Submitted:
16 April 2024
Posted:
16 April 2024
You are already at the latest version
Abstract
Keywords:
1. Introduction
2. Materials and Methods
Chemicals
Preparation of unmodified carbon paste
Preparation of modified carbon paste
Preparation of a modified carbon electrode
Electrochemical characterization of polyphenolic compounds
Mathematical analysis of voltammograms
3. Results
4. Discussion
5. Conclusions
Supplementary Materials
Author Contributions
Funding
Institutional Review Board Statement
Informed Consent Statement
Data Availability Statement
Conflicts of Interest
References
- Gutiérrez-Escobar, R.; Aliaño-González, M.J.; Cantos-Villar, E. Wine Polyphenol Content and Its Influence on Wine Quality and Properties: A Review. Molecules 2021, 26, 718. [Google Scholar] [CrossRef]
- Lorrain, B.; Ky, I.; Pechamat, L.; Teissedre, P.-L. Evolution of Analysis of Polyhenols from Grapes, Wines, and Extracts. Molecules 2013, 18, 1076–1100. [Google Scholar] [CrossRef]
- Nemzer, B.; Kalita, D.; Yashin, A.Y.; Yashin, Y.I. Chemical Composition and Polyphenolic Compounds of Red Wines: Their Antioxidant Activities and Effects on Human Health—A Review. Beverages 2022, 8, 1. [Google Scholar] [CrossRef]
- Gonzalez-Dominguez, R.; Jauregui, O.; Mena, P.; Hanhineva, K.; Tinahones, F.J.; Angelino, D.; Andres-Lacueva, C. ; Quantifying the human diet in the crosstalk between nutrition and health by multi-targeted metabolomics of food and microbiota-derived metabolites. International Journal of Obesity 2020, 44, 2372–2381. [Google Scholar] [CrossRef] [PubMed]
- Nel, A.P. Tannins and Anthocyanins: From Their Origin to Wine Analysis – A Review. South African Journal of Enology and Viticulture 2018, 39, 1–20. [Google Scholar] [CrossRef]
- Gutiérrez-Escobar, R.; Aliaño-González, M.J.; Cantos-Villar, E. Wine Polyphenol Content and Its Influence on Wine Quality and Properties: A Review, Molecules 2021, 26, 718. [CrossRef]
- Perestrelo, R.; Bordiga, M.; Locatelli, M.; Silva, C.; Câmara, J.S. Polyphenols, biogenic amines and amino acids patterns in Verdelho wines according to vintage, Microchemical Journal 2020, 153, 104383. [CrossRef]
- Mao, A.; Li, H.; Cai, Z.; Hu, X. Determination of mercury using a glassy carbon electrode modified with nano TiO2 and multi-walled carbon nanotubes composites dispersed in a novel cationic surfactant, Journal of Electroanalytical Chemistry 2015, 751, 23–29. [CrossRef]
- Hassaninejad-Darzi, S.K.; Shajie, F. ; A Sensitive Voltammetric Determination of Anti-Parkinson Drug Pramipexole Using Titanium Dioxide Nanoparticles Modified Carbon Paste Electrode, Journal of the Brazilian Chemical Society 2017, 28, 529–539. [CrossRef]
- Arvand, M.; Ghodsi, N.; Zanjanchi, A. A new microplatform based on titanium dioxide nanofibers/graphene oxide nanosheets nanocomposite modified screen printed carbon electrode for electrochemical determination of adenine in the presence of guanine, Biosensors and Bioelectronics 2016, 77, 837–844. [CrossRef]
- Mashhadizadeh, M.H.; Afshar, E. ; Electrochemical investigation of clozapine at TiO2 nanoparticles modified carbon paste electrode and simultaneous adsorptive voltammetric determination of two antipsychotic drugs, Electrochimica Acta 2013, 87, 816–823. [CrossRef]
- Švancara, I.; Kalcher, K.; Walcarius, A.; Vytřas, K. Electroanalysis with Carbon Paste Electrodes, CRC Press, Taylor & Francis Group, Boca Raton, USA, 2012, pp. 250–260.
- Mićin, S.; Malinović, B.N.; Đurčić, T. Development and characterization of electrochemical sensors based on carbon modified with TiO2 nanoparticles, Hemijska industrija 2022, 76, 147–158. [CrossRef]
- Tashkhourian, J.; Ana, S.F.N.; Hashemnia, S.; Hormozi-Nezhad, M.R. Construction of a modified carbon paste electrode based on TiO2 nanoparticles for the determination of gallic acid, Journal of Solid State Electrochemistry 2013, 17, 157–165. [CrossRef]
- Espinoza, E.M.; Clark, J.A.; Soliman, J.; Derr, J.B.; Morales, M.; Vullev, V.I. Practical Aspects of Cyclic Voltammetry: How to Estimate Reduction Potentials When Irreversibility Prevails, Journal of The Electrochemical Society 2019, 166, H3175–H3187. [CrossRef]
- Jiang, X.; Manawan, M.; Feng, T.; Qian, R.; Zhao, T.; Zhou, G.; Kong, F.; Wang, Q.; Dai, S.; Pan, J.H. Anatase and rutil in evonik aeroxide P25:Heterojunctioned or individual nanoparticles? , Catalysis Today 2017, 300, 12–17. [Google Scholar] [CrossRef]
- Arribas, A.S.; Martínez-Fernández, M.; Chicharro, M. The role of electroanalytical techniques in analysis of polyphenols in wine, Trends in Analytical Chemistry 2012, 34, 78–96. [CrossRef]
- Kilmartin, P.A.; Zou, H.; Waterhouse, A.L. A Cyclic Voltammetry Method Suitable for Characterizing Antioxidant Properties of Wine and Wine Phenolics, Journal of Agricultural and Food Chemistry 2001, 49, 1957–1965. [CrossRef]
- Chikere, C.O.; Faisal, N.H.; Kong Thoo Lin, P.; Fernandes, C. The synergistic effect betveen graphen oxide nanocolloids and silicon dioxide nanoparticles for gallic acid sensing, Journal of Solid State Electrochemistry 2019, 23 1795–1809. [CrossRef]
- Ziyatdinova, G.; Guss, E.; Morozova, E.; Budnikov, H.; Davletshin, R.; Vorobev, V.; Osin, Y. Simultaneous voltammetric determination of gallic and ellagic acids in cognac and brandy using electrode modified with functionalized SWNT and poly(pyrocatechol violet), Food Analytical Methods 2019, 12, 2250–2261. [CrossRef]
- Pumera, M.; Escarpa, A. Nanomaterials as electrochemical detectors in microfluidics and CE: Fundamentals,designs, and applications, Electrophoresis 2009, 30, 3315–3323. [CrossRef]
- Zrinski, I.; Martinez, S.; Gospić, E.A. Catalytic and photocatalytic effects of TiO2 nanoparticles on electrooxidation of common antioxidants on carbon paste, Journal of Solid State Electrochemistry 2021, 25, 1591–1600. [CrossRef]
- Lisnund, S.; Blay, V.; Chansaenpak, K.; Pinyou, P. Voltammetric Determination of Gallic Acid witha Glassy Carbon Electrode modified with Reduced Graphen Oxide, International Journal of Electrochemical Science 2020, 15, 7214–7227. [CrossRef]
- Manikandan, V.S.; Sidhureddy, B.; Thiruppathi, A.R.; Chen, A. Sensitive Electrochemical Detection of Caffeic Acid in Wine Based on Fluorine-Doped Graphene Oxide. Sensors 2019, 19, 1604. [Google Scholar] [CrossRef] [PubMed]
- Janeiro, P.; Oliveira Brett, A.M. Catechin electrochemical oxidation mechanisms, Analytica Chimica Acta 2004, 518, 109–115. [CrossRef]
- Senocak, A.; Basova, T.; Demirbas, E.; Durmus, M. Direct and Fast Electrochemical Determination of Catehin in Tea Extracts using SWCNT-Subphthalocyanine Hibrid Material, Electroanalysis 2019, 31, 1–12. [CrossRef]
- Sokolová,R. ; Ramešová,Š.; Degano, I.; Hromadová, M.; Gál, M.; Žabka, J. The oxidation of natural flavonoid quercetin, ChemicalCommunication 2012, 48, 3433–3435. [CrossRef]
- Saritha, D.; Koirala, A.R.; Venu, M. ; Dinneswara ReddyG. ; Vijaya Bhaskar Reddy, A.; Sitaram, B.; Madhavi, G.; Aruna, K. A simple, highly sensitive and stable electrochemical sensor for the detection of quercetin in solution, onion and honey buckwheat using zinc oxide supported on carbon nanosheet (ZnO/CNS/MCPE) modified carbon paste electrode, Electrochimica Acta 2019, 313, 523–531. [Google Scholar] [CrossRef]
- Corduneanu, O.; Janeiro, P.; Oliveira Brett, A.M. On the Electrochemical Oxidation of Resveratrol, Electroanalysis 2006, 18, 757–762. [CrossRef]
- Liu, L.; Zhou, Y.; Kang, Y.; Huang, H.; Li, C.; Xu, M.; Ye, B. Electrochemical Evaluation of trans-Resveratrol Levels in Red Wine Based on the Interaction between Resveratrol and Graphene, Journal of Analytical Methods in Chemistry 2017, 2017, 1–8. [CrossRef]
- Manjunatha, K.G.; Kumara Swamy, B.E.; Madhuchandra, H.D.; Vishnumurthy, K.A. Synthesis, characterization and electrochemical studies of titanium oxide nanoparticle modified carbon paste electrode for the determination of paracetamol in presence of adrenaline, Chemical Data Collections 2021, 31, 100604. [CrossRef]
- Araujo, P.Z.; Morando, P.J.; Blesa, M.A. Interaction of Catechol and Gallic Acid with Titanium Dioxide in Aqueous Suspensions. 1. Equilibrium Studies, Langmuir 2005, 21, 3470–3474. [Google Scholar] [CrossRef]
- Mahotkina, O.; Kilmartin, P.A. ; Uncovering the influence of antioxidants on polyphenol oxidation in wines using an electrochemical method: Cyclic voltammetry, Journal of Electroanalytical Chemistry 2009, 633, 165–174. [CrossRef]
- Chikere, C.O.; Hobben, E.; Faisal, N.H.; Kong-Thoo-Lin, P.; Fernandez, C. Electroanalytical determination of gallic acid in red and white wine samples using cobalt oxide nanoparticles-modified carbon-paste electrodes, Microchemical Journal 2021, 160, 105668. [CrossRef]
- Sterneder, S.; Stoeger, V.; Dugulin, C.A.; Liszt, K.I.; Di Pizio, A.; Korntheuer, K.; Dunkel, A.; Eder, R.; Ley, J.P.; Somoza, V. Astringent Gallic Acid in Red Wine Regulates Mechanisms of Gastric Acid Secretion via Activation of Bitter Taste Sensing Receptor TAS2R4, Journal of Agricultural and Food Chemistry 2021, 69, 10550–10561. [CrossRef]
- Zhang, X.K.; He, F.; Zhang, B.; Reeves, M.J.; Liu, Y.; Zhao, X.; Duan, C.Q. The effect of prefermentative addition of gallic acid and ellagic acid on the red wine color, copigmentation and phenolic profiles during wine aging, Food Research International 2018, 106, 568–579. [CrossRef]






| Polyphenolic compound | Electrode |
Oxidation potential (V) |
Anodic peak potential (V) | Anodic peak current intensity (μA) | ||||||
| Anodic peak number | ||||||||||
| 1 | 2 | 3 | 1 | 2 | 3 | 1 | 2 | 3 | ||
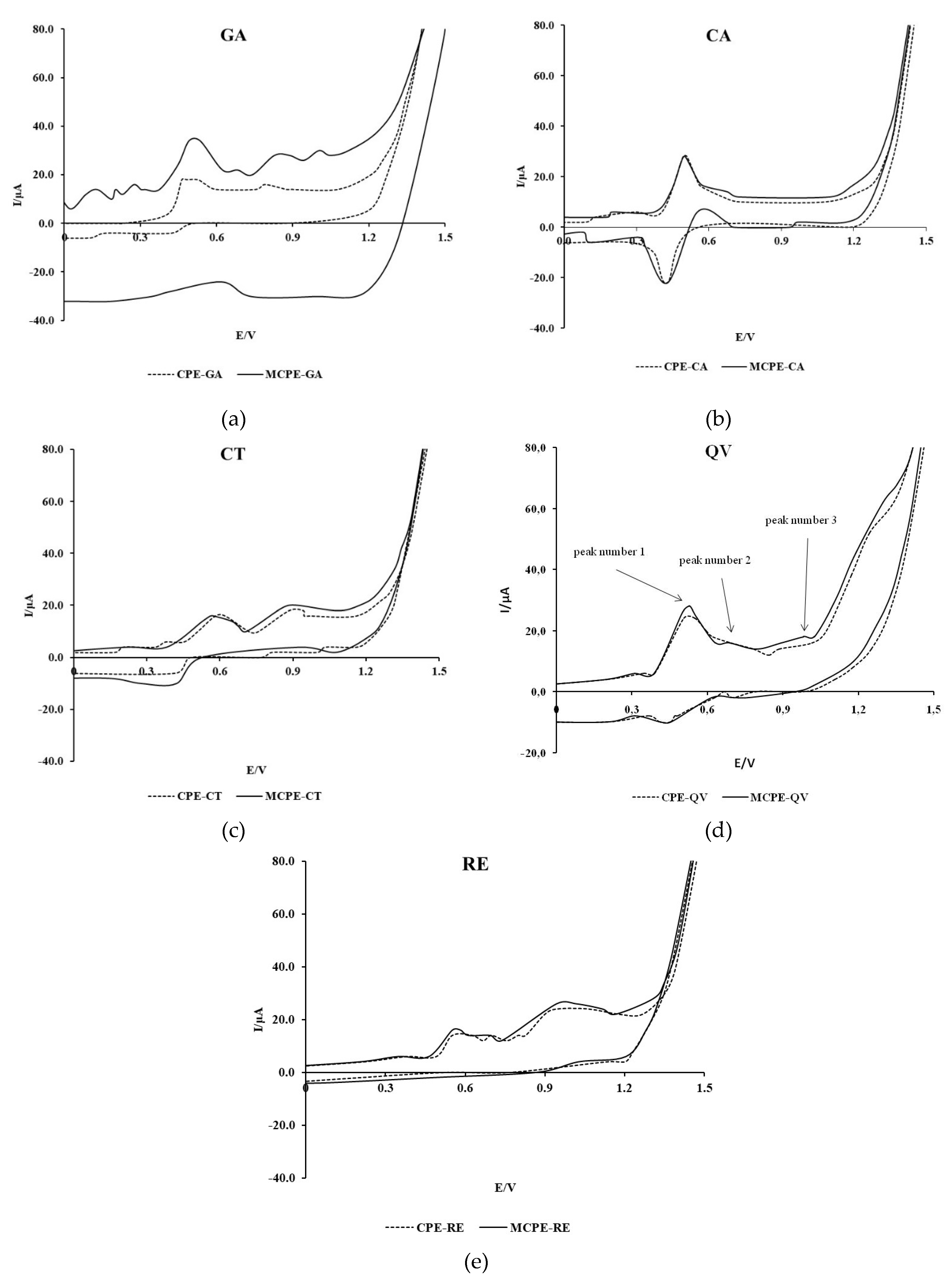
| GA | CPE | 0.42 | 0.71 | - | 0.50 | 0.80 | - | 20 | 14 | - |
| MCPE/npTiO2 | 0.39 | 0.81 | 1.16 | 0.53 | 0.85 | 1.21 | 40 | 26 | 30 | |
| CA | CPE | 0.47 | - | - | 0.50 | - | - | 28 | - | - |
| MCPE/npTiO2 | 0.47 | - | - | 0.50 | - | - | 28 | - | - | |
| CT | CPE | 0.49 | 0.94 | - | 0.60 | 1.07 | - | 12 | 14 | - |
| MCPE/npTiO2 | 0.48 | 0.79 | - | 0.58 | 0.90 | - | 16 | 20 | - | |
| QV | CPE | 0.48 | - | - | 0.54 | - | - | 22 | - | - |
| MCPE/npTiO2 | 0.42 | 0.69 | 0.89 | 0.53 | 0.73 | 1.00 | 26 | 14 | 14 | |
| RE | CPE | 0.50 | 0.79 | - | 0.59 | 1.02 | - | 14 | 24 | - |
| MCPE/npTiO2 | 0.48 | 0.84 | - | 0.57 | 1.00 | - | 16 | 26 | - | |
| Polyphenolic compound | Linear fit |
|---|---|
| GA | Ipa (μA) = 0.11ν (μA/mVs-1) + 18.60 (μA); R2 = 0.99 |
| CA | Ipa (μA) = 0.06ν (μA/mVs-1) + 12.53 (μA); R2 = 0.92 |
| CT | Ipa (μA) = 0.03ν (μA/mVs-1) + 8.66 (μA); R2 = 0.96 |
| QV | Ipa (μA) = 0.09ν (μA/mVs-1) + 10.80 (μA); R2 = 0.96 |
| RE | Ipa (μA) = 0.03ν (μA/mVs-1) + 8.40 (μA); R2 = 0.94 |
| Polyphenolic compound | Linear fit |
|---|---|
| GA | Ip (μA) = 53.91CGA + 11.39; R2 = 0.96 |
| CA | Ip (μA) = 46.50CCA + 12.60; R2 = 0.98 |
| CT | Ipa (μA) = 24.89CCT + 7.74; R2 = 0.99 |
| QV | Ipa (μA) = 59.72CQV + 8.33; R2 = 0.99 |
| RE | Ipa (μA) = 28.42CRE + 7.72; R2 = 0.99 |
| Wine sample | Electrode |
Oxidation potential (V) |
Anodic peak potential (V) |
Anodic peak current intensity (μA) | ||||
| Anodic peak number | ||||||||
| 1 | 2 | 1 | 2 | 1 | 2 | |||
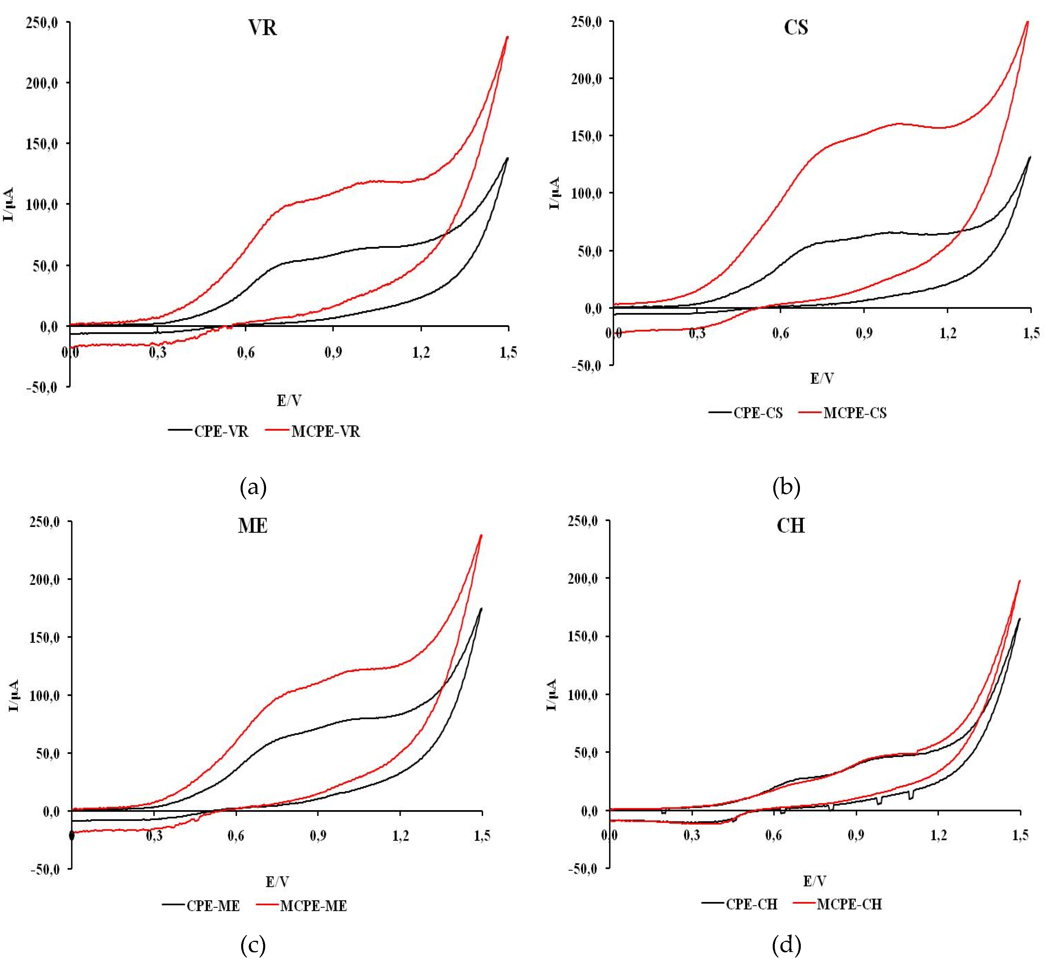
| VR | CPE | 0.63 | 0.90 | 0.86 | 1.07 | 37.3 | 58.9 | |
| MCPE/npTiO2 | 0.62 | 0.92 | 0.86 | 1.06 | 104.29 | 111.6 | ||
| ME | CPE | 0.60 | 0.92 | 0.83 | 1.09 | 67.3 | 80.2 | |
| MCPE/npTiO2 | 0.63 | 0.94 | 0.85 | 1.09 | 106.7 | 122.4 | ||
| CS | CPE | 0.56 | 0.89 | 0.80 | 1.00 | 58.7 | 62.16 | |
| MCPE/npTiO2 | 0.62 | 0.93 | 0.83 | 1.03 | 146.31 | 154.5 | ||
| CH | CPE | 0.63 | - | 0.69 | 1.10 | 23.11 | 47.61 | |
| MCPE/npTiO2 | 0.51 | - | 0.79 | 1.10 | 11.34 | 48.66 | ||
| TE | CPE | - | 0.90 | - | 1.12 | - | 33.23 | |
| MCPE/npTiO2 | 0.40 | 0.89 | 0.62 | 1.10 | 17.56 | 49.26 | ||
| GR | CPE | 0.62 | 0.91 | 0.70 | 1.10 | 28.78 | 31.71 | |
| MCPE/npTiO2 | 0.51 | 0.92 | 0.71 | 1.06 | 31.77 | 67.22 | ||
| RO | CPE | 0.58 | 0.83 | 0.72 | 1.07 | 16.70 | 39.20 | |
| MCPE/npTiO2 | 0.63 | 0.87 | 0.75 | 1.06 | 32.40 | 57.23 | ||
Disclaimer/Publisher’s Note: The statements, opinions and data contained in all publications are solely those of the individual author(s) and contributor(s) and not of MDPI and/or the editor(s). MDPI and/or the editor(s) disclaim responsibility for any injury to people or property resulting from any ideas, methods, instructions or products referred to in the content. |
© 2024 by the authors. Licensee MDPI, Basel, Switzerland. This article is an open access article distributed under the terms and conditions of the Creative Commons Attribution (CC BY) license (http://creativecommons.org/licenses/by/4.0/).