial Production to Food, Health, and Pharmaceutical Applications; 2011; pp. 411–425. [Google Scholar] [CrossRef]
- Nishino, A.; Maoka, T.; Yasui, H. Analysis of reaction products of astaxanthin and its acetate with reactive oxygen species using LC/PDA ESI-MS and ESR spectrometry. Tetrahedron Lett. 2016, 57, 1967–1970. [Google Scholar] [CrossRef]
- Mordi, R.C.; Ademosun, O.T.; Ajanaku, C.O.; Olanrewaju, I.O.; Walton, J.C. Free radical mediated oxidative degradation of carotenes and xanthophylls. Molecules 2020, 25, 1038. [Google Scholar] [CrossRef] [PubMed]
- Von Doering, W.E.; Sarma, K. Stabilization energy of polyenyl radicals: all-trans-nonatetraenyl radical by thermal rearrangement of a semirigid {4-1-2} heptaene. Model for thermal lability of beta-carotene. J. Am. Chem. Soc. 1992, 114, 6037–6043. [Google Scholar] [CrossRef]
- Mordi, R.C. Mechanism of beta-carotene degradation. Biochem J. 1993, 292, 310–312. [Google Scholar] [CrossRef] [PubMed]
- Terao, J.; Minami, Y.; Bando, N. Singlet molecular oxygen-quenching activity of carotenoids: relevance to protection of the skin from photoaging. J. Clin. Biochem. Nutr. 2011, 48, 57–62. [Google Scholar] [CrossRef] [PubMed]
- Devery, J.; Milborrow, B.V. beta-Carotene-15,15′-dioxygenase (EC 1.13.11.21) isolation reaction mechanism and an improved assay procedure. Br. J. Nutr. 1994, 72, 397–414. [Google Scholar] [CrossRef] [PubMed]
- Kim, Y.S.; Kim, N.H.; Kim, H.J.; Lee, J.K.; Kim, S.W.; Oh, D.K. Effective production of retinal from beta-carotene using recombinant mouse beta-carotene 15, 15′-monooxygenase. Appl. Microbiol. Biotechnol. 2007, 76, 1339–1345. [Google Scholar] [CrossRef] [PubMed]
- 306. During, A,; Harrison, E.H. Intestinal absorption and metabolism of carotenoids: insights from cell culture. Arch. Biochem. Biophys. 2004, 430, 77–88. [CrossRef] [PubMed]
- Mohsin, N.U.A.; Irfan, M.; Hassan, S.U. Current strategies in development of new chromone derivatives with diversified pharmacological activities: A Review. Pharm. Chem. J. 2020, 54, 241–257. [Google Scholar] [CrossRef] [PubMed]
- Amen, Y.; Elsbaey, M.; Othman, A.; Sallam, M.; Shimizu, K. Naturally occurring chromone glycosides: Sources, bioactivities, and spectroscopic features. Molecules 2021, 26, 7646. [Google Scholar] [CrossRef]
- Lascano, S.; Lopez, M.; Arimondo, P.B. Natural products and chemical biology tools: Alternatives to target epigenetic mechanisms in cancers. Chem. Rec. 2018, 18, 1854–1876. [Google Scholar] [CrossRef]
- Fischer, N.; Seo, E.J.; Efferth, T. Prevention from radiation damage by natural products. Phytomedicine 2018, 47, 192–200. [Google Scholar] [CrossRef] [PubMed]
- Rauf, A.; Imran, M.; Khan, I.A.; Ur-Rehman, M.; Gilani, S.A.; Mehmood, Z.; Mubarak, M.S. Anticancer potential of quercetin: A comprehensive review. Phytother. Res. 2018, 32, 2109–2130. [Google Scholar] [CrossRef] [PubMed]
- Caffieri, S. Furocoumarin photolysis: chemical and biological aspects. Photochem. Photobiol. Sci. 2002, 1, 149–157. [Google Scholar] [CrossRef]
- Thakur, A.; Sharma, R.; Jaswal, V.S.; Nepovimova, E.; Chaudhary, A.; Kuca, K. Psoralen: A biologically important coumarin with emerging applications. Mini Rev. Med. Chem. 2020, 20, 1838–1845. [Google Scholar] [CrossRef]
- Viola, G.; Vedaldi, D.; Dall'Acqua, F.; Lampronti, I.; Bianchi, N.; Zuccato, C.; Borgatti, M.; Gambari, R. Furocoumarins photolysis products induce differentiation of human erythroid cells. J. Photochem. Photobiol. 2008, 92B, 24–28. [Google Scholar] [CrossRef]
- Abu-Hashem, A.A.; El-Shazly, M. Synthesis, reactions and biological activities of furochromones: A review. Eur. J. Med. Chem. 2015, 90, 633–665. [Google Scholar] [CrossRef]
- Marley, K.A.; Larson, R.A. A new photoproduct from furocoumarin photolysis in dilute aqueous solution: 5-formyl-6-hydroxybenzofuran. Photochem. Photobiol. 1994, 59, 503–505. [Google Scholar] [CrossRef]
- Maslov, S.A.; Blyumberg, E.A. Liquid-phase oxidation of aldehydes. Russ. Chem. Rev. 1976, 45, 155–167. [Google Scholar] [CrossRef]
- Zhuravel, N.N.; Belichenko, I.V.; Kyagova, A.A.; Lysenko, E.P.; Khalilov, E.M.; Potapenko, A.Y. Activation of hemolysis induced by photooxidized psoralen (POP) by Fe2+ ions. The role of Fe2+ reactions with POP and erythrocytes. Membr. Cell Biol. 1996, 10, 381–387. [Google Scholar]
- Bethea, D.; Fullmer, B.; Syed, S.; Seltzer, G.; Tiano, J.; Rischko, C.; Gillespie, L.; Brown, D.; Gasparro, F.P. Psoralen photobiology and photochemotherapy: 50 years of science and medicine. J. Dermatol. Sci. 1999, 19, 78–88. [Google Scholar] [CrossRef]
- Bartusik-Aebisher, D.; Ożóg, L.; Aebisher, D. Alternative methods of photodynamic therapy and oxygen consumption measurements—A review. Biomed. Pharmacother. 2021, 134, 111095. [Google Scholar] [CrossRef] [PubMed]
- Torello, C.O.; Alvarez, M.C.; Saad, O. Polyphenolic flavonoid compound quercetin effects in the treatment of acute myeloid leukemia and myelodysplastic syndromes. Molecules 2021, 26, 5781. [Google Scholar] [CrossRef] [PubMed]
- Rauf, A.; Imran, M.; Khan, I.A.; ur-Rehman, M.; Gilani, S.A.; Mehmood, Z.; Mubarak, M.S. Anticancer potential of quercetin: A comprehensive review. Phytother. Res. 2018, 32, 2105–2320. [Google Scholar] [CrossRef] [PubMed]
- Patel, P.; Mistry, B.; Mistry, B.; Syed, R.; Syed, R.; Keum, Y.S.; Keum, Y.S. Quercetin: A plant-derived polyphenol with tremendous cardioprotective effects. Mini Rev. Med. Chem. 2018. [Google Scholar] [CrossRef] [PubMed]
- Brito, A.F.; Ribeiro, M.; Abrantes, A.M.; Pires, A.S.; Teixo, R.J.; Tralhao, J.C.; Botelho, M.F. Quercetin in cancer treatment, alone or in combination with conventional therapeutics? Curr. Med. Chem. 2015, 22, 3025–3039. [Google Scholar] [CrossRef] [PubMed]
- Osman, A.; Makris, D.P.; Kefalas, P. Investigation on biocatalytic properties of a peroxidase-active homogenate from onion solid wastes: An insight into quercetin oxidation mechanism. Process Biochem. 2008, 43, 861–867. [Google Scholar] [CrossRef]
- Sokolova, R.; Rame, Ð.; Degano, I.; Hromadova, M.; Gala, M.; Zabka, J. The oxidation of natural flavonoid quercetin. Chem. Commun. (Cambridge) 2012, 48, 3433. [Google Scholar] [CrossRef] [PubMed]
- Zenkevich, I.G.; Eshchenko, A.Y.; Makarova, S.V.; Vitenberg, A.G.; Dobryakov, Y.G.; Utsal, V.A. Identification of the products of oxidation of quercetin by air oxygenat ambient temperature. Molecules 2007, 12, 654. [Google Scholar] [CrossRef] [PubMed]
- Fiorucci, S.; Golebiowski, J.; Cabrol-Bass, D.; Antonczak, S. Oxygenolysis of flavonoid compounds: DFT description of the mechanism for quercetin. ChemPhysChem. 2004, 5, 1726. [Google Scholar] [CrossRef]
- Kano, K.; Mabuchi, T.; Uno, B.; Esaka, Y.; Tanaka, T.; Linuma, M. Superoxide anion radical-induced dioxygenolysis of quercetin as a mimic of quercetinase. J. Chem. Soc., Chem. Commun. 1994, 593. [Google Scholar] [CrossRef]
- Tournaire, C.; Croux, S.; Maurette, M.T.; Beck, I.; Hocquaux, M.; Braun, A.M.; Oliveros, E.J. Photochem. Photobiol. 1993, 19B, 205.
- Go, M.L.; Wu, X.; Liu, X.L. Chalcones: An update on cytotoxic and chemoprotective properties. Curr. Med. Chem. 2005, 12, 483–499. [Google Scholar] [CrossRef] [PubMed]
- Edwards, M.L.; Stemerick, D.M.; Sunkara, P.S. Chalcones: a new class of antimitotic agents. J. Med. Chem. 1990, 33, 1948–1954. [Google Scholar] [CrossRef]
- Rozmer, Z.; Perjési, P. Naturally occurring chalcones and their biological activities. Phytochem. Rev. 2016, 15, 87–120. [Google Scholar] [CrossRef]
- Ralston, L.; Subramanian, S.; Matsuno, M.; Yu, O. Partial reconstruction of flavonoid and isoflavonoid biosynthesis in yeast using soybean type I and type II chalcone isomerases. Plant Physiol. 2005, 137, 1375–1388. [Google Scholar] [CrossRef]
- Ouyang, Y.; Li, J.; Chen, X.; Fu, X.; Sun, S.; Wu, Q. Chalcone derivatives: Role in anticancer therapy. Biomolecules 2021, 11, 894. [Google Scholar] [CrossRef] [PubMed]
- Falcone Ferreyra, M.L.; Rius, S.P.; Casati, P. Flavonoids: biosynthesis, biological functions, and biotechnological applications. Front. Plant Sci. 2012, 3, 222. [Google Scholar] [CrossRef]
- Wong, E. Photooxygenation of 2′,4,4′-trihydroxychalcone: Identity with products from enzymic oxidation. Phytochemistry 1987, 26, 1544–1545. [Google Scholar] [CrossRef]
- Wong, E.; Wilson, J.M. Products of the peroxidase-catalysed oxidation of 4,2′,4′-trihydroxychalcone. Phytochemistry 1976, 15, 1325–1332. [Google Scholar] [CrossRef]
- Sharifi-Rad, J.; Quispe, C.; Castillo, C.M.S.; Caroca, R.; Lazo-Vélez, M.A. Ellagic acid: A review on its natural sources, chemical stability, and therapeutic potential. Oxid. Med. Cell Longev. 2022, 202, 3848084. [Google Scholar] [CrossRef]
- Bell, C.; Hawthorne, S. Ellagic acid, pomegranate and prostate cancer - a mini review. J. Pharm. Pharmacol. 2008, 60, 139–144. [Google Scholar] [CrossRef] [PubMed]
- García-Niño, W.R.; Zazueta, C. Ellagic acid: Pharmacological activities and molecular mechanisms involved in liver protection. Pharmacol. Res. 2015, 97, 84–103. [Google Scholar] [CrossRef] [PubMed]
- Zeb, A. Ellagic acid in suppressing in vivo and in vitro oxidative stresses. Mol. Cell Biochem. 2018, 448, 27–41. [Google Scholar] [CrossRef] [PubMed]
- Derosa, G.; Maffioli, P.; Sahebkar, A. Ellagic acid and its role in chronic diseases. Adv. Exp. Med. Biol. 2016, 928, 473–479. [Google Scholar] [CrossRef] [PubMed]
- Häkkinen, S.; Heinonen, M.; Kärenlampi, S.; Mykkänen, H.; Ruuskanen, J.; Törrönen, R. Screening of selected flavonoids and phenolic acids in 19 berries. Food Res. Int. 1999, 32, 345–353. [Google Scholar] [CrossRef]
- Vattem, D.A.; Shetty, K. Biological functionality of ellagic acid: A review. J. Food Biochem. 2005, 29, 234–266. [Google Scholar] [CrossRef]
- Daniel, E.M.; Krupnick, A.S.; Heur, Y.H.; Blinzler, J.A.; Nims, R.W.; Stoner, G.D. Extraction, stability, and quantitation of ellagic acid in various fruits and nuts. J. Food Compos. Anal. 1989, 2, 338–349. [Google Scholar] [CrossRef]
- Tokutomi, H.; Takeda, T.; Hoshino, N.; Akutagawa, T. Molecular structure of the photo-oxidation product of ellagic acid in solution. ACS Omega 2018, 3, 11179–11183. [Google Scholar] [CrossRef]



































| No. | Dominated predicted activity | No. | Dominated predicted activity |
|---|---|---|---|
| 1 | Anti-eczematic, strong | 25 | Autoimmune disorders treatment, strong |
| 2 | Anti-eczematic, moderate | 26 | Antidyskinetic, moderate |
| 3 | Anti-eczematic, strong | 27 | Angiogenesis stimulant, strong |
| 4 | General pump inhibitor, strong | 28 | Antineoplastic, strong |
| 5 | Antineoplastic, strong | 29 | Apoptosis agonist, strong |
| 6 | Antineoplastic, strong | 30 | Antineoplastic, moderate |
| 7 | Antibiotic glycopeptide-like, strong | 31 | Apoptosis agonist, strong |
| 8 | Antineoplastic, moderate | 32 | Respiratory analeptic, strong |
| 9 | Phobic disorders treatment, moderate | 33 | Antineoplastic, strong |
| 10 | Antineoplastic, strong | 34 | Antiprotozoal (Plasmodium), strong |
| 11 | Antihypertensive, strong | 35 | Respiratory analeptic, strong |
| 12 | Antihypertensive, strong | 36 | Antiprotozoal (Plasmodium), strong |
| 13 | Mucositis treatment, moderate | 37 | Respiratory analeptic, strong |
| 14 | Mucositis treatment, strong | 38 | Antineoplastic, strong |
| 15 | Anti-eczematic, strong | 39 | Antiprotozoal (Plasmodium), strong |
| 16 | Antineoplastic, strong | 40 | Apoptosis agonist, strong |
| 17 | Antidiabetic symptomatic, strong | 41 | Antineoplastic, strong |
| 18 | Antidiabetic symptomatic, moderate | 42 | Antineoplastic, strong |
| 19 | Antineoplastic, strong | 43 | Antineoplastic, moderate |
| 20 | Antineoplastic, strong | 44 | Antineoplastic, moderate |
| 21 | Genital warts treatment, strong | 45 | Antineoplastic, strong |
| 22 | Antineoplastic (multiple myeloma), strong | 46 | Antineoplastic, strong |
| 23 | Antineoplastic, strong | 47 | Angiogenesis stimulant, strong |
| 24 | Antineoplastic (multiple myeloma), strong | 48 | Antiarthritic, strong |
| No. | Dominated predicted activity | No. | Dominated predicted activity |
|---|---|---|---|
| 49 | Anti-eczematic, strong | 73 | Antineoplastic, strong |
| 50 | Respiratory analeptic, strong | 74 | Antineoplastic, strong |
| 51 | Antineoplastic, strong | 75 | Antineoplastic, strong |
| 52 | Antineoplastic, moderate | 76 | Antineoplastic, strong |
| 53 | Genital warts treatment, strong | 77 | Cardiovascular analeptic, strong |
| 54 | Genital warts treatment, strong | 78 | Renin release stimulant, strong |
| 55 | Genital warts treatment, strong | 79 | Genital warts treatment, moderate |
| 56 | Antineoplastic, moderate | 80 | Apoptosis agonist, strong |
| 57 | Antineoplastic, strong | 81 | Antineoplastic enhancer, strong |
| 58 | Antineoplastic, strong | 82 | Anti-eczematic, moderate |
| 59 | Anti-eczematic, strong | 83 | Apoptosis agonist, strong |
| 60 | Expectorant, strong | 84 | Antineoplastic, strong |
| 61 | Wound healing agent, strong | 85 | Antineoplastic, strong |
| 62 | Antineoplastic, strong | 86 | Antineoplastic, strong |
| 63 | Antineoplastic, strong | 87 | Respiratory analeptic, strong |
| 64 | Antineoplastic, strong | 88 | Respiratory analeptic, strong |
| 65 | Antineoplastic, strong | 89 | Respiratory analeptic, strong |
| 66 | Antineoplastic, strong | 90 | Respiratory analeptic, strong |
| 67 | Genital warts treatment, moderate | 91 | Respiratory analeptic, strong |
| 68 | Antineoplastic, weak | 92 | Respiratory analeptic, strong |
| 69 | Genital warts treatment, moderate | 93 | Respiratory analeptic, strong |
| 70 | Genital warts treatment, moderate | 94 | Respiratory analeptic, strong |
| 71 | Stroke treatment, strong | 95 | Antineoplastic, strong |
| 72 | Genital warts treatment, moderate | 96 | Antineoplastic, strong |
| No. | Dominated predicted activity | No. | Dominated predicted activity |
|---|---|---|---|
| 97 | Antineoplastic, strong | 113 | Antineoplastic, moderate |
| 98 | Antineoplastic, strong | 114 | Antiviral, moderate |
| 99 | Cytotoxic, strong | 115 | Antiviral, moderate |
| 100 | Neurotrophic, moderate | 116 | Antiviral, strong |
| 101 | Antibacterial, strong | 117 | Antineoplastic, weak |
| 102 | Anti-inflammatory, weak | 118 | Antineoplastic, weak |
| 103 | Tyrosine kinase inhibitor, strong | 119 | Antineoplastic, weak |
| 104 | Tyrosine kinase inhibitor, strong | 120 | Antineoplastic, moderate |
| 105 | Anti-HIV-1, strong | 121 | Anti-feedant, moderate |
| 106 | Antibacterial, moderate | 122 | Anti-feedant, moderate |
| 107 | Antibacterial, moderate | 123 | Cytotoxic, moderate |
| 108 | Cytotoxic, moderate | 124 | Cytotoxic, moderate |
| 109 | Antibacterial, moderate | 125 | Cytotoxic, moderate |
| 110 | Antibacterial, moderate | 126 | Cytotoxic, strong |
| 111 | Antifungal, moderate | 127 | Antitumor, strong |
| 112 | Cytotoxic, moderate | 128 | Antitumor, moderate |
| No. | Dominated activity | No. | Dominated activity |
|---|---|---|---|
| 129 | Antiprotozoal (Plasmodium), moderate | 135 | Neuroprotective effect, strong |
| 129a | Antiprotozoal (Plasmodium), strong | 136 | Antiprotozoal (Plasmodium), strong |
| 129b | Antiprotozoal (Plasmodium), strong | 137 | Antiprotozoal (Plasmodium), strong |
| 129c | Antiprotozoal (Plasmodium), strong | 138 | Antiprotozoal (Plasmodium), strong |
| 129d | Antiprotozoal (Plasmodium), strong | 139 | Antiprotozoal (Plasmodium), strong |
| 129e | Antiprotozoal (Plasmodium), strong | 140 | Antiprotozoal (Plasmodium), strong |
| 129f | Antiprotozoal (Plasmodium), moderate | 141 | Antiprotozoal (Plasmodium), strong |
| 129g | Antiprotozoal (Plasmodium), moderate | 142 | Photosensitizer, strong |
| 130 | Antiprotozoal (Plasmodium), moderate | 143 | Photosensitizer, strong |
| 131 | Anticancer, weak | 144 | Cytotoxic, weak |
| 132 | Antiprotozoal (Plasmodium), weak | 145 | Antineoplastic, strong |
| 133 | Antiprotozoal (Plasmodium), moderate | 146 | Antineoplastic, strong |
| 134 | Neuroprotective effect, strong |
Disclaimer/Publisher’s Note: The statements, opinions and data contained in all publications are solely those of the individual author(s) and contributor(s) and not of MDPI and/or the editor(s). MDPI and/or the editor(s) disclaim responsibility for any injury to people or property resulting from any ideas, methods, instructions or products referred to in the content. |
© 2024 by the authors. Licensee MDPI, Basel, Switzerland. This article is an open access article distributed under the terms and conditions of the Creative Commons Attribution (CC BY) license (http://creativecommons.org/licenses/by/4.0/).