Submitted:
17 April 2024
Posted:
18 April 2024
You are already at the latest version
Abstract
Keywords:
1. Introduction
2. Materials and Methods
2.1. Mechanical Properties of PVA-SHCC
2.1.1. Materials
2.1.2. Tensile Properties
2.1.3. Flexural Behavior
2.2. Design of Composite Models
2.2.1. Similarity Design
2.2.2. Design of Composite Models
2.3. Experimental Investigation
2.3.1. Test Setup
2.3.2. Test Procedures
3. Results and Discussions
3.1. Load-Deflection Curves
3.2. Cracking and Ultimate Loads
3.3. Cracks and Failure Mode
3.4. Cracking Characteristics of Jointless Link Slabs
3.4.1. Descriptions of Cracks
3.4.2. Width and Depth of Cracks
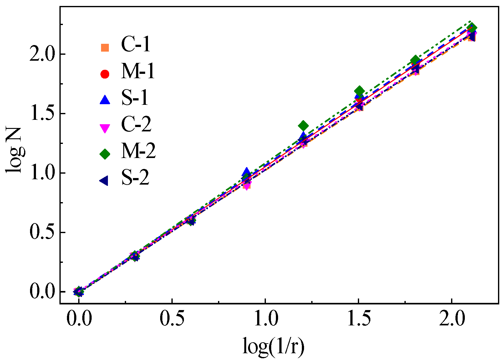
3.4.3. Fractal Characteristics of Cracks
3.4.4. Relationships between Df and Bending Behavior
3.5. Distribution of Strain
4. Finite Element Analysis
4.1. Finite Element Models
4.2. Comparisons between the Experimental and Modeling Results
4.3. Distributions of Stress and Strain in Beams
4.4. Distributions of Strain in Link Slabs
5. Conclusions
Author Contributions
Funding
Data Availability Statement
Conflicts of Interest
References
- Okeil, A.M.; ElSafty, A. Partial continuity in bridge girders with jointless decks. Practice Periodical on Structural Design and Construction 2005, 10, 229–238. [Google Scholar] [CrossRef]
- Val, D.V.; Stewart, M.G.; Melchers, R.E. Life-cycle performance of RC bridges: probabilistic approach. Computer-aided Civil and Infrastructure Engineering 2000, 15, 14–25. [Google Scholar] [CrossRef]
- Kobayashi, K.; Ahn, D.L.; Rokugo, K. Effects of crack properties and water-cement ratio on the chloride proofing performance of cracked SHCC suffering from chloride attack. Cement and Concrete Composites 2016, 69, 18–27. [Google Scholar] [CrossRef]
- Michigan Department of Transportation (MDOT). Bridge preservation timeline. Construction & Technology Division 2003, Michigan Department of Transportation, Lansing.
- Moradi, M.; Valipour, H.; Foster, S.J.; Brad, M.A. Deconstructable steel-fibre reinforced concrete deck slabs with a transverse confining system. Materials & Design 2016, 89, 1007–1019. [Google Scholar]
- Lin, Y.Z.; Yan, J.C.; Wang, Z.F.; Zou, C.Y. Effects of steel fibers on failure mechanism of S-UHPC composite beams applied in the Arctic offshore structure. Ocean Engineering 2021, 234, 109302. [Google Scholar] [CrossRef]
- Li, V.C.; Leung, C.K.Y. Theory of steady state and multiple cracking of random discontinuous fiber reinforced brittle matrix composites. Journal of Engineering Mechanics 1992, 118, 2246–2264. [Google Scholar] [CrossRef]
- Kanda, T.; Li, V.C. New micro-mechanics design theory for pseudo strain hardening cementitious composite. Journal of Engineering Mechanics (ASCE) 1999, 125, 373–381. [Google Scholar] [CrossRef]
- Li, Z.Y.; Lu, B.; Feng, J.H.; Zhao, H.Y.; Qian, S.Z. Development of Engineered Cementitious Composites/Strain-hardening Cementitious Composites (ECC/SHCC) with waste granite fine powders. Construction and Building Materials 2023, 409, 133883. [Google Scholar] [CrossRef]
- Xu, S.L.; Wan, N.; Li, Q.H. Experimental study on the flexural performance of concrete beam strengthened with ultra high toughness cementitious composites. China Civil Engineering Journal 2010, 43, 17–22. [Google Scholar]
- Xu, S.L.; Xie, H.W.; Li, Q.H.; Hong, C.K.; Liu, J.W.; Wang, Q.M. Bending performance of RC slabs strengthened by CFRP sheets using sprayed UHTCC as bonding layer: Experimental study and theoretical analysis. Engineering Structures 2023, 292, 116575. [Google Scholar] [CrossRef]
- Yang, E.H.; Garcez, E.O.; Li, V.C. Micromechanics-based optimization of pigmentable strain-hardening cementitious composites. Journal of Materials in Civil Engineering (ASCE) 2014, 26, 1–6. [Google Scholar] [CrossRef]
- Pan, Z.F.; Wu, C.; Liu, J.Z. Study on mechanical properties of cost-effective polyvinyl alcohol engineered cementitious composites (PVA-ECC). Construction and Building Materials 2015, 78, 397–404. [Google Scholar] [CrossRef]
- Pan, Z.F.; Qiao, Z.; Si, D.D.; Shang, J.Q. Experimental investigation and numerical simulation on uniaxial tensile behavior of hybrid PVA-ECC. Construction and Building Materials 2023, 398, 132517. [Google Scholar] [CrossRef]
- Jun, P.; Mechtcherine, V. Behaviour of strain-hardening cement-based composites (SHCC) under monotonic and cyclic tensile loading: part I-experimental investigations. Cement and Concrete Composites 2010, 32, 801–809. [Google Scholar] [CrossRef]
- Mechtcherine, V.; Millon, O.; Butler, M.; Thoma, K. Mechanical behaviour of strain-hardening cement-based composites under impact loading. Cement and Concrete Composites 2011, 33, 1–11. [Google Scholar] [CrossRef]
- Altmann, F.; Sickert, J.U.; Mechtcherine, V.; Kaliske, M. A fuzzy-probabilistic durability concept for strain-hardening cement-based composites (SHCC) exposed to chlorides: part II-Application example. Cement and Concrete Composites 2012, 34, 763–770. [Google Scholar] [CrossRef]
- Paul, S.C.; Pirskawetz, S.; Zijl, G.P.A.G.van.; Schmidt, W. Acoustic emission for characterising the crack propagation in strain-hardening cement-based composites (SHCC). Cement and Concrete Research 2015, 69, 19–24. [Google Scholar] [CrossRef]
- Lepech, M.; Li, V.C. Design and field demonstration of ECC link slabs for jointless bridge decks. Proceedings of CONMAT-5 2005.
- Lepech, M.; Li, V.C. Application of ECC for bridge deck link slabs. Materials and Structures 2009, 42, 1185–1195. [Google Scholar] [CrossRef]
- Hisseine, O.A.; Tagnit-Hamou, A. Shear-bond behavior of nanocellulose-modified SHCC composite slabs: Translating material-level capacity into improved structural performance. Engineering Structures 2023, 291, 116394. [Google Scholar] [CrossRef]
- Kim, Y.Y.; Fischer, G.; Li, V.C. Performance of bridge deck link slabs designed with ductile ECC. Structural Journal (ACI) 2004, 101, 792–801. [Google Scholar]
- Qian, S.; Zhou, J.; Rooij, M.R.de.; Schlangen, E.; Ye, G.; Breugel, K.van. Self-healing behavior of strain-hardening cementitious composites incorporating local waste materials. Cement and Concrete Composites 2009, 31, 613–621. [Google Scholar] [CrossRef]
- Paul, S.C.; Pirskawetz, S.; Zijl, G.P.A.G.van; Schmidt, W. Acoustic emission for characterising the crack propagation in strain-hardening cement-based composites (SHCC). Cement and Concrete Research 2015, 69, 19–24. [Google Scholar] [CrossRef]
- He, S.; Mustafa, S.; Chang, Z.; Liang, M.F.; Schlangen, E.; Lukovi´c, M. Ultra-thin Strain Hardening Cementitious Composite (SHCC) layer in reinforced concrete cover zone for crack width control. Engineering Structures 2023, 292, 116584. [Google Scholar] [CrossRef]
- Huang, B.T.; Yu, J.; Wu, J.Q.; Dai, J.G.; Leung, C.K.Y. Seawater sea-sand Engineered Cementitious Composites (SS-ECC) for marine and coastal applications. Composites Communications 2020, 20, 100353. [Google Scholar] [CrossRef]
- Hou, L.J.; Zhou, B.X.; Guo, S.; Aslani, F.; Chen, D. Corrosion behavior and flexural performance of reinforced concrete/ultrahigh toughness cementitious composite (RC/UHTCC) beams under sustained loading and shrinkage cracking. Construction and Building Materials 2019, 198, 278–287. [Google Scholar] [CrossRef]
- Fu, G.M.; Estefen, S.F.; Lourenço, M.I.; Yang, J.K.; Paz, C.M.; Duan, M.L. Buckle propagation of damaged SHCC sandwich pipes: Experimental tests and numerical simulation. Marine Structures 2021, 77, 102976. [Google Scholar] [CrossRef]
- Zhang, C.C.; Guan, X.C.; Tian, J.L.; Li, Y.Z.; Lyu, J.J. Corrosion resistance of RC/UHTCC beams with various healing promoters in marine environment. Cement and Concrete Composites 2022, 131, 104604. [Google Scholar] [CrossRef]
- Zhang, Z.Y.; Wu, X.H.; Sun, Q.; Tian, P.G.; Hu, G.X. Compressive behavior of corroded reinforced concrete columns strengthened with BFRP reinforced ECC in marine environment. Ocean Engineering 2023, 279, 114533. [Google Scholar] [CrossRef]
- ACI Committee 237. 237R-07. Self-Consolidating Concrete 2007.
- Kim, N.S.; Lee, J.H.; Chang, S.P. Equivalent multi-phase similitude law for pseudodynamic test on small scale reinforced concrete models. Engineering Structures 2009, 31, 834–846. [Google Scholar] [CrossRef]
- ACI Committee 343. 343R-95. Analysis and Design of Reinforced Concrete Bridge Structures 1995.
- ACI Committee 437. 437.2-13. Code requirements for load testing of existing concrete structures and commentary 2013.
- Fantilli, A.P.; Chiaia, B.; Gorino, A. Fiber volume fraction and ductility index of concrete beams. Cement and Concrete Composites 2016, 65, 139–149. [Google Scholar] [CrossRef]
- Yoo, D.Y.; Banthia, N. High-performance strain-hardening cementitious composites with tensile strain capacity exceeding 4%: A review. Cement and Concrete Composites 2022, 125, 104325. [Google Scholar] [CrossRef]
- Erdem, S.; Blankson, M.A. Fractal-fracture analysis and characterization of impact-fractured surfaces in different types of concrete using digital image analysis and 3D nano-map laser profilometery. Construction and Building Materials 2013, 40, 70–76. [Google Scholar] [CrossRef]
- Guo, P.W.; Meng, X.J.; Meng, W.N.; Bao, Y. Monitoring and automatic characterization of cracks in strain-hardening cementitious composite (SHCC) through intelligent interpretation of photos. Composites Part B 2022, 242, 110096. [Google Scholar] [CrossRef]
- Zhang, J.; Wang, Z.B.; Ju, X.C.; Shi, Z.J. Simulation of flexural performance of layered ECC-concrete composite beam with fracture mechanics model. Engineering Fracture Mechanics 2014, 131, 419–438. [Google Scholar] [CrossRef]
- Qin, S.Q.; Zhang, J.B.; Huang, C.L.; Gao, L.Q.; Bao, Y. Fatigue performance evaluation of steel-UHPC composite orthotropic deck in a long-span cable-stayed bridge under in-service traffic. Engineering Structures 2022, 254, 113875. [Google Scholar] [CrossRef]


























| Density (g/cm3) | Diameter (μm) | Length (mm) | Strength (MPa) | Elasticity modulus (GPa) | Elongation (%) |
|---|---|---|---|---|---|
| 1.3 | 40 | 12 | 1560 | 41 | 6.5 |
| No. | w/b | Sand | Cement | Fly ash | Water | Water reducer | PVA | Cellulose |
|---|---|---|---|---|---|---|---|---|
| 1 | 0.35 | 525.6 | 477.6 | 716.4 | 417.9 | 4.8 | 0 (0%) | 0.333 |
| 2 | 520.3 | 472.8 | 709.3 | 404.2 | 11.8 | 13 (1%) | 0.333 | |
| 3 | 517.7 | 470.4 | 705.7 | 411.6 | 16.5 | 19.5 (1.5%) | 0.333 | |
| 4 | 515.1 | 468.1 | 702.1 | 396.4 | 16.4 | 26 (2%) | 0.333 |
| Volume addition rates (%) | Ultimate tensile stress (MPa) | Yield strain (%) | Ultimate tensile strain (%) | Ductility (μ=εu/εy) |
|---|---|---|---|---|
| 0 | 0.623 | 0.051 | 0.095 | 1.86 |
| 1 | 1.108 | 0.083 | 0.913 | 11.02 |
| 1.5 | 1.201 | 0.112 | 2.596 | 23.18 |
| 2 | 1.359 | 0.102 | 2.431 | 23.76 |
| Items | Deflection (mm) |
Quantity of cracks | Max width of cracks (μm) | Ductility (μ=εu/εy) | |
|---|---|---|---|---|---|
| Vol. % | |||||
| 1.0 | 4.6 | 14 | 98 | 10.15 | |
| 1.5 | 5.0 | 17 | 105 | 14.32 | |
| 2.0 | 5.3 | 19 | 102 | 15.60 | |
| Types | Physical quantity |
Affinity constants |
Types | Physical quantity | Affinity constants |
|---|---|---|---|---|---|
| Physical | σ | 1 | Geometrical | l | 1/5 |
| ε | 1 | x | 1/5 | ||
| E | 1 | θ | 1 | ||
| ν | 1 | A | 1/25 | ||
| Boundary condition | f | 5 | W | 1/125 | |
| P | 1/25 | I | 1/625 | ||
| M | 1/125 | k | 1/5 | ||
| J | 1/125 |
| Cement | Sand | Stone | Water | w/c | w/b | Fly ash | Water reducer |
| 450 | 678 | 1040 | 159 | 0.353 | 0.304 | 60.0 | 12.8 |
| Series | No. | Materials of decks | Curing age (days) |
|---|---|---|---|
| C | C-1 | Concrete | 7 |
| C-2 | 56 | ||
| M | M-1 | Cement mortar | 7 |
| M-2 | 56 | ||
| S | S-1 | PVA-SHCC | 7 |
| S-2 | 56 |
| No. | Cracking load (kN) | Ultimate capacity (kN) | Ductility (μ=Δu/Δy) |
| C-1 | 20 | 71.4 | 1.26 |
| C-2 | 15 | 81.7 | 1.51 |
| M-1 | 17 | 64.3 | 1.74 |
| M-2 | 10 | 91.1 | 1.60 |
| S-1 | 17 | 73.8 | 1.69 |
| S-2 | 15 | 92.2 | 1.83 |
| No. | Materials | Quantities of cracks | Width of major crack (mm) | Average width of cracks (mm) | Average distance of cracks (mm) | Ultimate depth of cracks (mm) | Df |
|---|---|---|---|---|---|---|---|
| C-1 | Concrete | 1 | 0.32 | 0.320 | - | 33.1 | 1.028 |
| C-2 | Concrete | 1 | 0.38 | 0.380 | - | 30.5 | 1.060 |
| M-1 | Cement mortar | 5 | 0.18 | 0.145 | - | 31.3 | 1.062 |
| M-2 | Cement mortar | 2 | 0.22 | 0.160 | - | 23.6 | 1.036 |
| S-1 | PVA-SHCC | 7 | 0.12 | 0.087 | 1.360 | 28.0 | 1.035 |
| S-2 | PVA-SHCC | 9 | 0.14 | 0.105 | 1.473 | 25.5 | 1.087 |
| No. | Materials of decks | Cracking load (kN) | Cracking strain (10-3) |
| C-1 | Concrete | 14.70 | 0.715 |
| M-1 | Cement mortar | 16.63 | 0.931 |
| S-1 | PVA-SHCC | 38.34 | 8.963 |
| Materials | Density (kg·m-3) |
Elasticity modulus (GPa) |
Poisson's ratio | Yield stress (MPa) |
Yield strain (%) |
Ultimate tensile stress (MPa) | Ultimate tensile strain (%) |
|---|---|---|---|---|---|---|---|
| Concrete | 2400 | 32.5 | 0.2 | 1.150 | 0.010 | ||
| Reinforcing steel | 7800 | 210 | 0.3 | 300 | 0 | ||
| PVA-SHCC | 1900 | 21.0 | 0.25 | 1.201 | 2.596 |
| Materials | Ultimate principal stress (MPa) | Ultimate plastic strain (%) |
|---|---|---|
| PVA-SHCC | 3.187 | 2.32 |
| Concrete | 3.336 | 0.098 |
Disclaimer/Publisher’s Note: The statements, opinions and data contained in all publications are solely those of the individual author(s) and contributor(s) and not of MDPI and/or the editor(s). MDPI and/or the editor(s) disclaim responsibility for any injury to people or property resulting from any ideas, methods, instructions or products referred to in the content. |
© 2024 by the authors. Licensee MDPI, Basel, Switzerland. This article is an open access article distributed under the terms and conditions of the Creative Commons Attribution (CC BY) license (http://creativecommons.org/licenses/by/4.0/).