Submitted:
08 April 2024
Posted:
09 April 2024
You are already at the latest version
Abstract
Keywords:
1. Introduction
2. System Description
2.1. Membrane Contactor Based CO2 Absorption-Desorption System
2.2. Solar Thermal Energy Collection and Storage System
3. Methodology and Study Case
3.1. Net Efficiency and Carbon Emission of Coal-Fired Power Plants
3.2. Area of Solar Thermal Collectors
3.3. Economic Evaluation Indicators
3.4. Study Case
4. Results and Discussion
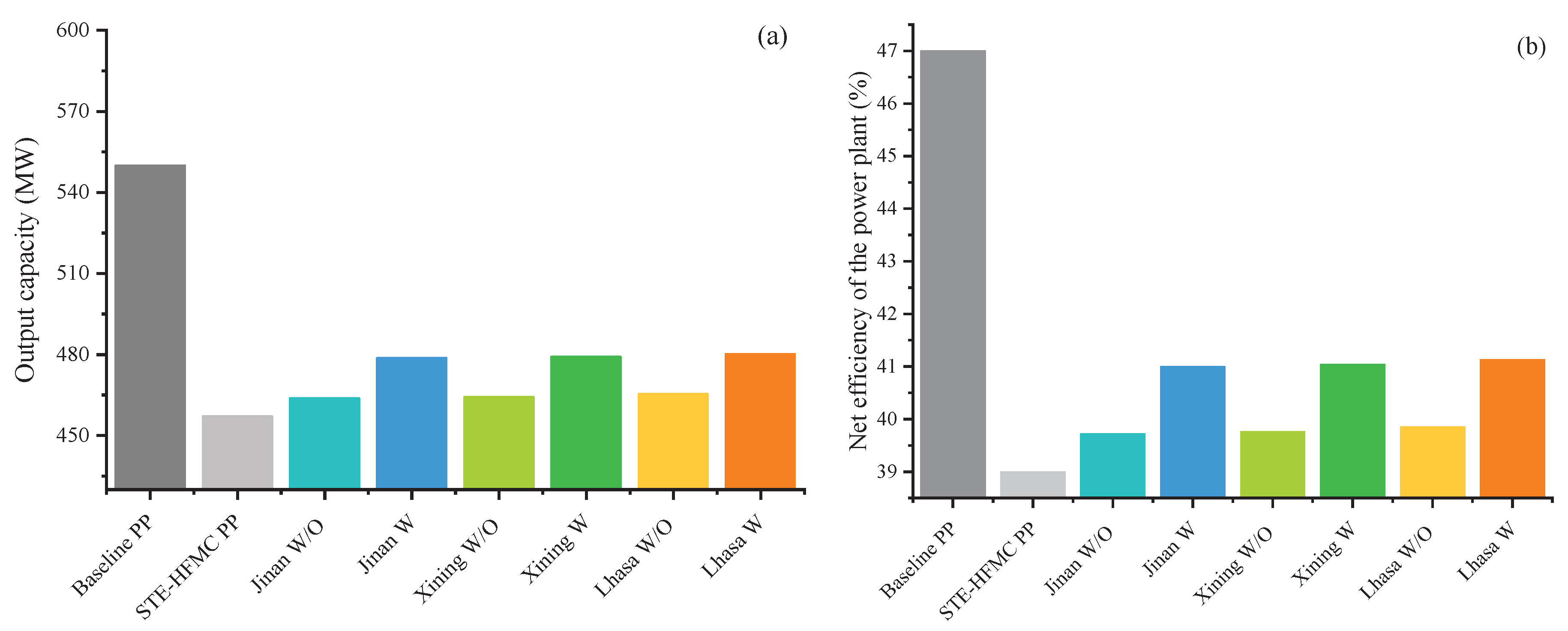
4.1. Technical Feasibility Evaluatio
4.2. Economic Performance Evaluation
5. Sensitivity Analysis
5.1. Sensitivity Study on Membrane Prices
5.2. Sensitivity Study on Solar Collector Prices
5.3. Sensitivity Study on PCM Prices
6. Conclusions
Author Contributions
Funding
Data Availability Statement
Conflicts of Interest
References
- Available online: https://www.ipcc.ch/sr15/. (accessed on 13 October 2023).
- Available online: https://net0.com/blog/net-zero-countries. (accessed on 8 March 2024).
- Available online: https://www.irena.org/publications/2022/Jul/Chinas-Route-to-Carbon-Neutrality. (accessed on 26 October 2023).
- Ghoniem, AF. Needs, resources and climate change: Clean and efficient conversion technologies. Prog. Energy. Combust. 2011, 37, 15–51. [Google Scholar] [CrossRef]
- Goto, K.; Yogo, K.; Higashii, T. A review of efficiency penalty in a coal-fired power plant with post-combustion CO2 capture. Appl. Energ. 2013, 111, 710–720. [Google Scholar] [CrossRef]
- Zahedi, R.; Ayazi, M.; Aslani, A. Comparison of amine adsorbents and strong hydroxides soluble for direct air CO2 capture by life cycle assessment method. Environ. Technol. Inno. 2022, 28, 102854. [Google Scholar] [CrossRef]
- Li, X.L.; Zhou, X.B.; Wei, J.W.; Fan, Y.M.; Liao, L.; Wang, H.Q. Reducing the energy penalty and corrosion of carbon dioxide capture using a novel nonaqueous monoethanolamine-based biphasic solvent. Sep. Purif. Technol. 2021, 265, 118481. [Google Scholar] [CrossRef]
- Aghel, B.; Janati, S.; Wongwises, S.; Shadloo, MS. Review on CO2 capture by blended amine solutions. Int. J. Greenh. Gas. Con. 2022, 119, 103715. [Google Scholar] [CrossRef]
- Bravo, J.; Drapanauskaite, D.; Sarunac, N.; Romero, C.; Jesikiewicz, T.; Baltrusaitis, J. Optimization of energy requirements for CO2 post-combustion capture process through advanced thermal integration. Fuel 2021, 283, 118940. [Google Scholar] [CrossRef]
- Lv, Y.X.; Yu, X.H.; Tu, S.T.; Yan, J.Y.; Dahlquist, E. Experimental studies on simultaneous removal of CO2 and SO2 in a polypropylene hollow fiber membrane contactor. Appl. Energ. 2012, 97, 283–288. [Google Scholar] [CrossRef]
- Belaissaoui, B.; Favre, E. Novel dense skin hollow fiber membrane contactor based process for CO2 removal from raw biogas using water as absorbent. Sep. Purif. Technol. 2018, 193, 112–126. [Google Scholar] [CrossRef]
- Nguyen, K.; Iliuta, I.; Bougie, F. Techno-economic assessment of enzymatic CO2 capture in hollow fiber membrane contactors with immobilized carbonic anhydrase. Sep. Purif. Technol. 2023, 307, 122702. [Google Scholar] [CrossRef]
- Jang, M.G.; Yun, S.; Kim, J.K. Process design and economic analysis of membrane-integrated absorption processes for CO2 capture. J. Clean. Prod. 2022, 368, 133180. [Google Scholar] [CrossRef]
- Scholes, C.A. Membrane contactors modelled for process intensification post combustion solvent regeneration. Int. J. Greenh. Gas. Con. 2019, 87, 203–210. [Google Scholar] [CrossRef]
- Kumar, A.; Tiwari, A.K. Solar-assisted post-combustion carbon-capturing system retrofitted with coal-fired power plant towards net-zero future: A review. J. CO2 Util. 2022, 65, 102241. [Google Scholar] [CrossRef]
- Alzhrani, A.; Romero, C.E.; Baltrusaitis, J. Sustainability Assessment of a Solar Energy-Assisted Flue Gas Amine-Based CO2 Capture Process Using Fully Dynamic Process Models. ACS Sustainable Chem. Eng. 2023, 11, 11385–11398. [Google Scholar] [CrossRef]
- Quang, D.V.; Milani, D.; Zahra, M.A. A review of potential routes to zero and negative emission technologies via the integration of renewable energies with CO2 capture processes. Int. J. Greenh. Gas. Con. 2023, 124, 103862. [Google Scholar] [CrossRef]
- Mokhtar, M.; Ali, M.T.; Khalilpour, R.; Abbas, A.; Shah, N.; Hajaj, A.A.; Armstrong, P.; Chiesa, M.; Sgouridis, S. Solar-assisted Post-combustion Carbon Capture feasibility study. Appl. Energ. 2012, 92, 668–676. [Google Scholar] [CrossRef]
- Liu, L.X.; Zhao, J.; Deng, S.; An, Q.S. A technical and economic study on solar-assisted ammonia-based post-combustion CO2 capture of power plant. Appl. Therm. Eng. 2016, 102, 412–422. [Google Scholar] [CrossRef]
- Khalilpour, R.; Milani, D.; Qadir, A.; Chiesa, M.; Abbas, A. A novel process for direct solvent regeneration via solar thermal energy for carbon capture. Renew. Energ. 2017, 104, 60–75. [Google Scholar] [CrossRef]
- Kev, K.; Modi, N.; Milani, D.; Luu, M.T.; Nelson, S.; Manaf, N.A.; Wang, X.L.; Negnevitsky, M.; Abbas, A. A comparative life cycle impact assessment for solar heat integration in post-combustion carbon capture. Energ. Convers. Manage. 2023, 297, 117745. [Google Scholar] [CrossRef]
- NETL, C. Performance Baseline for Fossil Energy Plants, Volume 1: Bituminous Coal and Natural Gas to Electricity, Revision 2. 2010, DOE/NETL-2010/1397.
- Vinjarapu, S.H.B.; Regueira, T.; Neerup, R.; Solms, N.V.; Fosbøl, P.L. Heat of absorption of CO2 in 30 wt% MEA with monoethyleneglycol and urea as vapour reduction additives. Energy 2024, 294, 130609. [Google Scholar] [CrossRef]
- Kim, K.; Lee, H.; Park, H.S.; Song, H.; Kim, S. Surface modification of polypropylene hollow fiber membranes using fluorosilane for CO2 absorption in a gas-liquid membrane contactor. Heliyon. 2023, 9, e19829. [Google Scholar] [CrossRef]
- Wang, Z.; Fang, M.X.; Ma, Q.H.; Zhao, Z.; Wang, T.; Luo, Z.Y. Membrane Stripping Technology for CO2 Desorption from CO2-rich Absorbents with Low Energy Consumption. Energy Procedia. 2014, 63, 765–772. [Google Scholar] [CrossRef]
- Yan, Q.; Yang, Y.; Nishimura, A.; Kouzani, A.; Hu, E. Multi-point and multi-level solar integration into a conventional coal-fired power plant. Energy Fuels. 2010, 24, 3733–3738. [Google Scholar] [CrossRef]
- Mokhta, M.; Ali, M.T.; Khalilpour, R.; Abbas, A.; Shah, N.; Hajaj, A.A.; Armstrong, P.; Chiesa, M.; Sgouridis, S. Solar-assisted post-combustion carbon capture feasibility study. Appl. Energ. 2012, 92, 668–676. [Google Scholar] [CrossRef]
- Sweet, M.L.; McLeskeyJr, J.T. Numerical simulation of underground Seasonal Solar Thermal Energy Storage (SSTES) for a single-family dwelling using TRNSYS. Sol. Energy 2012, 86, 289–300. [Google Scholar] [CrossRef]
- Chen, J.F.; Dai, Y.J.; Wang, R.Z. Experimental and analytical study on an air-cooled single effect LiBr-H2O absorption chiller driven by evacuated glass tube solar collector for cooling application in residential buildings. Sol. Energy 2017, 151, 110–118. [Google Scholar] [CrossRef]
- Zhao, R.K.; Liu, L.C.; Zhao, L.; Deng, S.; Li, S, J.; Zhang, Y.; Li, H.L. Techno-economic analysis of carbon capture from a coal-fired power plant integrating solar-assisted pressure-temperature swing adsorption (PTSA). J. Clean. Prod. 2019, 214, 440–451. [Google Scholar] [CrossRef]
- Rubin, E.S.; Short, C.; Booras, G.; Davsion, J.; Ekstrom, C.; Matuszewski, M.; McCoy, S. A proposed methodology for CO2 capture and storage cost estimates. Int. J. Greenh. Gas. Con. 2013, 17, 488–503. [Google Scholar] [CrossRef]
- Theis, J. Quality guidelines for energy systems studies: cost estimation methodology for NETL assessments of power plant performance. National Energy Technology Laboratory (NETL). 2021.
- Li, K.; Leigh, W.; Feron, P.; Yu, H.; Tade, M. Systematic study of aqueous monoethanolamine (MEA)-based CO2 capture process: Techno-economic assessment of the MEA process and its improvements. Appl. Energ. 2016, 165, 648–659. [Google Scholar] [CrossRef]
- Meteotest, J.R.; Kunz, S. MeteonormData (Worldwide). Available online: https://meteonorm.com/en/ (accessed on 11 December 2023).













| Technical parameters | Value | References |
|---|---|---|
| Baseline power plant without CCS | ||
| Auxiliary load (MWe) | 30 | [22] |
| Net output power (MWe) | 550 | [22] |
| Coal consumption (kg/h) | 185759 | [22] |
| CO2 emission (t/h) | 441 | [22] |
| CO2 concentration of flue gas (% mol) | 13.53 | [22] |
| STE-HFMC power plant | ||
| Number of HFMC | 200 | [12] |
| HFMC diameter (m) | 2.8 | [12] |
| HFMC effective height (m) | 4.0 | [12] |
| HFMC total height (m) | 4.2 | [12] |
| Chemical absorbent | MEA | |
| Absorbent mass fraction (wt. %) | 20 | |
| Regeneration energy consumption (MJth/kg CO2) | 1.25 | [25] |
| CO2 capture rate (%) | 90 | |
| Purity of desorbed CO2 (%) | 98 | |
| Absorption temperature (K) | 300 | |
| Regeneration temperature (K) | 353 | |
| Blower and pump power (MWe) | 5 | [12] |
| Vacuum pump power (MWe) | 26 | [12] |
| Compression power (MWe) | 38 | [12] |
| Capacity reduction due to steam extraction (MWe) | 24 | |
| Power output after CO2 capture (MWe) | 457 |
| Economic parameters | Value | References |
| Service lifespan of the project (years) | 30 | |
| Discount rate (%) | 7 | [30] |
| Power plant total equipment cost (M$) | 444.7 | [22] |
| Membrane contactor cost (M$) | 76.2 | [12] |
| Heat Exchanger (M$) | 8.3 | [12] |
| Pumps, blowers, coolers (M$) | 10.7 | [12] |
| Compression unit (M$) | 50.1 | [12] |
| Fuel cost (M$/year) | 58.2 | [22] |
| MEA replenishment (kg/t CO2) | 1.5 | [5] |
| Vacuum tube collector price (USD/m2) | 130 | [19] |
| Energy storage material density (kJ/kg) | 339.8 | [19] |
| Energy storage material price ($/kg) | 3.5 | [19] |
| Capital cost items | Quantification |
|---|---|
| Process equipment cost | 444.7M$ for power plant without CCS [22] 145.3 M$ for HFMC capture unit [12] |
| Supporting facilities cost | 10% of process equipment cost |
| Direct and indirect labor cost | 50% of process equipment cost |
| Bare Erected Cost (BEC) | Sum of the above items |
| Engineering services cost | 18% of BEC |
| Process contingencies | 5% of BEC for power plant without CCS 40% of BEC for HFMC capture unit |
| Project contingencies | 15% of all above |
| Total Plant Cost (TPC) | BEC + Engineering services + Contingencies |
| Owner’s costs | 15% of TPC [33] |
| Total Overnight cost (TOC) | TPC + Owner’s costs |
| Total Capital Requirement | 1.289TOC |
Disclaimer/Publisher’s Note: The statements, opinions and data contained in all publications are solely those of the individual author(s) and contributor(s) and not of MDPI and/or the editor(s). MDPI and/or the editor(s) disclaim responsibility for any injury to people or property resulting from any ideas, methods, instructions or products referred to in the content. |
© 2024 by the authors. Licensee MDPI, Basel, Switzerland. This article is an open access article distributed under the terms and conditions of the Creative Commons Attribution (CC BY) license (http://creativecommons.org/licenses/by/4.0/).